|
|
|
|
|
TÍTULO: Ley 2/2012, de 29 de junio, de Presupuestos Generales del Estado para el año 2012. |
|
|
REGISTRO NORM@DOC: |
30901 |
|
BOMEH: |
28/2012 |
|
PUBLICADO EN: |
BOE n.os 156 de 30 de junio, 160 de 5 de julio, 183 de 1 de agosto y 228 de 21 de septiembre de 2012 |
|
Disponible en: |
ESTRUCTURA DEL MINISTERIO DE HACIENDA (disp. final quinta.trece, quince y diecisiete) FINANCIACIÓN DE LAS CC.AA. Y EE.LL. (EE.LL.- Título VII, Cap. I; CC.AA. Título VII, Cap. II) LEGISLACIÓN PRESUPUESTARIA Y CONTABILIDAD PÚBLICA LEYES TRIBUTARIAS-Normas generales y procedimiento (art. 21 y disposición adicional 13.ª); Impuesto sobre la Renta de las Personas Físicas (arts. 60 y 61, disposición adicional 14.ª y disposiciones transitorias 4.ª y 5.ª); Impuesto sobre Sociedades (arts. 62, 63 y 64 y disposición final 29.ª); Impuesto sobre la Renta de No Residentes (arts. 65 y 66); Impuesto sobre Transmisiones Patrimoniales y Actos Jurídicos Documentados (art. 70); Impuesto sobre el Valor Añadido (arts. 67, 68 y 69); Impuestos Especiales (arts. 71, 72 y disposición final 20.ª); Impuesto sobre las Ventas Minoristas de Determinados Hidrocarburos (disposición derogatoria 3.ª); Actividades de mecenazgo (disposiciones adicionales 5.ª a la 69.ª, 76.ª, 77.ª y 78.ª); Haciendas autonómicas (arts. 114 al 119, disposición adicional 36.ª y disposiciones finales 12.ª y 26.ª); Haciendas locales (arts. 82 al 113, disposiciones adicionales 47.ª a la 49.ª y disposiciones finales 6.ª, 7.ª, 10.ª, 18.ª y 25.ª); Tasas estatales (arts. 73 al 81, disposición adicional 20.ª, 37.ª y 81.ª y disposiciones finales 21.ª y 24.ª) RETRIBUCIONES DEL PERSONAL DE LA ADMINISTRACIÓN GENERAL DEL ESTADO (disp. final tercera) |
|
VIGENCIA: |
En vigor a partir de 1 de julio de 2012 |
|
DEPARTAMENTO EMISOR: |
Jefatura del Estado |
|
ANÁLISIS JURÍDICO: |
Referencias posteriores SE DEROGA la disposición adicional 71 y SE MODIFICA la adicional 70, por Ley 6/2018, de 3 de julio SE DECLARA: en el recurso 1815/2013, la inadmisión en lo que respecta a la disposición adicional cuadragésima y la desestimación en todo lo demás, por Sentencia 43/2017, de 27 de abril en el Recurso 1743/2013, la desestimación en relación con las disposiciones adicionales 40, 71 y final 8, por Sentencia 99/2016, de 25 de mayo SE MODIFICA: la disposición adicional 70, por Ley 48/2015, de 29 de octubre La disposición 57.2 por ley 36/2014, de 26 de diciembre La Disposición adicional 36 por Real Decreto-ley 12/2014, de 12 de septiembre la disposición adicional 58 de la Ley 2/2012, de 29 de junio, por Ley 13/2014, de 14 de julio la disposición adicional 36, por Real Decreto-ley 14/2013, de 29 de noviembre. SE DICTA DE CONFORMIDAD con el art. 23, aprobando la oferta de empleo público: REAL DECRETO 1694/2012, de 21 de diciembre. SE DEROGA las disposiciones adicionales 72 y 81 y transitoria 8 , por LEY 17/2012, de 27 de diciembre. SE MODIFICA Art. 52.1, 2 y 4 y SE AÑADE el art. 51.bis, por LEY 9/2012, de 14 de noviembre. CORRECCIÓN de errores en BOE núm. 228 de 21 de septiembre de 2012. CORRECCIÓN de errores en BOE núm. 183 de 1 de agosto de 2012. SE MODIFICA: Los arts. 52 y 52.bis, por REAL DECRETO-LEY 21/2012, de 13 de julio. Los arts. 17.6, 18 y los anexos IV y V, por REAL DECRETO-LEY 20/2012, de 13 de julio. CORRECCIÓN de errores en BOE núm. 160, de 5 de julio de 2012 Referencias anteriores DEROGA: Disposición adicional 5 y MODIFICA las disposiciones adicionales 13 y 14 del REAL DECRETO-LEY 20/2011, de 30 de diciembre. Art. 9 de la LEY 24/2001, de 27 de diciembre. Art. 62 de la LEY 55/1999, de 29 de diciembre. DEJA SIN EFECTO lo establecido en el art. 2.ter.4 de la LEY ORGÁNICA 4/2000, de 11 de enero. MODIFICA: Arts. 157, 159.3.b) y 197.1.e) de la LEY de Puertos del Estado y de la Marina Mercante, texto refundido aprobado por REAL DECRETO LEGISLATIVO 2/2011, de 5 de septiembre. Arts. 5, 20, 22, 38, 53, 54, 65 y AÑADE los arts. 3.bis, 22.bis, 22.ter y una disposición transitoria a la LEY 29/2011, de 22 de septiembre. Art. 15 del REAL DECRETO-LEY 8/2011, de 1 de julio. Art. 44.4 de la LEY de Auditoría de Cuentas, texto refundido aprobado por REAL DECRETO LEGISLATIVO 1/2011, de 1 de julio. Disposiciones adicionales 3, 6, disposición transitoria 1, lo indicado y AÑADE la disposición adicional 7 a la LEY 13/2011, de 27 de mayo. Art. 102 de la LEY 2/2011, de 4 de marzo. Art. 15 del REAL DECRETO-LEY 13/2010, de 3 de diciembre. Art. único.1 del REAL DECRETO-LEY 9/2010, de 28 de mayo. Arts. 16, 19.4, 40, 44, 52 y AÑADE la disposición transitoria 7 a la LEY 22/2009, de 18 de diciembre. Art. 6 del REAL DECRETO-LEY 13/2009, de 26 de octubre. Disposición final 2 de la LEY 9/2009, de 6 de octubre. Art. 36 y la disposición adicional 6 de la LEY 55/2007, de 28 de diciembre. Disposición final 1.1 y SUSPENDE durante el año 2012 la aplicación de lo establecido en los arts. 7.2, 8.2.a), 10, lo indicado del art. 32.3 y la disposición transitoria 1 de la LEY 39/2006, de 14 de diciembre. Disposición adicional 4.4 de la LEY 26/2006, de 17 de julio. Art. 14.1.h) y AÑADE la disposición adicional 3 a la LEY del Impuesto sobre la Renta de no Residentes, texto refundido aprobado por REAL DECRETO LEGISLATIVO 5/2004, de 5 de marzo. Arts. 112.1, 136.1, 113.1, 115 y SUSTITUYE lo indicado de los arts. 116, 117, 137.1, 138 y 139 de la LEY Reguladora de las Haciendas Locales, texto refundido aprobado por REAL DECRETO LEGISLATIVO 2/2004, de 5 de marzo. Arts. 48, 112, 116.4, 124.1, 137 y las disposiciones adicionales 10 y 15 de la LEY 33/2003, de 3 de noviembre. Arts. 72, 75, 76, 78, 80, 83, 85, 87 y 89 de la LEY 21/2003, de 7 de julio. Art. 3.2.d) de la LEY 16/2003, de 28 de mayo. Art. 3.2 de la LEY sobre Seguridad Social de las Fuerzas Armadas, texto refundido aprobado por REAL DECRETO LEGISLATIVO 1/2000, de 9 de junio. Disposición adicional 6.1 de la LEY 42/1999, de 25 de noviembre. Art. 50.2 y 3 de la LEY 19/1994, de 6 de julio. Art. 73.2 de la LEY General de la Seguridad Social, texto refundido aprobado por REAL DECRETO LEGISLATIVO 1/1994, de 20 de junio. Art. 43 de la LEY del Impuesto sobre Transmisiones Patrimoniales y Actos Jurídicos Documentados, texto refundido aprobado por REAL DECRETO LEGISLATIVO 1/1993, de 24 de septiembre. Arts. 7, 8, 50, 52.bis y AÑADE el art. 50.ter a la LEY 38/1992, de 28 de diciembre. Arts. 13.1.g), 70.1.5.a) y 84.1.4 de la LEY 37/1992, de 28 de diciembre. Arts. 2, 3 y lo indicado de la LEY 19/1976, de 29 de mayo. Art. 9 del DECRETO 2864/1974, de 30 de agosto. MODIFICA determinados preceptos de la LEY 47/2003, de 26 de noviembre. AÑADE: Disposición adicional 35 a la LEY 35/2006, de 28 de noviembre. Disposición adicional 14 a la LEY del Impuesto sobre Sociedades, texto refundido aprobado por REAL DECRETO LEGISLATIVO 4/2004, de 5 de marzo. Disposición adicional 13 a la LEY de Clases Pasivas del Estado, texto refundido aprobado por REAL DECRETO LEGISLATIVO 670/1987, de 30 de abril. SUSPENDE la aplicación de lo establecido en la disposición adicional 30 de la LEY 27/2011, de 1 de agosto. PRORROGA: La aplicación de lo establecido en el art. 6 del REAL DECRETO-LEY 10/2011, de 26 de agosto. La aplicación de lo establecido en el art. 2 del REAL DECRETO-LEY 1/2011, de 11 de febrero. La aplicación de lo establecido en el art. 14.2 del REAL DECRETO-LEY 8/2010, de 20 de mayo. Lo indicado de la disposición final 3 de la LEY 39/1992, de 29 de diciembre. |
|
MATERIAS: |
Avales Beneficios fiscales Clases Pasivas Comunidades Autónomas Financiación autonómica y local Haciendas locales Impuesto sobre el Valor Añadido Impuesto sobre la Renta de las Personas Físicas Impuesto sobre la Renta de No Residentes Impuesto sobre Sociedades Impuesto sobre Transmisiones Patrimoniales y Actos Jurídicos Documentados Impuestos Especiales Ley General Presupuestaria Mecenazgo Pensiones Personal al servicio del Sector Público Presupuestos Generales del Estado Retribuciones Seguridad Social Sistema financiero Tributos |
ÍNDICE SISTEMÁTICO
De la aprobación de los Presupuestos y de sus modificaciones
Créditos iniciales y financiación de los mismos
Artículo 1. Ámbito de los Presupuestos Generales del Estado.
Artículo 3. De los beneficios fiscales.
Artículo 4. De la financiación de los créditos aprobados en el artículo 2 de la presente Ley.
Artículo 5. De la cuenta de operaciones comerciales.
Artículo 7. Presupuesto del Banco de España.
Normas de modificación y ejecución de créditos presupuestarios
Artículo 9. Principios generales.
Artículo 10. Créditos vinculantes.
Artículo 11. Competencias específicas en materia de modificaciones presupuestarias.
Artículo 12. De las limitaciones presupuestarias.
Artículo 13. De las ampliaciones e incorporaciones de crédito.
Artículo 14. Imputaciones de crédito.
Artículo 15. De la Seguridad Social.
Artículo 16. Información a las Cortes Generales en materia de inversión y gasto público.
De la gestión de los presupuestos docentes
De la gestión presupuestaria de la Sanidad y de los Servicios Sociales
Otras normas de gestión presupuestaria
Artículo 21. Agencia Estatal de Administración Tributaria.
De los gastos del personal al servicio del sector público
Artículo 27. Personal laboral del sector público estatal.
Artículo 28. Retribuciones del personal de las Fuerzas Armadas.
Artículo 29. Retribuciones del personal del Cuerpo de la Guardia Civil.
Artículo 30. Retribuciones del personal del Cuerpo Nacional de Policía.
Otras disposiciones en materia de régimen del personal activo
Artículo 33. Prohibición de ingresos atípicos.
Artículo 34. Recompensas, cruces, medallas y pensiones de mutilación.
Artículo 35. Otras normas comunes.
Artículo 37. Contratación de personal laboral con cargo a los créditos de inversiones.
Artículo 39. Determinación inicial de las pensiones del Régimen de Clases Pasivas del Estado.
Artículo 40. Determinación inicial de las pensiones especiales de guerra.
Limitaciones en el señalamiento inicial de las pensiones públicas
Artículo 41. Limitación del señalamiento inicial de las pensiones públicas.
Revalorización y modificación de los valores de las pensiones públicas
Artículo 42. Revalorización y modificación de los valores de las pensiones públicas.
Artículo 43. Pensiones no revalorizables.
Artículo 44. Limitación del importe de la revalorización de las pensiones públicas.
Artículo 45. Reconocimiento de complementos para mínimos en las pensiones de Clases Pasivas.
Otras disposiciones en materia de pensiones públicas
Artículo 48. Pensiones del extinguido Seguro Obligatorio de Vejez e Invalidez.
De las operaciones financieras
Artículo 50. Operaciones de crédito autorizadas a Organismos Públicos.
Avales Públicos y Otras Garantías
Artículo 52. Importe de los Avales del Estado.
Artículo 54. Avales de las entidades públicas empresariales y sociedades mercantiles estatales.
Relaciones del Estado con el Instituto de Crédito Oficial
Artículo 55. Fondo para la Promoción del Desarrollo (FONPRODE).
Artículo 56. Fondo de Cooperación para Agua y Saneamiento.
Artículo 57. Fondo para la Internacionalización de la Empresa (FIEM).
Artículo 58. Reembolsos del Estado al Instituto de Crédito Oficial.
Artículo 59. Adquisición de acciones y participaciones de Organismos Financieros Multilaterales.
Impuesto sobre la Renta de las Personas Físicas
Artículo 60. Coeficientes de actualización del valor de adquisición.
Artículo 62. Coeficientes de corrección monetaria.
Artículo 63. Pago fraccionado del Impuesto sobre Sociedades.
Artículo 64. Porcentajes de retención o ingreso a cuenta en los ejercicios 2012 y 2013.
Impuesto sobre la Renta de no Residentes
Artículo 66. Tipo de gravamen en los ejercicios 2012 y 2013.
Impuesto sobre el Valor Añadido
Artículo 67. Adquisiciones intracomunitarias de gas, electricidad, calor y frío.
Artículo 68. Servicios de restauración y catering.
Impuesto sobre Transmisiones Patrimoniales y Actos Jurídicos Documentados
Artículo 70. Escala por transmisiones y rehabilitaciones de grandezas y títulos nobiliarios.
Artículo 71. Modificación de las definiciones de gasolina sin plomo.
Artículo 72. Adaptación a la normativa comunitaria.
Artículo 74. Tasas en materia de telecomunicaciones.
Artículo 76. Tasa aproximación.
Artículo 77. Cuantías básicas de las tasas aplicables al sistema portuario de interés general.
Artículo 80. Actualización de los precios básicos del canon de control de vertidos.
Revisión cuatrienal del ámbito subjetivo de aplicación de los modelos de financiación
Liquidación definitiva de la participación en tributos del Estado correspondiente al año 2010
Artículo 85. Régimen jurídico y saldos deudores.
Cesión a favor de los municipios de la recaudación de impuestos estatales en el año 2012
Participación de los municipios en los tributos del Estado
Participación de los municipios en el Fondo Complementario de Financiación
Artículo 90. Determinación de las entregas a cuenta.
Artículo 91. Liquidación definitiva.
Participación del resto de municipios
Artículo 92. Participación de los municipios en los tributos del Estado para el ejercicio 2012.
Artículo 93. Entregas a cuenta.
Participación en el Fondo Complementario de Financiación
Artículo 98. Determinación de las entregas a cuenta.
Artículo 99. Liquidación definitiva.
Participación en el fondo de aportación a la asistencia sanitaria
Artículo 100. Determinación de las entregas a cuenta.
Artículo 101. Liquidación definitiva.
Artículo 104. Participación de las Ciudades de Ceuta y de Melilla en los tributos del Estado.
Compensaciones, subvenciones y ayudas
Artículo 105. Subvenciones a las Entidades locales por servicios de transporte colectivo urbano.
Artículo 107. Otras compensaciones y subvenciones a las Entidades locales.
Normas instrumentales en relación con las disposiciones incluidas en este capítulo
Artículo 110. Información a suministrar por las Corporaciones locales.
Artículo 112. Financiación de instituciones del municipio de Barcelona.
Artículo 114. Entregas a cuenta del Fondo de Suficiencia Global.
Artículo 117. Pago de las entregas a cuenta de los recursos del sistema de financiación.
Artículo 118. Cancelación del anticipo de tesorería concedido a la Comunidad Autónoma de Andalucía.
Artículo 119. Fondos de Compensación Interterritorial.
Primera. Prestaciones familiares de la Seguridad Social.
Tercera. Ayudas sociales a los afectados por el Virus de Inmunodeficiencia Humana (V.I.H.).
Sexta. Reducción de cuotas para el mantenimiento del empleo.
Novena. Afectación de ingresos al Fondo de Cohesión Sanitaria.
Décima tercera. Interés legal del dinero.
Décima cuarta. Determinación del indicador público de renta de efectos múltiples (IPREM) para 2012.
Décima quinta. Seguro de Crédito a la Exportación.
Décima sexta. Ayudas reembolsables.
Décima séptima. Creación de Agencias Estatales.
Vigésima segunda. Militares de Tropa y Marinería.
Vigésima tercera. Contratación de personal de las sociedades mercantiles públicas en 2012.
Vigésima cuarta. Otros gastos de personal en la Administración del Estado 2012.
Vigésima séptima. Ayudas financiación Fondo para el Patrimonio Natural y la Biodiversidad.
Vigésima novena. Garantías en efectivo y en valores constituidas en la Caja General de Depósitos.
Trigésima segunda. Apoyo financiero a empresas de base tecnológica.
Trigésima tercera. Apoyo financiero a jóvenes emprendedores y a las pequeñas y medianas empresas.
Trigésima quinta. Apoyo financiero a las actuaciones en Parques Científicos y Tecnológicos.
Trigésima octava. Extracoste de generación de energía eléctrica insular y extrapeninsular.
Cuadragésima segunda. Garantía del Estado para obras de interés cultural.
Cuadragésima tercera. Financiación de la formación profesional para el empleo.
Cuadragésima cuarta. Suspensión normativa.
Cuadragésima sexta. Actuaciones en relación con el presupuesto prorrogado.
Quincuagésima. Actividades prioritarias de mecenazgo.
Quincuagésima tercera. Beneficios fiscales aplicables al Programa «El Árbol es Vida».
Sexagésima. Beneficios fiscales aplicables a la celebración de «Barcelona World Jumping Challenge».
Sexagésima novena. Beneficios fiscales aplicables a la celebración del «Año de la Neurociencia».
Septuagésima primera. Jornada general del trabajo en el Sector Público.
Septuagésima tercera. Asignación de cantidades a fines sociales.
Septuagésima cuarta. Financiación a la Iglesia Católica.
Septuagésima novena. Creación de la Agencia Estatal de Investigación.
Primera. Indemnización por residencia del personal al servicio del sector público estatal.
Segunda. Complementos personales y transitorios.
Cuarta. Compensación fiscal por deducción en adquisición de vivienda habitual en 2011.
Séptima. Vigencia de disposiciones reglamentarias.
Octava. Normas transitorias en materia de bonificaciones al transporte marítimo y aéreo.
Tercera. Derogación del artículo 9 de la Ley 24/2001, de 27 de diciembre.
Quinta. Modificación de la Ley 47/2003, de 26 de noviembre, General Presupuestaria.
Novena. Modificación de la Ley 55/2007, de 28 de diciembre, del Cine.
Décima sexta. Modificación de la Ley 13/2011, de 27 de mayo, de regulación del juego.
Vigésima. Modificación de la Ley 38/1992, de 28 de diciembre, de Impuestos Especiales.
Vigésima primera. Modificación de la Ley 21/2003, de 7 de julio, de Seguridad Aérea.
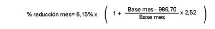
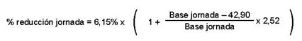
Vigésima cuarta. Cuota íntegra de la tasa del buque (T-1).
Trigésima primera. Modificación de la Ley 2/2011, de 4 de marzo, de Economía Sostenible.
Trigésima segunda. Entrada en vigor.
Trigésima tercera. Desarrollo reglamentario.
Trigésima cuarta. Gestión de créditos presupuestarios en materia de Clases Pasivas.
Distribución de los créditos por programas
Primero. Aplicables a todas las Secciones y Programas.
Segundo. Aplicables a las Secciones y Programas que se indican.
Operaciones de crédito autorizadas a organismos públicos
Módulos económicos de distribución de fondos públicos para sostenimiento de centros concertados
Costes de personal de la Universidad Nacional de Educación a Distancia (UNED)
Remanentes de crédito incorporables en el ejercicio 2012
Bienes del patrimonio histórico español
Entidad Públicas Empresariales y otros organismos públicos
Entidades públicas empresariales y sociedades mercantiles estatales
Entidades del sector público administrativo
Fondos sin personalidad jurídica
TEXTO ACTUALIZADO
I
Los Presupuestos Generales del Estado fundamentan su marco normativo básico en nuestra Carta Magna, la Constitución Española de 27 de diciembre de 1978, así como en la Ley General Presupuestaria y en la Ley General de Estabilidad Presupuestaria.
El Tribunal Constitucional ha ido precisando el contenido posible de la ley anual de Presupuestos Generales del Estado y ha venido a manifestar que existe un contenido necesario, que está constituido por la determinación de la previsión de ingresos y la autorización de gastos que pueden realizar el Estado y los Entes a él vinculados o de él dependientes en el ejercicio de que se trate. Junto a este contenido necesario, cabe la posibilidad de que se añada un contenido eventual, aunque estrictamente limitado a las materias o cuestiones que guarden directa relación con las previsiones de ingresos, las habilitaciones de gasto o los criterios de política económica general, que sean complemento necesario para la más fácil interpretación y más eficaz ejecución de los Presupuestos Generales del Estado y de la política económica del Gobierno.
Por otra parte, el Tribunal Constitucional señala que el criterio de temporalidad no resulta determinante de la constitucionalidad o no de una norma desde la perspectiva de su inclusión en una Ley de Presupuestos. Por ello, si bien la Ley de Presupuestos puede calificarse como una norma esencialmente temporal, nada impide que accidentalmente puedan formar parte de la Ley preceptos de carácter plurianual o indefinido.
De otro lado, en materia tributaria, el apartado 7 del artículo 134 de la Constitución dispone que la Ley de Presupuestos no puede crear tributos aunque sí modificarlos cuando una Ley tributaria sustantiva así lo prevea.
Las materias que queden al margen de estas previsiones son materias ajenas a la Ley de Presupuestos Generales del Estado. De esta forma, el contenido de la Ley está constitucionalmente acotado –a diferencia de lo que sucede con las demás Leyes, cuyo contenido resulta, en principio, ilimitado– dentro del ámbito competencial del Estado y con las exclusiones propias de la materia reservada a Ley Orgánica.
Consecuentemente, la Ley de Presupuestos Generales del Estado para 2012 regula únicamente, junto a su contenido necesario aquellas disposiciones que respetan la doctrina del Tribunal Constitucional sobre el contenido eventual.
Estos Presupuestos Generales del Estado elaborados en el marco de la Ley 47/2003, de 26 de noviembre, General Presupuestaria, persisten en el objetivo de conseguir una mayor racionalización del proceso presupuestario a través de la confluencia de las mejoras introducidas a nivel de sistematización, en tanto que se procede a la ordenación económica y financiera del sector público estatal, a ordenar sus normas de contabilidad y control, a nivel de eficacia y eficiencia.
El Real Decreto 1329/2011, de 26 de septiembre, de disolución del Congreso de los Diputados y del Senado y de convocatoria de elecciones, publicado en el Boletín Oficial del Estado el 27 de septiembre, acordó la disolución de ambas Cámaras y la convocatoria de elecciones generales el 20 de noviembre de 2011; no siendo posible tramitar ni aprobar en los plazos ordinarios la Ley de Presupuestos Generales del Estado para el año 2012. Esta falta de aprobación hizo que se aplicase en toda su extensión el artículo 134.4 de la Constitución, que señala que «si la Ley de Presupuestos no se aprobara antes del primer día del ejercicio económico correspondiente, se considerarán automáticamente prorrogados los Presupuestos del ejercicio hasta la aprobación de los nuevos».
No obstante, fue precisa la aprobación del Real Decreto-ley 20/2011, de 30 de diciembre, de medidas urgentes en materia presupuestaria, tributaria y financiera para la corrección del déficit público. En efecto, la importante desviación del saldo presupuestario, estimada en el momento de la aprobación de tal Real Decreto-ley, para el conjunto de las Administraciones Públicas para el ejercicio 2011 respecto al objetivo de estabilidad comprometido, requería la adopción de una norma que, por otro lado, debía también incorporar previsiones de carácter presupuestario no susceptibles de ser simplemente prorrogadas.
Se iniciaba así un camino de consolidación fiscal que ha de concretarse de forma definitiva en la presente Ley de Presupuestos Generales del Estado para el año 2012, una vez que se han confirmado las previsiones de desviación del saldo presupuestario.
Los Presupuestos Generales del Estado para el año 2012 se caracterizan también por continuar el proceso de consolidación fiscal que garantice la sostenibilidad de las finanzas públicas a medio plazo.
Estos Presupuestos son los primeros que se hacen desde la reforma del artículo 135 de la Constitución Española, el 27 de septiembre de 2011. Este precepto consagra el principio de estabilidad presupuestaria para todas las Administraciones Públicas; estableciendo su apartado segundo que «el Estado y las Comunidades Autónomas no podrán incurrir en un déficit estructural que supere los márgenes establecidos, en su caso, por la Unión Europea para sus Estados miembros». La futura Ley Orgánica de Estabilidad Presupuestaria y Estabilidad Financiera, será la encargada de desarrollar este artículo 135 de la Constitución.
En consecuencia, y debido al mandato constitucional, es imprescindible reconducir los ingresos y los gastos hacia una senda equilibrada, de forma que las finanzas públicas supongan un apoyo para la recuperación de nuestro potencial de crecimiento.
En línea con lo anteriormente expuesto se ha fijado el objetivo de estabilidad presupuestaria para el año 2012, fijado por Acuerdo de Consejo de Ministros de 2 de marzo de 2012, se aprobó por el Pleno del Congreso el 13 de marzo y por el Pleno del Senado el 14 de marzo del presente año. Este acuerdo establece el objetivo de déficit para el conjunto de las Administraciones Públicas en el 5,8 por 100 del PIB, desglosándose del siguiente modo: el Estado tendrá un déficit del 4 por 100; las Comunidades Autónomas del 1,5 por 100; las Corporaciones Locales del 0,3 por 100 y la Seguridad Social estará en equilibrio.
La Comisión Europea ha reconocido el esfuerzo de consolidación fiscal y las reformas económicas que España está realizando, a la vez que comparte la imposibilidad de mantener en el 4,4 por 100 el objetivo de estabilidad para el conjunto de las Administraciones Públicas en 2012, un ejercicio que estará marcado por la desviación del objetivo de déficit del ejercicio anterior, así como por la contracción de la economía.
Por ello, recomienda un déficit público del 5,3 por 100 del PIB para dicho ejercicio. El Gobierno de España, dentro del máximo aprobado por el Parlamento y con el fin de reafirmar su compromiso con las instituciones europeas, ha hecho suya la recomendación de la Comisión Europea.
Para alcanzar este objetivo de déficit del 5,3 por 100 del PIB, es la Administración Central la que asume, como así se plasma en los Presupuestos Generales del Estado elaborados con un déficit del 3,5 por 100, este esfuerzo adicional en 2012. No se modifica, por tanto, el objetivo del resto de administraciones territoriales.
Igualmente se fija el límite de gasto no financiero del Estado en 118.565 millones de euros, lo que representa una disminución del 4,7 por ciento, encontrándose en consonancia con el gasto en términos de Contabilidad Nacional, que resulta del objetivo de déficit establecido para el Estado y de los ingresos no financieros. La previsión de ingresos no financieros del Estado para 2012 asciende a 119.233 millones de euros. Por su parte, los ajustes de Contabilidad Nacional ascienden a –6.360 millones de euros, lo que supone una menor capacidad de gasto en el presupuesto del Estado por ese importe. Finalmente como consecuencia de las obligaciones de 2.270 millones de euros de ejercicios anteriores, el límite de gasto homogéneo se fija en 116.295 millones de euros.
II
La parte esencial de la Ley de Presupuestos se recoge en el título I, «De la aprobación de los Presupuestos y de sus modificaciones», por cuanto que en su capítulo I, bajo la rúbrica «Créditos iniciales y financiación de los mismos» se aprueban la totalidad de los estados de ingresos y gastos del sector público estatal y se consigna el importe de los beneficios fiscales que afectan a los tributos del Estado.
En este capítulo I al definir el ámbito de los Presupuestos Generales del Estado se tiene en cuenta la clasificación que de los Organismos Públicos realiza la Ley 6/1997, de Organización y Funcionamiento de la Administración General del Estado, así como la Ley 47/2003, de 26 de noviembre, General Presupuestaria, clasificación que se hace presente en el resto de la Ley. Igualmente se tiene presente la Ley 28/2006, de 18 de julio, de Agencias Estatales para la mejora de los Servicios Públicos. La distribución de los fondos atiende, en cambio, a la finalidad perseguida con la realización del gasto, distribuyéndose por funciones.
El ámbito de los Presupuestos Generales del Estado se completa con el presupuesto de gastos de funcionamiento e inversiones del Banco de España, que, de acuerdo con su legislación específica (artículo 4.2 de la Ley 13/1994, de 1 de junio, de Autonomía del Banco de España), no se consolida con los restantes presupuestos del sector público estatal.
El capítulo II contiene las normas de modificación y ejecución de créditos presupuestarios, las limitaciones presupuestarias y los créditos vinculantes que han de operar durante el ejercicio 2012.
El capítulo III, de la Seguridad Social, regula la financiación de la asistencia sanitaria, a través del Presupuesto del Instituto Nacional de Gestión Sanitaria y de las aportaciones del Estado, al Instituto de Mayores y Servicios Sociales y al Instituto Social de la Marina, así como aquellas que se destinen a la Seguridad Social, para atender la financiación de los complementos para mínimos de pensiones. Finalmente se incorpora un capítulo IV relativo a la información que debe proporcionarse a las Cortes Generales en materia de inversión y gasto público.
III
El título II de la Ley de Presupuestos relativo a la «Gestión Presupuestaria» se estructura en tres capítulos.
El capítulo I regula la gestión de los Presupuestos docentes. En él se fija el módulo económico de distribución de fondos públicos para sostenimiento de Centros concertados y el importe de la autorización de los costes de personal de la Universidad Nacional de Educación a Distancia (UNED).
En el capítulo II relativo a la «Gestión presupuestaria de la Sanidad y de los Servicios Sociales», se recogen competencias específicas en materia de modificaciones presupuestarias en el ámbito del Instituto Nacional de Gestión Sanitaria y del Instituto de Mayores y Servicios Sociales.
El capítulo III recoge otras normas de gestión presupuestaria y en él se establece el porcentaje de participación de la Agencia Estatal de Administración Tributaria en la recaudación bruta obtenida por su actividad propia, fijándose dicho porcentaje para 2012 en un 5 por ciento.
IV
El título III de la Ley de Presupuestos Generales del Estado se rubrica como «De los gastos de personal», y se estructura en tres capítulos.
La repercusión que el mandato constitucional de estabilidad presupuestaria y la actual situación de nuestra economía tienen sobre el personal al servicio del sector público se refleja en el capítulo I, relativo a los «Gastos del personal al servicio del sector público», que tras definir lo que constituye «sector público» a estos efectos, establece, con carácter general, que no habrá incremento de las retribuciones de este personal en 2012 respecto a las retribuciones vigentes a 31 de diciembre de 2011. Tampoco podrán realizarse aportaciones a planes de empleo ni contratos de seguro colectivos que incluyan la cobertura de la contingencia de jubilación.
Asimismo se incluye en este capítulo la regulación de la Oferta de Empleo Público. La presente Ley de Presupuestos Generales del Estado, al igual que la anterior, mantiene su regulación en un único artículo, y establece que a lo largo de 2012 no se procederá en el sector público a la incorporación de nuevo personal. Se excepciona, aplicando una tasa de reposición del 10 por ciento a ciertos sectores y administraciones, y sin perjuicio de lo que en la propia ley se dispone en relación con el número máximo de plazas de militares profesionales de Tropa y Marinería.
Se mantienen las restricciones a la contratación de personal laboral temporal y al nombramiento de funcionarios interinos, atribuyendo a ésta un carácter rigurosamente excepcional y vinculándolo a necesidades urgentes e inaplazables.
En el capítulo II, bajo la rúbrica «De los regímenes retributivos», se establece que en el año 2012 las retribuciones de los Altos Cargos del Gobierno de la Nación y sus órganos consultivos no experimentarán incremento respecto de las vigentes a 31 de diciembre de 2011, afectando a las retribuciones de los altos cargos del Gobierno de la Nación y de la Administración General del Estado, las correspondientes a los altos cargos del Consejo de Estado, del Consejo Económico y Social, así como a los miembros del Tribunal de Cuentas, del Tribunal Constitucional y del Consejo General del Poder Judicial, y a los altos cargos de las Fuerzas Armadas, de la Policía y de la Guardia Civil, así como a determinados cargos del Poder Judicial y del Ministerio Fiscal. La necesidad de inclusión de estas previsiones en la Ley de Presupuestos Generales del Estado deriva de que la aprobación de los Presupuestos de estos órganos y, por ende, de las referidas retribuciones, ha de hacerse por las Cortes Generales. Los principios de unidad y universalidad del presupuesto exigen que esa aprobación se realice en un documento único, comprensivo de todos los gastos del Estado, como es la Ley de Presupuestos Generales del Estado.
Este capítulo se completa con las normas relativas a las retribuciones de los funcionarios del Estado, personal de las Fuerzas Armadas, Cuerpo de la Guardia Civil y Cuerpo Nacional de Policía, y del personal estatutario y del no estatutario de la Seguridad Social, así como las del personal laboral del sector público.
Junto a las normas reguladoras del personal al servicio de la Administración de Justicia, mención específica merecen las relativas a la regulación de las retribuciones de los miembros de la Carrera Judicial y Fiscal de conformidad con lo dispuesto en la Ley 15/2003, de 26 de mayo.
El capítulo III de este título, contiene una norma de cierre, aplicable al personal cuyo sistema retributivo no tenga adecuado encaje en las normas contenidas en el Capítulo II. Junto a ella, recoge, como en Leyes de Presupuestos anteriores, otras disposiciones comunes en materia de régimen de personal activo, así como las relativas a la prohibición de ingresos atípicos y a la congelación de las cuantías a percibir por los conceptos de recompensas, cruces, medallas y pensiones de mutilación.
V
El título IV de la Ley de Presupuestos Generales del Estado, bajo la rúbrica «De las pensiones públicas», se divide en cinco capítulos. El capítulo I está dedicado a regular la determinación inicial de las pensiones del Régimen de Clases Pasivas del Estado y especiales de guerra.
El capítulo II contiene las limitaciones del señalamiento inicial de las pensiones públicas, instrumentando un sistema de limitación máxima.
El capítulo III regula la «Revalorización y modificación de los valores de las pensiones públicas», estableciendo que las pensiones contributivas abonadas por el sistema de la Seguridad Social, así como las de Clases Pasivas mantendrán en 2012 el incremento del 1 por ciento, establecido en el artículo 5 del Real Decreto-Ley 20/2011, de 30 de diciembre. Asimismo se determinan las pensiones que no serán revalorizadas y la limitación del importe de la revalorización de las pensiones.
El capítulo IV recoge el sistema de complementos para mínimos, que regula en dos artículos, relativos, respectivamente, a pensiones de Clases Pasivas y pensiones del sistema de la Seguridad Social.
El capítulo V contiene, de una parte, la determinación inicial y revalorización de las pensiones no contributivas de la Seguridad Social y, de otra, la fijación de la cuantía de las pensiones del extinguido Seguro Obligatorio de Vejez e Invalidez.
VI
El título V, «De las Operaciones Financieras», se estructura en tres capítulos, relativos, respectivamente, a Deuda Pública, avales públicos y otras garantías y relaciones del Estado con el Instituto de Crédito Oficial.
El objeto fundamental de este Título es autorizar la cuantía hasta la cual el Estado y los Organismos Públicos puedan realizar operaciones de endeudamiento, materia que se regula en el capítulo I, bajo la rúbrica «Deuda Pública». Estas autorizaciones genéricas se completan con la determinación de la información que han de suministrar los Organismos Públicos y el propio Gobierno sobre evolución de la Deuda Pública y las cuentas abiertas por el Tesoro en el Banco de España y otras entidades financieras.
En materia de Deuda del Estado, la autorización viene referida a la cuantía del incremento del saldo vivo de la Deuda del Estado a 31 de diciembre. Así, para el ejercicio del año 2012 se autoriza al Ministro de Economía y Competitividad para que incremente la misma, con la limitación de que el saldo vivo de dicha Deuda a 31 de diciembre del año 2012 no supere el correspondiente a 1 de enero de 2012 en más de 35.325.404,19 miles de euros, permitiéndose que dicho límite sea sobrepasado durante el curso del ejercicio previa autorización del Ministerio de Economía y Competitividad y estableciendo los supuestos en que quedará automáticamente revisado.
Respecto de la Deuda de los Organismos Públicos, se determina el importe autorizado a cada uno de ellos para el ejercicio en el anexo III de la Ley.
En el capítulo II, relativo a los «Avales Públicos y Otras Garantías» se fija el límite total de los avales a prestar por el Estado y los Organismos Públicos, que se fija en 217.043.560 miles €. Dentro de los avales del Estado merece especial mención la autorización de avales públicos para garantizar valores de renta fija emitidos por Fondos de Titulización de Activos, orientados a mejorar la financiación de la actividad productiva empresarial, para lo cual se establece una cuantía de 3.000.000 miles de euros.
En relación con los avales a prestar por los Organismos públicos se circunscribe la autorización a la Sociedad Estatal de Participaciones Industriales, autorización debidamente acompañada de la determinación de la información a suministrar por el Gobierno a las Cortes Generales sobre la evolución de los avales otorgados.
Las relaciones del Estado con el Instituto de Crédito Oficial están recogidas en el capítulo III, y se centran en regular los reembolsos del Estado a ese Instituto, la información a suministrar a las Cortes Generales y la dotación del Fondo para la Promoción del Desarrollo (FONPRODE), dotación que en 2012 ascenderá a 285.230 miles de euros.
Con independencia de la dotación anual al Fondo para la Promoción del Desarrollo, se fija el volumen de las operaciones que el Consejo de Ministros puede autorizar durante el ejercicio con cargo a dicho Fondo, que asciende en el presente ejercicio a 420.000 miles de euros.
También se establecen la dotación al Fondo para la Internacionalización de la Empresa (FIEM), que ascenderá en el año 2012 a 261.000 miles de euros, y la dotación del Fondo de Cooperación para Agua y Saneamiento, de 15.000 miles de euros.
VII
En el ámbito tributario la Ley de Presupuestos incorpora diversas medidas, la gran mayoría de las cuales son las que habitualmente recoge esta norma, medidas que inciden en las principales figuras del sistema tributario.
Así, en el ámbito del Impuesto sobre la Renta de las Personas Físicas, para las transmisiones de bienes inmuebles no afectos a actividades económicas, se incluye la actualización de los coeficientes correctores del valor de adquisición al 1 por ciento. Además, se regulan las compensaciones por la pérdida de beneficios fiscales que afectan a determinados contribuyentes con la vigente Ley del Impuesto sobre la Renta de las Personas Físicas: los adquirentes de vivienda habitual y los perceptores de determinados rendimientos del capital mobiliario con período de generación superior a dos años en 2011 respecto a los establecidos en la normativa del Impuesto sobre la Renta de las Personas Físicas vigente hasta 31 de diciembre de 2006.
Por lo que se refiere al Impuesto sobre Sociedades, las medidas incluidas son la actualización, también al 1 por ciento, de los coeficientes aplicables a los activos inmobiliarios en los supuestos de transmisión, y la regulación de la forma de determinar los pagos fraccionados del Impuesto durante el ejercicio 2012.
En el Impuesto sobre la Renta de no Residentes, con el propósito de ajustar la normativa interna al ordenamiento comunitario, se extiende la exención aplicable a los beneficios distribuidos por las sociedades filiales residentes en España a sus matrices residentes en otro Estado miembro de la Unión Europea a los Estados integrantes del Espacio Económico Europeo.
También son objeto de modificaciones, de carácter técnico, el Impuesto sobre el Valor Añadido y el Impuesto sobre Hidrocarburos, en ambos casos como consecuencia de la necesaria adaptación del ordenamiento interno a la normativa comunitaria.
Además, con el fin de integrar el Impuesto sobre las Ventas Minoristas de Determinados Hidrocarburos en el Impuesto sobre Hidrocarburos, se modifican diversos preceptos de la Ley de Impuestos Especiales y se deroga aquel.
En el Impuesto sobre Transmisiones Patrimoniales y Actos Jurídicos Documentados se procede a actualizar la escala que grava la transmisión y rehabilitación de Grandezas y Títulos Nobiliarios al 1 por ciento.
Por lo que se refiere a las tasas, se actualizan, con carácter general, al 1 por ciento los tipos de cuantía fija de las tasas de la Hacienda estatal, excepto las tasas que se hayan creado o actualizado específicamente por normas dictadas en el año 2011.
Se mantienen, con carácter general, para el ejercicio 2012, los tipos y cuantías fijas establecidas para las tasas que gravan los juegos de suerte, envite o azar, en los importes exigibles durante 2011.
Las tasas exigibles por la Jefatura Central de Tráfico se ajustarán, una vez aplicado el coeficiente anteriormente indicado, al múltiplo de 20 céntimos de euro más cercano, o superior, cuando el importe a ajustar sea múltiplo de 10 céntimos de euro.
Se mantienen las cuantías básicas de las tasas portuarias establecidas en el texto refundido de la Ley de Puertos del Estado y de la Marina Mercante, aprobado por el Real Decreto Legislativo 2/2011, de 5 de septiembre, sin perjuicio del régimen de actualización propio establecido en dicha norma para la tasa de ocupación y la tasa de actividad.
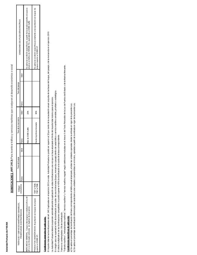
Se establecen las bonificaciones aplicables en los puertos de interés general a las tasas de ocupación, del buque, del pasaje y de la mercancía, así como los coeficientes correctores de aplicación a las mencionadas tasas del buque, del pasaje y de la mercancía, de acuerdo con el mandato contenido en el citado texto refundido.
La tasa del Instituto de Contabilidad y Auditoría de Cuentas por emisión de informes de auditoría de cuentas y la tasa por inscripción de mediadores de seguros y corredores de reaseguros se incrementan con la finalidad de adecuarse al coste real de dichos servicios.
La tasa general de operadores se mantiene sin variación, cuyo importe se fija en el 1 por mil de los ingresos brutos de explotación del operador. También se mantiene con carácter general la cuantificación de los parámetros necesarios para determinar el importe de la tasa por reserva del dominio público radioeléctrico.
Por último, se mantienen para el año 2012 las cuantías de la tasa de aproximación exigibles en 2011.
VIII
El título VII se estructura en dos capítulos, dedicados, respectivamente, a Entidades Locales y Comunidades Autónomas.
Dentro del capítulo I se contienen normas relativas a la financiación de las Entidades Locales, englobando en el mismo a los municipios, provincias, cabildos y consejos insulares, así como Comunidades Autónomas uniprovinciales.
El núcleo fundamental está constituido por la articulación de la participación de las Entidades Locales en los tributos del Estado, tanto en la determinación de su cuantía, como en la forma de hacerla efectiva. Cabe destacar como instrumento la participación, mediante cesión, en la recaudación de determinados impuestos como el IRPF, IVA y los impuestos especiales sobre fabricación de alcoholes, sobre hidrocarburos y sobre las labores del tabaco; la participación a través del Fondo Complementario de Financiación con atención específica a las compensaciones a las entidades locales por pérdidas de recaudación en el Impuesto sobre Actividades Económicas, que incluye tanto la inicialmente establecida por la Ley 51/2002, de 27 de diciembre, como la compensación adicional instrumentada a través de la Ley 22/2005, de 18 de noviembre, así como a la participación en el Fondo de Aportación a la Asistencia Sanitaria para el mantenimiento de los centros sanitarios de carácter no psiquiátrico de las Diputaciones, Comunidades Autónomas insulares no provinciales, y Consejos y Cabildos insulares.
Es preciso señalar que en 2012 se debe proceder a la revisión, de periodicidad cuatrienal, del ámbito subjetivo de aplicación de los modelos de participación en tributos del Estado aplicables a los municipios. A regular esa revisión se dedican los primeros preceptos del citado capítulo I.
Por su parte, en relación con la liquidación de 2010, a practicar en 2012, se volverán a aplicar los mismos criterios de reintegros que se aplicaron hasta la liquidación del año 2007.
Finalmente, se recoge la regulación de los regímenes especiales de participación de Ceuta y Melilla, de las entidades locales de las Islas Canarias, así como al relativo a las entidades locales de los Territorios Históricos del País Vasco y Navarra.
No obstante, esta regulación se completa con otras transferencias, constituidas por subvenciones por servicios de transporte colectivo urbano, compensación a los ayuntamientos de los beneficios fiscales concedidos a las personas físicas o jurídicas en los tributos locales, dando cumplimiento a lo previsto en el artículo 9 del Real Decreto Legislativo 2/2004, de 5 de marzo, por el que se aprueba el texto refundido de la Ley Reguladora de las Haciendas Locales.
Igualmente, se regulan las obligaciones de información a suministrar por las Entidades Locales, las normas de gestión presupuestaria, el otorgamiento de anticipos a los ayuntamientos para cubrir los desfases que puedan ocasionarse en la gestión recaudatoria de los tributos locales y la articulación del procedimiento para dar cumplimiento a las compensaciones de deudas firmes contraídas con el Estado por las Entidades Locales.
El capítulo II regula determinados aspectos de la financiación de las Comunidades Autónomas de régimen común y de las Ciudades con Estatuto de Autonomía.
El sistema de financiación vigente en el año 2012 fue aprobado por el Consejo de Política Fiscal y Financiera en su reunión de 15 de julio de 2009 e incorporado al ordenamiento jurídico mediante la modificación de la Ley Orgánica de Financiación de las CC.AA. y la aprobación de la Ley 22/2009, de 18 de diciembre, por la que se regula el sistema de financiación de las Comunidades Autónomas de régimen común y Ciudades con Estatuto de Autonomía y se modifican determinadas normas tributarias.
Los recursos financieros que el sistema asigna para la cobertura de las necesidades globales de financiación de cada Comunidad Autónoma están constituidos por el Fondo de Suficiencia Global, la Transferencia del Fondo de Garantía de Servicios Públicos Fundamentales y la Capacidad Tributaria. El Presupuesto de gastos del Estado recoge el Fondo de Suficiencia Global y la Aportación del Estado al Fondo de Garantía. La recaudación de los tributos que el Estado les ha cedido total o parcialmente, sin embargo, por su naturaleza, no tienen reflejo en los Presupuestos Generales del Estado.
Además, para favorecer la convergencia entre Comunidades Autónomas y el desarrollo de aquellas que tengan menor renta per cápita, la Ley 22/2009 regula dos Fondos de Convergencia Autonómica dotados con recursos adicionales del Estado: el Fondo de Competitividad y el Fondo de Cooperación.
Por otra parte, en el año 2012 se practicará la liquidación del sistema de financiación correspondiente a 2010, regulándose en el indicado capítulo los aspectos necesarios para su cuantificación.
Se regula en el citado capítulo el régimen de transferencia en el año 2012 correspondiente al coste efectivo de los servicios asumidos por las Comunidades Autónomas, así como el contenido mínimo de los Reales Decretos que aprueben las nuevas transferencias.
Como consecuencia de la situación que ha habido de prórroga presupuestaria del presupuesto de 2011 hasta la entrada en vigor de esta Ley, se hace necesario introducir en la misma una disposición para regularizar los importes de entregas a cuenta satisfechos y pendientes.
Por último, se recoge la regulación de los Fondos de Compensación Interterritorial, distinguiendo entre Fondo de Compensación y Fondo Complementario. Ambos Fondos tienen como destino la financiación de gastos de inversión por las Comunidades Autónomas. No obstante, el Fondo Complementario puede destinarse a la financiación de gastos de puesta en marcha o funcionamiento de las inversiones realizadas con cargo a la Sección 33 de los Presupuestos Generales del Estado.
Al igual que en años anteriores, se prevé que los remanentes de crédito de los Fondos de Compensación Interterritorial de ejercicios anteriores tengan el carácter de incorporables, si bien, a diferencia de lo dispuesto para el año 2011, en el ejercicio 2012 no se dotan créditos específicos destinados a financiar dichas incorporaciones.
IX
La Ley de Presupuestos Generales del Estado contiene en el título VIII, bajo la rúbrica «Cotizaciones Sociales», la normativa relativa a las bases y tipos de cotización de los distintos regímenes de la Seguridad Social, procediendo a la actualización de estas últimas.
El título consta de dos artículos relativos, respectivamente, a «Bases y tipos de cotización a la Seguridad Social, Desempleo, Protección por cese de actividad, Fondo de Garantía Salarial y Formación Profesional durante el año 2012» y «Cotización a derechos pasivos y a las Mutualidades Generales de Funcionarios para el año 2012».
X
El contenido de la Ley de Presupuestos se completa con diversas disposiciones adicionales, transitorias, derogatorias y finales, en las que se recogen preceptos de índole muy variada.
En materia de pensiones públicas y prestaciones asistenciales, entre otras medidas, se establecen las cuantías de las prestaciones económicas de la Seguridad Social por hijo a cargo, de las pensiones asistenciales y subsidios económicos de la Ley 13/1982, de 7 de abril, de Integración Social de los Minusválidos y pensiones asistenciales, así como la cuantía para el año 2012 de las Ayudas sociales a los afectados por el Virus de Inmunodeficiencia Humana (VIH). Asimismo se introducen normas relativas a la revalorización de pensiones por gran invalidez del Régimen especial de las Fuerzas Armadas y de actualización de las prestaciones económicas satisfechas a personas de origen español desplazadas al extranjero durante la Guerra Civil.
Se prevé la afectación de los ingresos generados de conformidad con los artículos 5 y 8 del Real Decreto 1207/2006 a la compensación a las Comunidades Autónomas por asistencia sanitaria prestada a ciudadanos asegurados en otros Estados y desplazados temporalmente a España.
Asimismo se contienen normas sobre el pago de las deudas con la Seguridad Social de instituciones sanitarias cuya titularidad corresponda a las Administraciones Públicas y limitaciones a las retribuciones a los cargos directivos y demás personal de las mutuas de trabajo y enfermedades profesionales de la Seguridad Social y de sus entidades y centros mancomunados.
En materia de cotización a la Seguridad Social, se introducen medidas para el mantenimiento del empleo en forma de reducción de la aportación empresarial en la cotización a la Seguridad Social por contingencias comunes cuando se trate de trabajadores con contrato indefinido, mayores de cincuenta y nueve años y con una antigüedad de cuatro años en la empresa. Se regula la reducción en la cotización a la Seguridad Social en los supuestos de cambio de puesto de trabajo por riesgo durante el embarazo o durante la lactancia natural, así como en los supuestos de enfermedad profesional.
Para cubrir el vacío normativo generado por la sentencia del Tribunal Superior de Justicia de Asturias que anuló la resolución de 10 de junio de 2003, se fijan las bases y tipos de cotización a la Seguridad Social por contingencias comunes en el Régimen Especial para la Minería del Carbón, durante el año 1990.
Se introducen normas relativas a la gestión de las acciones, medidas y programas establecidos en la letra h) del artículo 13 de la ley 56/2003, de 16 de diciembre, de Empleo.
En materia de personal, se fijan las plantillas máximas de Militares profesionales de Tropa y Marinería a alcanzar a 31 de diciembre del año 2012. Asimismo, se establecen los módulos para la compensación económica por la actuación de Jueces de Paz y Secretarios de Juzgados de Paz.
En el año 2012, las sociedades mercantiles públicas, las fundaciones del sector público y los consorcios participados mayoritariamente por las administraciones y organismos que integran el sector público definido en el artículo 22, apartado Uno de esta ley no podrán proceder a la contratación de nuevo personal, salvo en casos excepcionales y para cubrir necesidades urgentes e inaplazables, en los cuales podrán llevar a cabo contrataciones temporales.
En materia de relaciones con Comunidades Autónomas, se regula la suscripción de convenios con Comunidades Autónomas que incumplan su objetivo de estabilidad presupuestaria.
Se instrumenta la ampliación del plazo para el reintegro de las liquidaciones negativas del sistema de financiación de las Comunidades Autónomas y Ciudades con Estatuto de Autonomía correspondientes a 2008 y 2009.
Se regula la aportación del Servicio Público de Empleo Estatal a la financiación del IV Plan Integral de Empleo de la Comunidad Autónoma de Canarias, la cual deberá ser destinada a la financiación de las acciones y medidas de fomento de empleo que se describen en el convenio de colaboración suscrito entre la Administración General del Estado y la Comunidad Autónoma de Canarias el 1 de agosto de 2011.
Igualmente se recogen los preceptos relativos a la Garantía del Estado para obras de interés cultural cedidas temporalmente para su exhibición en instituciones de competencia exclusiva del Ministerio de Educación, Cultura y Deporte.
Las normas de índole económica se refieren al interés legal del dinero, que se fija en un 4 por ciento y al interés de demora, que se fija en un 5 por ciento. Se produce la determinación del indicador público de renta de efectos múltiples (IPREM) para 2012, que queda fijado en los mismos términos que para el ejercicio 2011.
Se incluyen disposiciones en materia de gestión presupuestaria relativas a los préstamos y anticipos concedidos con cargo a los Presupuestos Generales del Estado, con la finalidad de atender al cumplimiento de los objetivos de estabilidad presupuestaria y endeudamiento; se autoriza la incorporación de remanentes de tesorería del organismo autónomo Instituto Nacional de Administración Pública; se contienen normas sobre los pagos correspondientes a la financiación de actuaciones recogidas en el Fondo para el Patrimonio Natural y la Biodiversidad; se incluyen normas de ejecución presupuestaria del Centro para el Desarrollo Tecnológico e Industrial; se establecen requisitos para la contratación de inversiones por parte de las entidades públicas empresariales y sociedades mercantiles estatales. Durante 2012 no se crearán Agencias Estatales.
Se incluyen disposiciones sobre la afectación de la recaudación de las tasas de expedición del Documento Nacional de Identidad y Pasaportes a la financiación de las actividades de la Fábrica Nacional de Moneda y Timbre y el porcentaje sobre el rendimiento de la tasa de reserva de dominio público radioeléctrico a percibir por la Corporación RTVE.
El fomento del comercio exterior tiene su plasmación en la disposición adicional que fija el límite máximo de cobertura para nueva contratación, que puede asegurar y distribuir CESCE en el ejercicio 2012 se fija en 9.000.000 miles de euros, excluida la modalidad de Póliza Abierta de Gestión de Exportaciones (PAGEX), Póliza 100 y Póliza Master.
La dotación del Fondo para Inversiones en el Exterior se establece en 25.000 miles de euros. El importe total máximo de las operaciones que pueden aprobar los respectivos Comités Ejecutivos, se fija en 300.000 miles de euros en el Fondo para Inversiones en el Exterior y en 35.000 miles de euros en el Fondo para Operaciones de Inversiones en el Exterior para la Pequeña y Mediana Empresa.
Tiene reflejo en las disposiciones adicionales el apoyo a la investigación científica y el desarrollo tecnológico, que se manifiesta de una doble vertiente, mediante la concesión de ayudas reembolsables para la financiación de actuaciones concertadas; y mediante la instrumentación del apoyo financiero a empresas de base tecnológica, finalidad a la que se destinan 38.579,76 miles de euros.
Igualmente se regula el apoyo financiero a pequeñas y medianas empresas y a los jóvenes emprendedores, finalidades para las que se destinan 56.105,49 miles de euros y 20.000 miles de euros respectivamente, así como a actuaciones en parque científicos y tecnológicos.
Se regulan las subvenciones al transporte aéreo y marítimo para residentes en Canarias, Baleares, Ceuta y Melilla.
Se aprueba una dotación de 5.000 miles de euros al Fondo de Apoyo para la Promoción y Desarrollo de Infraestructuras y Servicios del Sistema de Autonomía y Atención a la Dependencia, que tiene por objeto prestar apoyo financiero a las empresas que lleven a cabo dicha actividad.
Durante el ejercicio 2012 queda en suspenso la aplicación del mecanismo de compensación con cargo a los Presupuestos Generales del Estado establecido en la disposición adicional primera del Real Decreto-ley 6/2009 por el que se adoptan determinadas medidas en el sector energético y se aprueba el bono social, conforme al cual se determinan las compensaciones por los extracostes de generación de los Sistemas Eléctricos Insulares y Extrapeninsulares.
Se regula la financiación de la formación profesional para el desempleo con el objeto de impulsar y extender entre las empresas y los trabajadores una formación que responda a sus necesidades y contribuya al desarrollo de una economía basada en el conocimiento.
Consecuencia de la prórroga del presupuesto para 2011, se establecen normas para la imputación de las operaciones de gasto del Presupuesto prorrogado a los Presupuestos Generales del Estado para 2012.
Se incluyen, por último, las disposiciones relativas a la asignación de cantidades a fines de interés social y a financiación de la Iglesia católica.
A continuación se recogen una serie de disposiciones transitorias entre las que destacamos las relativas a indemnización por residencia del personal al servicio del sector público estatal; complementos personales y transitorios; normas transitorias en materia de bonificaciones al transporte marítimo y aéreo; y contratación de inversiones por parte de las entidades públicas empresariales y sociedades mercantiles estatales.
Se incluyen igualmente, tres disposiciones derogatorias, que se refieren al artículo 62 de la Ley 55/1999, de 29 de diciembre, de medidas fiscales, administrativas y del orden social y disposición adicional quinta «Compensaciones por los extracostes de generación de los Sistemas Eléctricos Insulares y Extrapeninsulares» del Real Decreto-ley 20/2011, de 30 de diciembre, de medidas urgentes en materia presupuestaria, tributaria y financiera para la corrección del déficit público, así como cualesquiera disposiciones que se opongan a lo establecido en la propia ley.
La Ley se cierra con un conjunto de disposiciones finales, en las que se recogen las modificaciones realizadas a varias normas legales. Entre ellas, merecen citarse el texto refundido de las Leyes 116/1969, de 30 de diciembre, y 24/1972, de 21 de junio, por el que se regula el Régimen Especial de la Seguridad Social de los Trabajadores del Mar, aprobado por Decreto 2864/1974, de 30 de agosto; el texto refundido de la Ley de Clases Pasivas del Estado, aprobado por Real Decreto Legislativo 670/1987, de 30 de abril; texto refundido de la Ley sobre Seguridad Social de las Fuerzas Armadas, aprobado por Real Decreto Legislativo 1/2000, de 9 de junio; la Ley 33/2003, de 3 de noviembre, del Patrimonio de las Administraciones Públicas; la Ley 47/2003, de 26 de noviembre, General Presupuestaria; texto refundido de la Ley reguladora de las Haciendas Locales, aprobado por Real Decreto Legislativo 2/2004, de 5 de marzo; la Ley 9/2009, de 6 de octubre, de ampliación de la duración del permiso de paternidad en los casos de nacimiento, adopción o acogida; la Ley 29/2011, de 22 de septiembre, de Reconocimiento y Protección Integral de las Víctimas de Terrorismo; la Ley 13/2011, de 27 de mayo, de regulación del juego; Ley 38/1992, de 28 de diciembre, de Impuestos Especiales; Ley 21/2003, de 7 de julio, de Seguridad Aérea; se establecen los porcentajes de cesión de rendimientos recaudatorios de impuestos estatales a favor de las Entidades locales; finalizando con la tradicional disposición relativa a la gestión de créditos presupuestarios en materia de Clases Pasivas, entrada en vigor y habilitación al Gobierno para llevar a cabo el desarrollo reglamentario que requiera.
De la aprobación de los Presupuestos y de sus modificaciones
Créditos iniciales y financiación de los mismos
Artículo 1. Ámbito de los Presupuestos Generales del Estado.
En los Presupuestos Generales del Estado para el ejercicio del año 2012 se integran:
a) El presupuesto del Estado.
b) Los presupuestos de los Organismos autónomos de la Administración General del Estado.
c) El presupuesto de la Seguridad Social.
d) Los presupuestos de las Agencias Estatales.
e) Los presupuestos de los Organismos Públicos cuya normativa especifica confiere carácter limitativo a los créditos de su presupuesto de gastos.
f) Los presupuestos de las restantes entidades del sector público administrativo estatal.
g) Los presupuestos de los fondos carentes de personalidad jurídica a que se refiere el artículo 2.2 de la Ley 47/2003, de 26 de noviembre, General Presupuestaria.
h) Los presupuestos de las Sociedades mercantiles estatales.
i) Los presupuestos de las Fundaciones del sector público estatal.
j) Los presupuestos de las Entidades públicas empresariales y restantes Organismos públicos de esta naturaleza.
Artículo 2. De la aprobación de los estados de gastos e ingresos de los Entes referidos en las letras a) a d) del artículo 1 de la presente Ley.
Uno. Para la ejecución de los programas integrados en los estados de gastos de los presupuestos de los Entes mencionados en los apartados a), b), c), d) y e) del artículo anterior, se aprueban créditos en los capítulos económicos I a VIII por importe de 311.776.637,58 miles de euros, según la distribución por programas detallada en el Anexo I de esta Ley. La agrupación por políticas de los créditos de estos programas es la siguiente:
|
|
Miles de euros |
|
Justicia |
1.612.633,09 |
|
Defensa |
6.269.315,18 |
|
Seguridad ciudadana e instituciones penitenciarias |
8.354.908,59 |
|
Política exterior |
1.680.616,02 |
|
Pensiones |
115.825.933,59 |
|
Otras prestaciones económicas |
12.013.279,33 |
|
Servicios sociales y promoción social |
2.119.017,07 |
|
Fomento del empleo |
5.764.743,28 |
|
Desempleo |
28.805.052,82 |
|
Acceso a la vivienda y fomento de la edificación |
819.912,29 |
|
Gestión y administración de la Seguridad Social |
2.901.115,02 |
|
Sanidad |
3.975.624,53 |
|
Educación |
2.219.464,77 |
|
Cultura |
942.462,90 |
|
Agricultura, pesca y alimentación |
8.454.632,36 |
|
Industria y energía |
1.897.060,30 |
|
Comercio, turismo y PYMES |
1.109.967,16 |
|
Subvenciones al transporte |
1.616.801,03 |
|
Infraestructuras |
7.020.033,47 |
|
Investigación, desarrollo e innovación |
6.386.881,36 |
|
Otras actuaciones de carácter económico |
590.363,01 |
|
Alta dirección |
633.350,09 |
|
Servicios de carácter general |
6.991.682,62 |
|
Administración financiera y tributaria |
5.237.718,35 |
|
Transferencias a otras Administraciones Públicas |
49.686.069,35 |
|
Deuda Pública |
28.848.000,00 |
Dos. En los estados de ingresos de los Entes a que se refiere el apartado anterior, se recogen las estimaciones de los derechos económicos que se prevé liquidar durante el ejercicio presupuestario. La distribución de su importe consolidado, expresado en miles de euros, se recoge a continuación:
|
Entes |
Capítulos económicos |
||
|
Capítulos I a VII Ingresos no financieros |
Capítulo VIII Activos financieros |
Total Ingresos |
|
|
Estado |
118.833.305,52 |
10.092.937,11 |
128.926.242,63 |
|
Organismos autónomos |
33.606.452,11 |
1.396.479,45 |
35.002.931,56 |
|
Seguridad Social |
110.992.455,91 |
814.187,26 |
111.806.643,17 |
|
Agencias estatales |
253.453,05 |
243.946,21 |
497.399,26 |
|
Organismos del artículo 1.e) de la presente Ley |
130.629,88 |
26.598,44 |
157.228,32 |
|
Total |
263.816.296,47 |
12.574.148,47 |
276.390.444,94 |
Tres. Para las transferencias internas entre los Entes a que se refiere el apartado uno de este artículo, se aprueban créditos por importe de 31.541.237,47 miles de euros con el siguiente desglose por Entes:
Miles de euros
|
Transferencias según origen |
Transferencias según destino |
|||||
|
Estado |
Organismos Autónomos |
Seguridad Social |
Agencias Estatales |
Organismos del Artículo 1.e) de la presente Ley |
Total |
|
|
Estado |
– |
15.766.720,06 |
8.891.654,78 |
800.156,83 |
1.358.090,42 |
26.816.622,09 |
|
Organismos autónomos |
226.747,09 |
72.772,10 |
– |
8.994,54 |
– |
308.513,73 |
|
Agencias estatales |
30.366,00 |
1.254,14 |
– |
– |
– |
31.620,14 |
|
Seguridad Social |
142.576,82 |
1.208,70 |
4.240.695,99 |
– |
– |
4.384.481,51 |
|
Organismos del artículo 1.e) de la presente Ley |
– |
– |
– |
– |
– |
– |
|
Total |
399.689,91 |
15.841.955,00 |
13.132.350,77 |
809.151,37 |
1.358.090,42 |
31.541.237,47 |
Cuatro. Los créditos incluidos en los programas y transferencias entre subsectores de los estados de gastos aprobados en este artículo, se distribuyen orgánica y económicamente, expresados en miles de euros, según se indica a continuación:
|
Entes |
Capítulos económicos |
||
|
Capítulos I a VII Gastos no financieros |
Capítulo VIII Activos financieros |
Total Gastos |
|
|
Estado |
152.629.759,18 |
12.021.577,55 |
164.651.336,73 |
|
Organismos autónomos |
50.898.401,41 |
11.303,80 |
50.909.705,21 |
|
Seguridad Social |
124.104.806,68 |
834.157,06 |
124.938.963,74 |
|
Agencias estatales |
1.301.837,72 |
712,91 |
1.302.550,63 |
|
Organismos del artículo 1.e) de la presente Ley |
1.513.824,20 |
1.494,54 |
1.515.318,74 |
|
Total |
330.448.629,19 |
12.869.245,86 |
343.317.875,05 |
Cinco. Para la amortización de pasivos financieros, se aprueban créditos en el capítulo IX de los estados de gastos de los Entes a que se refiere el apartado uno, por importe de 50.289.173,11 miles de euros cuya distribución por programas se detalla en el anexo I de esta Ley.
Artículo 3. De los beneficios fiscales.
Los beneficios fiscales que afectan a los tributos del Estado se estiman en 38.102.700,00 miles de euros. Su ordenación sistemática se incorpora como Anexo al estado de ingresos del Estado.
Artículo 4. De la financiación de los créditos aprobados en el artículo 2 de la presente Ley.
Los créditos aprobados en el apartado Uno del artículo 2 de esta Ley, que ascienden a 311.776.637,58 miles de euros se financiarán:
a) Con los derechos económicos a liquidar durante el ejercicio, que se detallan en los estados de ingresos correspondientes y que se estiman en 276.390.444,94 miles de euros; y
b) Con el endeudamiento neto resultante de las operaciones que se regulan en el capítulo I del título V de esta Ley.
Artículo 5. De la cuenta de operaciones comerciales.
Se aprueban las estimaciones de gastos y previsiones de ingresos referidas a las operaciones comerciales de los Organismos autónomos que, a la entrada en vigor de la Ley 6/1997, de 14 de abril, de Organización y Funcionamiento de la Administración General del Estado, se encontraban incluidos en el apartado b) del artículo 4.1 del texto refundido de la Ley General Presupuestaria, así como las del Organismo público Instituto Cervantes.
Artículo 6. De los presupuestos de los Entes referidos en las letras f), g), h), i) y j) del artículo 1 de esta Ley.
Uno. Se aprueban los presupuestos de las restantes entidades del sector público administrativo estatal que se relacionan en el anexo XIII, en los que se incluyen las estimaciones de gastos y previsiones de ingresos referidos a las mismas y a sus estados financieros, sin perjuicio de los mecanismos de control que, en su caso, pudieran, contener las disposiciones que les resulten de aplicación.
Dos. Se aprueban los presupuestos de los fondos carentes de personalidad jurídica a que se refiere el artículo 2.2 de la Ley 47/2003, de 26 de noviembre, General Presupuestaria que se relacionan en el anexo XIV, en los que se incluyen las estimaciones de gastos y previsiones de ingresos referidos a los mismos y a sus estados financieros, sin perjuicio de los mecanismos de control que, en su caso, pudieran contener las disposiciones que les resulten de aplicación.
Tres. Se aprueban los presupuestos de las Sociedades mercantiles estatales con mayoría de capital público, que recogen sus estimaciones de gastos y previsiones de ingresos, presentado de forma individualizada o consolidados con el grupo de empresas al que pertenecen, relacionándose en este último caso las Sociedades objeto de presentación consolidada. Sin perjuicio de lo anterior, se incluyen, en cualquier caso, de forma separada los de las Sociedades mercantiles estatales que reciben subvenciones con cargo a los Presupuestos Generales del Estado.
Cuatro. Se aprueban los presupuestos de las Fundaciones del sector público estatal que recogen sus estimaciones de gastos y previsiones de ingresos que se relacionan en el anexo XV.
Cinco. Se aprueban los presupuestos de las Entidades públicas empresariales y de los Organismos públicos que se especifican en el anexo X, en los que se incluyen las estimaciones de gastos y previsiones de ingresos referidos a los mismos y a sus estados financieros, sin perjuicio de los mecanismos de control que, en su caso, pudieran contener las disposiciones que les resulten de aplicación.
Artículo 7. Presupuesto del Banco de España.
De acuerdo con lo previsto en el artículo 4.2 de la Ley 13/1994, de 1 de junio, de Autonomía del Banco de España, se aprueba el presupuesto de gastos de funcionamiento e inversiones del Banco de España, que se une a esta Ley.
Artículo 8. Presupuesto de los Consorcios de la disposición adicional novena de la Ley 47/2003, de 26 de noviembre, General Presupuestaria.
De conformidad con la disposición adicional novena de la Ley 47/2003, de 26 de noviembre, General Presupuestaria, se unen a esta Ley los presupuestos de explotación y capital de los Consorcios en los que el porcentaje de participación del Sector Público Estatal es igual o superior al de cada una de las restantes Administraciones Públicas consorciadas.
Normas de modificación y ejecución de créditos presupuestarios
Artículo 9. Principios generales.
Con vigencia exclusiva para el año 2012, las modificaciones de los créditos presupuestarios autorizados en esta Ley se sujetarán a las siguientes reglas:
Primera. –Las modificaciones de créditos presupuestarios se ajustaran a lo dispuesto en esta Ley, y a lo que al efecto se dispone en la Ley 47/2003, de 26 de noviembre, General Presupuestaria, en los extremos que no resulten modificados por aquella.
Segunda. –Con independencia de los niveles de vinculación establecidos en los artículos 43 y 44 de la Ley General Presupuestaria, todo acuerdo de modificación presupuestaria deberá indicar expresamente la Sección, Servicio u Órgano público a que se refiera así como el programa, artículo, concepto y subconcepto, en su caso, afectados por la misma.
Artículo 10. Créditos vinculantes.
Uno. Con vigencia exclusiva durante el año 2012, se considerarán vinculantes, con el nivel de desagregación económica con que aparezcan en los estados de gastos, los créditos consignados para atender obligaciones de ejercicios anteriores.
Dos. Con vigencia exclusiva durante el año 2012, se considerarán vinculantes los créditos 162.00 «Formación y perfeccionamiento del personal», 162.04 «Acción Social» y 221.09 «Labores de la Fábrica Nacional de Moneda y Timbre».
Tres. Con vigencia exclusiva durante el año 2012, se considerará vinculante el crédito 16.03.132A.221.10 «A la Fabrica Nacional de Moneda y Timbre por afectación de las tasas del DNI y pasaportes».
Cuatro. Con vigencia exclusiva para 2012 vincularán a nivel de capítulo, con excepción de las subvenciones nominativas, y sin perjuicio de su especificación a nivel de concepto en los estados de gasto, los créditos presupuestarios consignados en el capítulo 7 «Transferencias de capital», del Presupuesto de la Sección 20 «Ministerio de Industria, Energía y Turismo» para los siguientes Servicios y Programas: Servicio 12 «Secretaria de Estado de Telecomunicaciones y para la Sociedad de la Información», programa 467G «Investigación y Desarrollo de la Sociedad de la Información» y 467I «Innovación tecnológica de las telecomunicaciones».
Cinco. Con vigencia exclusiva durante el año 2012 tendrá carácter vinculante el crédito 26.18.231A.227.11 «Para actividades de prevención, investigación, persecución y represión de los delitos relacionados con el tráfico de drogas y demás fines a que se refiere la Ley 17/2003, de 29 de mayo».
Seis. Con vigencia exclusiva para el año 2012, vincularán a nivel de capítulo, con excepción de las subvenciones nominativas y sin perjuicio de su especificación a nivel de concepto en los estados de gasto, los créditos presupuestarios consignados en el capítulo 7 «Transferencias de capital», del presupuesto de gastos de la Sección 27 «Ministerio de Economía y Competitividad», para los siguientes servicios y programas: Servicio 13 «Dirección General de Investigación Científica y Técnica», programa 463B «Fomento y coordinación de la investigación científica y técnica», Servicio 14 «Dirección General de Innovación y Competitividad», programa 463B «Fomento y coordinación de la investigación científica y técnica» y programa 467C «Investigación y desarrollo tecnológico-industrial».
Artículo 11. Competencias específicas en materia de modificaciones presupuestarias.
Uno. Con vigencia exclusiva para el año 2012, corresponden al Ministro de Hacienda y Administraciones Públicas las siguientes competencias específicas en materia de modificaciones presupuestarias:
1. Autorizar las transferencias que afecten a los créditos contemplados en el artículo 10.Uno de la presente Ley, cuando su nivel de vinculación sea distinto del establecido con carácter general para los capítulos en los que estén consignados.
En el Presupuesto de la Seguridad Social dicha autorización corresponderá a la Ministra de Empleo y Seguridad Social, salvo en los Presupuestos de INGESA y del IMSERSO que corresponderá a la Ministra de Sanidad, Servicios Sociales e Igualdad.
2. Autorizar las transferencias que se realicen con cargo al crédito 26.18.231A.227.11 «Para actividades de prevención, investigación, persecución y represión de los delitos relacionados con el trafico de drogas y demás fines a que se refiere la Ley 17/2003, de 29 de mayo», cuando se destinen a otros Departamentos ministeriales.
3. Autorizar las transferencias de crédito que afecten a subconcepto 221.09 «Labores Fabrica Nacional Moneda y Timbre».
4. Autorizar las transferencias de crédito entre servicios u Organismos autónomos de distintos Departamentos ministeriales, cuando ello fuere necesario para la distribución de los créditos del Fondo Nacional para la Investigación Científica y Técnica, del Fondo Estratégico para Infraestructuras Científicas y Tecnológicas y el Fondo Internacional para la Investigación Científica y Técnica.
5. Autorizar transferencias de crédito entre servicios u Organismos autónomos de distintos Departamento ministeriales, cuando ello fuere necesario para hacer efectiva la redistribución, reasignación o movilidad de los efectivos de personal o de los puestos de trabajo, en los casos previstos en el capítulo IV del Título III del Reglamento General de Ingresos del Personal al Servicio de la Administración General del Estado y de Provisión de Puestos de Trabajo y Promoción Profesional de los Funcionarios Civiles de la Administración General del Estado, aprobado por Real Decreto 364/1995, de 10 de marzo, así como para hacer efectiva la movilidad forzosa del personal laboral de la Administración General del Estado de acuerdo con la normativa que les sea de aplicación.
6. Autorizar las generaciones de crédito que impliquen la creación de conceptos nuevos en los capítulos 4 «Transferencias corrientes» y 7 «Transferencias de capital» o para el resto de capítulos cuando no se encuentren previamente contemplados en los códigos que definen la clasificación económica.
7. Autorizar las modificaciones de crédito a realizar en el presupuesto del Servicio Público de Empleo Estatal que afecten a los créditos que se especifican en los apartados a), b), c), d) y e) del anexo II.Segundo.ocho.
Dos. Con vigencia exclusiva para el año 2012, corresponde al Ministro de Defensa autorizar las generaciones de crédito contempladas en el artículo 53.2.b) de la Ley 47/2003, de 26 de noviembre, General Presupuestaria, motivadas por ingresos procedentes de ventas de productos farmacéuticos o de prestación de servicios hospitalarios, así como por ingresos procedentes de suministros de víveres, combustibles o prestaciones alimentarias debidamente autorizadas, y prestaciones de servicios a ejércitos de países integrados en la OTAN.
Tres. Con vigencia exclusiva para el año 2012, corresponden al Ministro de Industria, Energía y Turismo autorizar en el presupuesto de su departamento las transferencias de crédito que afectan a las transferencias de capital entre subsectores, cuando estas sean consecuencia del otorgamiento de ayudas a organismos públicos en el marco de convocatorias públicas y se financien desde los programas 467G «Investigación y Desarrollo de la Sociedad de la Información» y 467I «Innovación tecnológica de las comunicaciones».
Cuatro. Con vigencia exclusiva para el año 2012, corresponden a la Ministra de Sanidad, Servicios Sociales e Igualdad autorizar las generaciones de crédito contempladas en el artículo 53.2.b) de la Ley 47/2003, de 26 de noviembre, General Presupuestaria, como consecuencia de los ingresos a que se refiere la Disposición adicional vigésima segunda del texto refundido de la Ley General de la Seguridad Social, aprobado por Real Decreto Legislativo 1/1994, de 20 de junio.
Al objeto de reflejar las repercusiones que en el Presupuesto de gastos del Instituto Nacional de Gestión Sanitaria hubieran de tener las transferencias del Estado a la Seguridad Social, por la generación de crédito que se hubiera producido como consecuencia de la recaudación efectiva de ingresos a que se refiere la disposición adicional vigésima segunda del Texto Refundido de la Ley General de la Seguridad Social, la Ministra de Sanidad, Servicios Sociales e Igualdad podrá autorizar las ampliaciones de crédito que fueran necesarias en el Presupuesto de gastos de dicha Entidad.
En todo caso, una vez autorizadas las modificaciones presupuestarias a que se refiere el párrafo anterior, se remitirán al Ministerio de Hacienda y Administraciones Públicas, Dirección General de Presupuestos, para su conocimiento.
Cinco. Con vigencia exclusiva para el año 2012 corresponden al Ministro de Economía y Competitividad las siguientes competencias específicas en materia de modificaciones presupuestarias:
1. Autorizar generaciones de crédito en las aplicaciones 27.13.463B.740, 27.13.463B.750, 27.13.463B.760, 27.13.463B.770 y 27.13.463B.780 por los ingresos que se deriven de la devolución de ayudas reembolsables contempladas en la disposición adicional décima sexta de esta Ley, relativa a las ayudas reembolsables con fines de investigación científica y desarrollo tecnológico.
2. Autorizar en el presupuesto de su departamento las transferencias de crédito que afecten a las transferencias corrientes y de capital entre subsectores, cuando estas sean consecuencia del otorgamiento de ayudas a organismos públicos en el marco de convocatorias públicas y se financien desde los programas de investigación 463B «Fomento y coordinación de la investigación científica y técnica» y 467C «Investigación y desarrollo tecnológico-industrial».
Seis. Con vigencia exclusiva para el año 2012, en el caso de modificaciones de crédito en el presupuesto de los organismos públicos del apartado e) del artículo 1 de la presente Ley cuya financiación se realice con cargo al presupuesto de gastos del Estado, ambas modificaciones se acordarán mediante el procedimiento que le sea de aplicación a la del Estado.
Siete. De todas las transferencias a que se refiere este artículo, se remitirán trimestralmente información a las Comisiones de Presupuestos del Congreso de los Diputados y del Senado, identificando las partidas afectadas, su importe y finalidad de las mismas.
Artículo 12. De las limitaciones presupuestarias.
Uno. La limitación para realizar transferencias de crédito desde operaciones de capital a corrientes a que se refiere el artículo 52.1.a) de la Ley 47/2003, de 26 de noviembre, General Presupuestaria, no será de aplicación para las siguientes transferencias:
a) Las que sean necesarias para atender obligaciones de todo orden motivadas por siniestros, catástrofes u otros de reconocida urgencia declaradas por norma con rango de Ley.
b) Las que sean necesarias para distribuir los créditos del Fondo Nacional para el Desarrollo de la Investigación Científica y Técnica, del Fondo Estratégico de Infraestructuras Científicas y Tecnológicas y del Fondo Internacional para la Investigación Científica y Técnica.
c) Las que resulten procedentes en el presupuesto del Instituto de Vivienda, Infraestructura y Equipamiento de la Defensa para posibilitar el ingreso en el Estado de fondos destinados a atender necesidades operativas y de inversión de las Fuerzas Armadas.
Dos. Las limitaciones contenidas en el artículo 52.1.b) de la Ley 47/2003, de 26 de noviembre, General Presupuestaria, no serán de aplicación cuando las transferencias se efectúen en uso de la autorización contenida en los apartados 2, 4 y 5 del artículo 11.Uno de la presente Ley.
Tres. Con vigencia exclusiva para el año 2012, las generaciones de crédito que supongan incrementos de los créditos para incentivos al rendimiento y cuya autorización no sea competencia del Ministro de Hacienda y Administraciones Públicas, requerirán informe favorable previo de dicho Departamento.
Cuatro. Con vigencia exclusiva para el año 2012, no serán de aplicación las limitaciones contenidas en el artículo 50 de la Ley 47/2003, de 26 de noviembre, General Presupuestaria, respecto de la financiación de las ampliaciones de crédito que se realicen en la aplicación presupuestaria 27.04.923O.351 «Cobertura de riesgos en avales prestados por el Tesoro, incluidos los riesgos de ejercicios anteriores» y en la aplicación presupuestaria 27.04.923O.355 «Compensaciones derivadas de la ejecución de avales frente al Tesoro», cuando sean consecuencia de las medidas financieras contenidas en el Real Decreto-ley 7/2008, de 13 de octubre, de Medidas Urgentes en materia Económico-Financiera en relación con el Plan de Acción Concertada de los Países de la Zona Euro, en la disposición adicional vigésima primera de la Ley 54/1997, de 27 de noviembre, del Sector Eléctrico, en la disposición adicional segunda del Real Decreto-Ley 9/2009, de 26 de junio, sobre reestructuración bancaria y reforzamiento de los recursos propios de las entidades de crédito, en el artículo único del Real Decreto-Ley 9/2010, de 28 de mayo, por el que se autoriza a la Administración General del Estado al otorgamiento de avales a determinadas operaciones de financiación en el marco del mecanismo europeo de estabilización financiera, en el apartado Dos.b) del artículo 49 de la Ley 39/2010, de 22 de diciembre, de Presupuestos Generales del Estado para el año 2011, y en el apartado Dos.b) del artículo 52 de esta Ley.
Cinco. El Gobierno comunicará trimestralmente a las Comisiones de Presupuestos del Congreso y del Senado las operaciones de ejecución del Presupuesto del Estado realizadas en dicho período de tiempo, a los efectos de informar del cumplimiento de lo previsto en este artículo.
Artículo 13. De las ampliaciones e incorporaciones de crédito.
Uno. A efectos de lo dispuesto en el artículo 54 de la Ley 47/2003, de 26 de noviembre, General Presupuestaria, tendrán la condición de ampliables los créditos que se relacionan en el anexo II de esta Ley.
Dos. A efectos de lo dispuesto en el artículo 58.a) de la Ley 47/2003, de 26 de noviembre, General Presupuestaria, podrán incorporarse a los créditos del ejercicio 2012 los remanentes que se recogen en el anexo VII de esta Ley.
Artículo 14. Imputaciones de crédito.
Con vigencia exclusiva para el año 2012, podrán aplicarse a créditos del ejercicio corriente obligaciones contraídas en ejercicios anteriores, de conformidad con el ordenamiento jurídico, para las que se anulara crédito en el ejercicio de procedencia sin que sea de aplicación el procedimiento de imputación establecido en el artículo 34.3 de la Ley 47/2003, de 26 de noviembre, General Presupuestaria.
Asimismo, podrán atenderse con cargo a créditos del presente presupuesto obligaciones pendientes de ejercicios anteriores, en los casos en que figure dotado un crédito específico destinado a dar cobertura a dichas obligaciones, con independencia de la existencia de saldo de crédito anulado en el ejercicio de procedencia.
De la Seguridad Social
Artículo 15. De la Seguridad Social.
Uno. La financiación de la asistencia sanitaria, a través del Presupuesto del Instituto Nacional de Gestión Sanitaria, se efectuará con dos aportaciones finalistas del Estado, una para operaciones corrientes, por un importe de 207.813,78 miles de euros, y otra para operaciones de capital, por un importe de 11.854,18 miles de euros, y con cualquier otro ingreso afectado a aquella entidad, por importe estimado de 1.072,46 miles de euros.
Dos. El Estado aporta al sistema de la Seguridad Social 3.806.350,00 miles de euros para atender a la financiación de los complementos para mínimos de las pensiones de dicho sistema.
Tres. El Presupuesto del Instituto de Mayores y Servicios Sociales se financiará en el ejercicio del año 2012 con aportaciones del Estado para operaciones corrientes por un importe de 3.714.371,00 miles de euros y para operaciones de capital por un importe de 10.167,00 miles de euros, así como por cualquier otro ingreso afectado a los servicios prestados por la Entidad, por un importe estimado de 56.860,19 miles de euros.
Cuatro. La asistencia sanitaria no contributiva del Instituto Social de la Marina se financia con una aportación finalista del Estado de 3.341,19 miles de euros. Asimismo, se financiarán por aportación del Estado los servicios sociales de dicho Instituto, a través de una transferencia corriente por un importe de 13.118,68 miles de euros y de una transferencia para operaciones de capital por valor de 1.500,00 miles de euros.
Artículo 16. Información a las Cortes Generales en materia de inversión y gasto público.
El Gobierno remitirá semestralmente a las Comisiones de Presupuestos del Congreso de los Diputados y del Senado información del grado de ejecución de la inversión, en su caso, con el detalle de la distribución territorial del Estado y de sus Organismos Autónomos.
De la gestión de los presupuestos docentes
Artículo 17. Módulo económico de distribución de fondos públicos para sostenimiento de centros concertados.
Uno. De acuerdo con lo establecido en los apartados segundo y tercero del artículo 117 y de la disposición adicional vigésima séptima de la Ley Orgánica 2/2006, de 3 de mayo, de Educación, el importe del módulo económico por unidad escolar, a efectos de distribución de la cuantía global de los fondos públicos destinados al sostenimiento de los centros concertados para el año 2012, es el fijado en el anexo IV de esta Ley.
A fin de dar cumplimiento a lo previsto en el artículo 116.1 en relación con el 15.2 de la Ley Orgánica 2/2006, de 3 de mayo, de Educación, las unidades que se concierten en las enseñanzas de Educación Infantil se financiarán conforme a los módulos económicos establecidos en el anexo IV de esta Ley.
Los Ciclos Formativos de Grado Medio y de Grado Superior se financiarán con arreglo a los módulos económicos establecidos en el anexo IV de la presente Ley. En la partida correspondiente a otros gastos de aquellas unidades concertadas de formación profesional que cuenten con autorización para una ratio inferior a 30 alumnos por unidad escolar, se aplicará un coeficiente reductor de 0,015 por cada alumno menos autorizado.
La financiación de la Formación en Centros de Trabajo (FCT) correspondiente a los ciclos formativos de grado medio y superior, en lo relativo a la participación de las empresas en el desarrollo de las prácticas de los alumnos, se realizará en términos análogos a los establecidos para los centros públicos.
Las unidades concertadas de Programas de Cualificación Profesional Inicial se financiarán conforme al módulo económico establecido en el anexo IV de la presente Ley, si bien los conciertos de los Programas de Cualificación Profesional Inicial tendrán carácter singular.
Asimismo, las unidades concertadas en las que se impartan las enseñanzas de Bachillerato se financiarán conforme al módulo económico establecido en el anexo IV de esta Ley.
Las Comunidades Autónomas en pleno ejercicio de competencias educativas podrán adecuar los módulos establecidos en el citado Anexo a las exigencias derivadas del currículo establecido por cada una de las enseñanzas, siempre que ello no suponga una disminución de las cuantías de dichos módulos en ninguna de las cantidades en que se diferencian, fijadas en la presente Ley.
Las retribuciones del personal docente tendrán efectividad desde el 1 de enero de 2012, sin perjuicio de la fecha en que se firmen los respectivos convenios colectivos de empresas de enseñanza privada sostenida total o parcialmente con fondos públicos, aplicables a cada nivel educativo en los centros concertados, pudiendo la Administración aceptar pagos a cuenta, previa solicitud expresa y coincidente de todas las organizaciones patronales y consulta con las sindicales negociadoras de los citados convenios colectivos, hasta el momento en que se produzca la firma del correspondiente convenio, considerándose que estos pagos a cuenta tendrán efecto desde el 1 de enero de 2012. El componente del módulo destinado a «otros gastos» surtirá efecto a partir del 1 de enero de 2012.
Las cuantías señaladas para salarios del personal docente, incluidas cargas sociales, serán abonadas directamente por la Administración, sin perjuicio de la relación laboral entre el profesorado y el titular del centro respectivo. La distribución de los importes que integran los «gastos variables» se efectuará de acuerdo con lo establecido en las disposiciones reguladoras del régimen de conciertos.
La cuantía correspondiente a «otros gastos» se abonará mensualmente, pudiendo los centros justificar su aplicación al finalizar el correspondiente ejercicio económico de forma conjunta para todas las enseñanzas concertadas del centro. En los ciclos formativos de grado medio y superior cuya duración sea de 1.300 ó 1.400 horas, las Administraciones educativas podrán establecer el abono de la partida de otros gastos del segundo curso, fijada en el módulo contemplado en el Anexo IV de forma conjunta con la correspondiente al primer curso, sin que ello suponga en ningún caso un incremento de la cuantía global resultante.
Dos. A los centros docentes que tengan unidades concertadas en todos los cursos de la Educación Secundaria Obligatoria se les dotará de la financiación de los servicios de orientación educativa a que se refiere el artículo 22.3 de la Ley Orgánica 2/2006, de 3 de mayo, de Educación. Esta dotación se realizará sobre la base de calcular el equivalente a una jornada completa del profesional adecuado a estas funciones, por cada 25 unidades concertadas de Educación Secundaria Obligatoria. Por tanto, los centros concertados tendrán derecho a la jornada correspondiente del citado profesional, en función del número de unidades de Educación Secundaria Obligatoria que tengan concertadas. En el ámbito de sus competencias y de acuerdo con sus disponibilidades presupuestarias, las Administraciones educativas podrán incrementar la financiación de los servicios de orientación educativa.
Tres. En el ámbito de sus competencias, las Administraciones educativas podrán fijar las relaciones profesor/unidad concertada, adecuadas para impartir el plan de estudios vigente en cada nivel objeto del concierto, calculadas en base a jornadas de profesor con veinticinco horas lectivas semanales.
La Administración no asumirá los incrementos retributivos, las reducciones horarias, o cualquier otra circunstancia que conduzca a superar lo previsto en los módulos económicos del anexo IV.
Asimismo, la Administración no asumirá los incrementos retributivos, fijados en convenio colectivo, que supongan un porcentaje superior al incremento establecido para el profesorado de la enseñanza pública en los distintos niveles de enseñanza salvo que, en aras a la consecución de la equiparación gradual a que hace referencia el artículo 117.4 de la Ley Orgánica 2/2006, de 3 de mayo, de Educación, se produzca su reconocimiento expreso por la Administración y la consiguiente consignación presupuestaria.
Cuatro. Las Administraciones educativas podrán, en el ámbito de sus competencias, incrementar las relaciones profesor/unidad de los centros concertados, en función del número total de profesores afectados por las medidas de recolocación que se hayan venido adoptando hasta la entrada en vigor de esta Ley y se encuentren en este momento incluidos en la nómina de pago delegado, así como de la progresiva potenciación de los equipos docentes.
Todo ello sin perjuicio de las modificaciones de unidades que se produzcan en los centros concertados, como consecuencia de la normativa vigente en materia de conciertos educativos.
Cinco. A los centros concertados se les dotará de las compensaciones económicas y profesionales para el ejercicio de la función directiva a que hace referencia el artículo 117.3 de la Ley Orgánica 2/2006, de 3 de mayo, de Educación.
Seis. [1] Las cantidades máximas a percibir de los alumnos en concepto de financiación complementaria a la proveniente de los fondos públicos que se asignen al régimen de conciertos singulares, suscritos para enseñanzas de niveles no obligatorios, y en concepto exclusivo de enseñanza reglada, son las que se establecen a continuación:
a) Ciclos formativos de grado superior: entre 18 y 36 euros alumno/mes durante diez meses, en el período comprendido entre el 1 de enero y el 31 de diciembre de 2012.
b) Bachillerato: entre 18 y 36 euros alumno/mes durante diez meses, en el período comprendido entre el 1 de enero y el 31 de diciembre de 2012.
La financiación obtenida por los centros, consecuencia del cobro a los alumnos de estas cantidades, tendrá el carácter de complementaria a la abonada directamente por la Administración para la financiación de los «otros gastos».
Los centros que en el año 2011 estuvieran autorizados para percibir cuotas superiores a las señaladas podrán mantenerlas para el ejercicio 2012.
La cantidad abonada por la Administración no podrá ser inferior a la resultante de minorar en 3.606,08 euros el importe correspondiente al componente de «otros gastos» de los módulos económicos establecidos en el anexo IV de la presente Ley, pudiendo las Administraciones educativas competentes establecer la regulación necesaria al respecto.
Siete. Financiación de la enseñanza concertada en las Ciudades de Ceuta y Melilla: al objeto de dotar a los centros de los equipos directivos en los términos establecidos en el artículo 117.3 de la Ley Orgánica 2/2006, de 3 de mayo, de Educación, y de proceder al aumento de la dotación de la financiación de los servicios de orientación educativa a que se refiere el artículo 22.3 de la misma ley, sobre la base de calcular el equivalente a una jornada completa del profesional adecuado a estas funciones, por cada 16 unidades concertadas de Educación Secundaria Obligatoria, el importe del módulo económico por unidad escolar para el ámbito territorial de las Ciudades de Ceuta y Melilla será el que se establece en el anexo V de la presente Ley.
Artículo 18. Autorización de los costes de personal de la Universidad Nacional de Educación a Distancia (UNED). [2]
Al amparo de lo dispuesto en la disposición adicional primera de la Ley Orgánica 6/2001, de 21 de diciembre, de Universidades, se autorizan los costes de personal docente (funcionario y contratado) y del personal de administración y servicios (funcionario y laboral fijo) de la Universidad Nacional de Educación a Distancia (UNED) para el año 2012 y por los importes consignados a continuación, sin incluir trienios ni seguridad social:
|
Personal Docente (funcionario y contratado) Miles de euros |
Personal no Docente (funcionario y laboral fijo) Miles de euros |
|
52.106,23 |
25.426,66 |
De la gestión presupuestaria de la Sanidad y de los Servicios Sociales
Artículo 19. Competencias específicas en materia de modificaciones presupuestarias del Instituto Nacional de Gestión Sanitaria y del Instituto de Mayores y Servicios Sociales.
Corresponde al Ministro de Hacienda y Administraciones Públicas autorizar respecto de los presupuestos del Instituto Nacional de Gestión Sanitaria y del Instituto de Mayores y Servicios Sociales las siguientes modificaciones presupuestarias:
1. Las transferencias de crédito que afecten a gastos de personal o a los demás créditos presupuestarios que enumera el apartado dos del artículo 44 de la Ley General Presupuestaria.
2. Las incorporaciones de remanentes reguladas en el artículo 58 de la Ley General Presupuestaria.
Artículo 20. Aplicación de remanentes de tesorería en el Presupuesto del Instituto de Mayores y Servicios Sociales.
Los remanentes de tesorería, a favor del Instituto de Mayores y Servicios Sociales, existentes en la Tesorería General de la Seguridad Social a 31 de diciembre de cada año se podrán destinar a financiar el Presupuesto de Gasto del Instituto de Mayores y Servicios Sociales. Así mismo, podrán ser utilizados para financiar posibles modificaciones en el ejercicio siguiente al que se produzcan.
Otras normas de gestión presupuestaria
Artículo 21. Agencia Estatal de Administración Tributaria.
Uno. El porcentaje de participación en la recaudación bruta obtenida en el 2012 derivada de los actos de liquidación y gestión recaudatoria o de otros actos administrativos acordados o dictados por la Agencia Estatal de Administración Tributaria será del 5 por 100.
Dos. A los efectos de lo dispuesto en el párrafo cuarto del punto cinco.b) del artículo 103 de la Ley 31/1990, de 27 de diciembre, la variación de recursos de la Agencia Estatal de Administración Tributaria derivada de la indicada participación, se instrumentará a través de una generación de crédito que será autorizada por el Ministro de Hacienda y Administraciones Públicas, cuya cuantía será la resultante de aplicar el porcentaje señalado en el punto anterior.
Tres. La recaudación derivada de los actos de liquidación y gestión recaudatoria o de otros actos administrativos acordados o dictados por la Agencia Estatal de Administración Tributaria, aplicada al Presupuesto de Ingresos del Estado en el mes de diciembre de 2011 podrá generar crédito en el mismo concepto, o equivalente, del Presupuesto del Estado para 2012, en el porcentaje establecido en el apartado uno de este artículo, según el procedimiento previsto en la Orden de 4 de marzo de 1993, que desarrolla el artículo 97 de la Ley 39/1992, de Presupuestos Generales del Estado para 1993.
De los gastos del personal al servicio del sector público
Artículo 22. Bases y coordinación de la planificación general de la actividad económica en materia de gastos de personal al servicio del sector público.
Uno. A efectos de lo establecido en el presente artículo, constituyen el sector público:
a) La Administración General del Estado, sus Organismos autónomos y Agencias estatales y las Universidades de su competencia.
b) Las Administraciones de las Comunidades Autónomas, los Organismos de ellas dependientes y las Universidades de su competencia.
c) Las Corporaciones locales y Organismos de ellas dependientes.
d) Las Entidades gestoras y Servicios comunes de la Seguridad Social.
e) Los órganos constitucionales del Estado, sin perjuicio de lo establecido en el artículo 72.1 de la Constitución.
f) Las sociedades mercantiles públicas.
g) Las entidades públicas empresariales y el resto de los organismos públicos y entes del sector público estatal, autonómico y local.
Dos. En el año 2012, las retribuciones del personal al servicio del sector público no podrán experimentar ningún incremento respecto a las vigentes a 31 de diciembre de 2011, en términos de homogeneidad para los dos períodos de la comparación, tanto por lo que respecta a efectivos de personal como a la antigüedad del mismo.
Tres. Durante el ejercicio 2012, las Administraciones, entidades y sociedades a que se refiere el apartado Uno de este artículo no podrán realizar aportaciones a planes de pensiones de empleo o contratos de seguro colectivos que incluyan la cobertura de la contingencia de jubilación.
Cuatro. La masa salarial del personal laboral, que no podrá incrementarse en 2012, está integrada por el conjunto de las retribuciones salariales y extrasalariales y los gastos de acción social devengados por dicho personal en 2011, en términos de homogeneidad para los dos períodos objeto de comparación.
Se exceptúan, en todo caso:
a) Las prestaciones e indemnizaciones de la Seguridad Social.
b) Las cotizaciones al sistema de la Seguridad Social a cargo del empleador.
c) Las indemnizaciones correspondientes a traslados, suspensiones o despidos.
d) Las indemnizaciones o suplidos por gastos que hubiera realizado el trabajador.
Cinco. 1. Los funcionarios a los que resulta de aplicación el artículo 76 del Estatuto Básico del Empleado Público e incluidos en el ámbito de aplicación de la Ley 30/1984, de 2 de agosto, en los términos de la disposición final cuarta del citado Estatuto Básico o de las Leyes de Función Pública dictadas en desarrollo de aquél, percibirán, en concepto de sueldo y trienios, en las nóminas ordinarias de enero a diciembre de 2012, las mismas cuantías que en 2011, referidas a doce mensualidades y que se recogen a continuación:
|
Grupo/Subgrupo Ley 7/2007 |
Sueldo – Euros |
Trienios – Euros |
|
A1 |
13.308,60 |
511,80 |
|
A2 |
11.507,76 |
417,24 |
|
B |
10.059,24 |
366,24 |
|
C1 |
8.640,24 |
315,72 |
|
C2 |
7.191,00 |
214,80 |
|
E (Ley 30/1984) y Agrupaciones Profesionales (Ley 7/2007) |
6.581,64 |
161,64 |
2. Los funcionarios a que se refiere el punto anterior percibirán, en cada una de las pagas extraordinarias de los meses de junio y diciembre en el año 2012, en concepto de sueldo y trienios, los mismos importes que en 2011 y que se recogen a continuación:
|
Grupo/Subgrupo Ley 7/2007 |
Sueldo – Euros |
Trienios – Euros |
|
A1 |
684,36 |
26,31 |
|
A2 |
699,38 |
25,35 |
|
B |
724,50 |
26,38 |
|
C1 |
622,30 |
22,73 |
|
C2 |
593,79 |
17,73 |
|
E (Ley 30/1984) y Agrupaciones Profesionales (Ley 7/2007) |
548,47 |
13,47 |
Seis. A efectos de lo dispuesto en el apartado anterior, las retribuciones a percibir por los funcionarios públicos que hasta la Ley de Presupuestos Generales del Estado para el año 2007 han venido referenciadas a los grupos de titulación previstos en el artículo 25 de la Ley 30/1984, de 2 de agosto, de Medidas para la Reforma de la Función Pública, están referenciadas a los grupos y subgrupos de clasificación profesional establecidos en el artículo 76 y disposición transitoria tercera de la Ley 7/2007, de 12 de abril, por la que se aprueba el Estatuto Básico del Empleado Público, sin experimentar otras variaciones que las derivadas de esta ley. Las equivalencias entre ambos sistemas de clasificación son las siguientes:
Grupo A Ley 30/1984: Subgrupo A1 Ley 7/2007.
Grupo B Ley 30/1984: Subgrupo A2 Ley 7/2007.
Grupo C Ley 30/1984: Subgrupo C1 Ley 7/2007.
Grupo D Ley 30/1984: Subgrupo C2 Ley 7/2007.
Grupo E Ley 30/1984: Agrupaciones profesionales Ley 7/2007.
Siete. Lo dispuesto en los apartados anteriores debe entenderse sin perjuicio de las adecuaciones retributivas que, con carácter singular y excepcional, resulten imprescindibles por el contenido de los puestos de trabajo, por la variación del número de efectivos asignados a cada programa o por el grado de consecución de los objetivos fijados al mismo.
Ocho. Los acuerdos, convenios o pactos que impliquen crecimientos retributivos deberán experimentar la oportuna adecuación, deviniendo inaplicables las cláusulas que establezcan cualquier tipo de incremento.
Nueve. Las referencias relativas a retribuciones contenidas en esta Ley se entienden siempre hechas a retribuciones íntegras.
Diez. Lo dispuesto en los apartados dos, tres, cuatro, cinco, seis, siete, ocho y nueve del presente artículo será de aplicación, asimismo, al personal de las fundaciones del sector público y de los consorcios participados mayoritariamente por las Administraciones y Organismos que integran el sector público, así como al Banco de España.
Once. Este artículo tiene carácter básico y se dicta al amparo de los artículos 149.1.13.ª y 156.1 de la Constitución. Además, el apartado tres se dicta en aplicación de lo dispuesto en el artículo 29 de la Ley 7/2007, de 12 de abril, del Estatuto Básico del Empleado Público.
Artículo 23. Oferta de empleo público u otro instrumento similar de gestión de la provisión de necesidades de personal.
Uno. 1. A lo largo del ejercicio 2012 no se procederá en el sector público delimitado en el artículo anterior, a excepción de las sociedades mercantiles públicas que se regirán por lo dispuesto en la disposición adicional vigésima tercera de esta Ley, a la incorporación de nuevo personal, salvo la que pueda derivarse de la ejecución de procesos selectivos correspondientes a Ofertas de Empleo Público de ejercicios anteriores o de plazas de militares de Tropa y Marinería necesarias para alcanzar los efectivos fijados en la Disposición adicional vigésima segunda. Esta limitación alcanza a las plazas incursas en los procesos de consolidación de empleo previstos en la disposición transitoria cuarta del Estatuto Básico del Empleado Público.
2. Respetando, en todo caso, las disponibilidades presupuestarias del capítulo I de los correspondientes presupuestos de gastos, la limitación contenida en el apartado anterior no será de aplicación a los siguientes sectores y administraciones en los que la tasa de reposición se fija en el 10 por ciento:
A) A las Administraciones Públicas con competencias educativas para el desarrollo de la Ley Orgánica 2/2006, de 3 de mayo, de Educación, en relación con la determinación del número de plazas para el acceso a los cuerpos de funcionarios docentes.
B) A las Administraciones Públicas con competencias sanitarias respecto de las plazas de hospitales y centros de salud del Sistema Nacional de Salud.
C) A las Fuerzas y Cuerpos de la Seguridad del Estado, a aquellas Comunidades Autónomas que cuenten con Cuerpos de Policía Autónoma propios en su territorio, y en el ámbito de la Administración Local a las correspondientes al personal de la Policía Local, en relación con la cobertura de las correspondientes plazas.
D) A las Fuerzas Armadas en relación con las plazas de militares de carrera y militares de complemento de acuerdo con lo previsto en la Ley 39/2007, de 19 de noviembre, de carrera militar.
E) A las Administraciones Públicas respecto de los Cuerpos responsables del control y lucha contra el fraude fiscal y laboral.
F) A las Administraciones Públicas respecto de la cobertura de plazas correspondientes al personal de los servicios de prevención y extinción de incendios.
G) A las Administraciones Públicas en relación con las plazas de personal investigador doctor de los Cuerpos y Escalas de los organismos públicos de investigación definidos en la Ley 14/2011 de 1 de junio, de la Ciencia, la Tecnología y la Innovación.
Esta excepción será también de aplicación a las plazas de los cuerpos de personal investigador de las Universidades, siempre que por parte de las administraciones públicas de las que dependan se autoricen las correspondientes convocatorias, previa acreditación de que la oferta de empleo público de las citadas plazas no afecta al cumplimiento de los objetivos de estabilidad presupuestaria establecidos para la correspondiente Universidad, ni de los demás límites fijados en la Ley Orgánica 2/2012, de 27 de abril, de Estabilidad Presupuestaria y Sostenibilidad Financiera.
Dos. Durante el año 2012 no se procederá a la contratación de personal temporal, ni al nombramiento de personal estatutario temporal o de funcionarios interinos salvo en casos excepcionales y para cubrir necesidades urgentes e inaplazables que se restringirán a los sectores, funciones y categorías profesionales que se consideren prioritarios o que afecten al funcionamiento de los servicios públicos esenciales.
Tres. La Oferta de Empleo Público de los sectores señalados en el apartado Uno.2 de este artículo que corresponda a la Administración General del Estado, sus organismos públicos y demás entes públicos estatales se aprobará por el Gobierno, a iniciativa de los Departamentos u Organismos competentes y a propuesta del Ministerio de Hacienda y Administraciones Públicas. En el caso de las Fuerzas Armadas la aprobación será previo informe del Ministerio de Hacienda y Administraciones Públicas y a propuesta del Ministro de Defensa. En todos los casos será necesaria la previa valoración e informe sobre su repercusión en los costes de personal.
Durante 2012 no se autorizarán convocatorias de puestos o plazas vacantes de personal laboral de las entidades públicas empresariales y entes del sector público estatal salvo en casos excepcionales y para cubrir necesidades urgentes e inaplazables, que requerirán la previa y expresa autorización del Ministerio de Hacienda y Administraciones Públicas a través de las Secretarías de Estado de Presupuestos y Gastos y de Administraciones Públicas.
Cuatro. La contratación de personal laboral temporal y el nombramiento de funcionarios interinos y de personal estatutario temporal, en las condiciones establecidas en el apartado Dos de este artículo requerirá la previa autorización del Ministerio de Hacienda y Administraciones Públicas.
Asimismo, la celebración de contratos de puesta a disposición con empresas de trabajo temporal sólo podrá formalizarse en las condiciones del apartado Dos de este artículo y requerirá la previa autorización del Ministerio de Hacienda y Administraciones Públicas.
La contratación de personal fijo o temporal en el extranjero con arreglo a la legislación local o, en su caso, legislación española, requerirá la previa autorización del Ministerio de Hacienda y Administraciones Públicas.
Cinco. Durante el año 2012 se amortizará en Departamentos, Organismos autónomos, Agencias estatales, entidades públicas empresariales y resto de los organismos públicos y entes del sector público estatal, un número de plazas equivalente, al menos, al de las jubilaciones que se produzcan, salvo en los sectores, funciones y categorías profesionales que se consideren prioritarios o que afecten al funcionamiento de los servicios públicos esenciales. En el caso de personal funcionario las plazas amortizadas serán del mismo Grupo y Subgrupo profesional en el que se produzca la jubilación, conforme a la clasificación prevista en el artículo 76 y disposición transitoria tercera de la Ley 7/2007, de 12 de abril, del Estatuto Básico del Empleado Público y, en el caso del personal laboral, del mismo nivel retributivo y área funcional o categoría equivalente. Se habilita al Ministerio de Hacienda y Administraciones Públicas a establecer los términos y el alcance de esta amortización.
Seis. Los apartados uno y dos de este artículo tienen carácter básico y se dictan al amparo de los artículos 149.1.13.ª y 156.1 de la Constitución.
Artículo 24. Retribuciones de los Altos Cargos del Gobierno de la Nación, de sus órganos consultivos, de la Administración General del Estado y otro personal directivo.
Uno. En el año 2012 las retribuciones de los Altos Cargos del Gobierno de la Nación y sus órganos consultivos no experimentarán incremento respecto de las vigentes a 31 de diciembre de 2011 quedando, por lo tanto, establecidas en las siguientes cuantías, referidas a doce mensualidades, sin derecho a pagas extraordinarias, y sin perjuicio de la retribución por antigüedad que pudiera corresponderles de acuerdo con la normativa vigente:
|
|
Euros |
|
Presidente del Gobierno |
78.185,04 |
|
Vicepresidente del Gobierno |
73.486,32 |
|
Ministro del Gobierno |
68.981,88 |
|
Presidente del Consejo de Estado |
77.808,96 |
|
Presidente del Consejo Económico y Social |
85.004,28 |
Dos. En el año 2012 las retribuciones de los Secretarios de Estado, Subsecretarios, Directores Generales y asimilados no experimentarán incremento respecto de las vigentes a 31 de diciembre de 2011, quedando, por lo tanto, establecidas en las siguientes cuantías de sueldo y complemento de destino, referidas a doce mensualidades, y complemento específico anual que se devengará de acuerdo con lo establecido en el artículo 26.Dos de la Ley 51/2007, de 26 de diciembre, de Presupuestos Generales del Estado para 2008.
|
|
Secretario de Estado y asimilados – Euros |
Subsecretario y asimilados – Euros |
Director General y asimilados – Euros |
|
Sueldo |
12.990,72 |
13.054,68 |
13.117,44 |
|
Complemento de destino |
21.115,92 |
17.080,44 |
13.814,76 |
|
Complemento específico |
32.948,67 |
29.316,27 |
23.900,13 |
Las pagas extraordinarias de los meses de junio y de diciembre incluirán, cada una de ellas, además de la cuantía del complemento de destino mensual que se perciba de acuerdo con lo dispuesto en el párrafo y cuadro anterior, el importe en concepto de sueldo que se recoge en el cuadro siguiente:
|
|
Secretario de Estado y asimilados – Euros |
Subsecretario y asimilados – Euros |
Director General y asimilados – Euros |
|
Sueldo |
655,84 |
703,38 |
751,45 |
Dichos Altos Cargos percibirán el complemento de productividad que, en su caso, y de acuerdo con lo previsto en el artículo 26.Uno.E de la presente Ley, les asigne el titular del Departamento, dentro de los créditos previstos para tal fin. La cuantía asignada a los Altos Cargos experimentará una reducción del 10 por ciento, en términos homogéneos de número y tipo de cargos, respecto a la destinada a este mismo fin en el ejercicio 2011, sin perjuicio de que las cantidades individuales que se abonen puedan ser diferentes de acuerdo con la normativa reguladora de este complemento.
Tres. En 2012 no experimentarán ningún incremento respecto a las vigentes a 31 de diciembre de 2011 las retribuciones de los siguientes cargos: los Presidentes de las Agencias estatales; los Presidentes y Vicepresidentes de las entidades públicas empresariales y demás entes públicos o, en su caso, los Directores Generales y Directores de los citados organismos, cuando les corresponda el ejercicio de las funciones ejecutivas de máximo nivel. Corresponde al Ministro de Hacienda y Administraciones Públicas la fijación de dichas retribuciones, sin que puedan superarse los límites máximos previstos en el Real Decreto 451/2012, de 5 de marzo, por el que se regula el régimen retributivo de los máximos responsables y directivos en el sector público empresarial y otras entidades y en las órdenes dictadas en aplicación del mismo.
Las retribuciones de los máximos responsables de las fundaciones del sector público estatal y de los consorcios participados mayoritariamente por la Administración General del Estado y sus Organismos se fijarán de acuerdo con lo previsto en el Real Decreto 451/2012, de 5 de marzo, y en las órdenes dictadas en aplicación del mismo, sin que puedan experimentar ningún incremento respecto a las vigentes a 31 de diciembre de 2011.
Cuatro. Sin perjuicio de lo dispuesto en los apartados Dos y Tres de este artículo se percibirá, en catorce mensualidades, la retribución por antigüedad que pudiera corresponder de acuerdo con la normativa vigente.
Cinco. 1. En el año 2012 las retribuciones de los Consejeros Permanentes y del Secretario General del Consejo de Estado no experimentarán incremento respecto de las vigentes a 31 de diciembre de 2011, quedando establecidas en las siguientes cuantías de sueldo y complemento de destino referidas a doce mensualidades y de complemento específico anual que se devengará de acuerdo con lo establecido en el artículo 26.Cuatro.1 de la Ley 51/2007, de 26 de diciembre:
|
|
Euros |
|
Sueldo (a percibir en 12 mensualidades) |
13.054,68 |
|
Complemento de destino (a percibir en 12 mensualidades) |
22.817,28 |
|
Complemento específico |
35.521,60 |
Las pagas extraordinarias de junio y de diciembre incluirán, cada una de ellas, además de la cuantía del complemento de destino mensual que se perciba de acuerdo con lo dispuesto en el cuadro anterior, la cuantía en concepto de sueldo que se recoge a continuación:
|
|
Euros |
|
Sueldo |
703,38 |
2. El Presidente del Consejo de Estado podrá asignar complemento de productividad a los Consejeros Permanentes y Secretario General del mismo, de acuerdo con lo previsto en el artículo 26.Uno.E) de la presente Ley, dentro de los créditos previstos para tal fin. La cuantía correspondiente experimentará una reducción del 10 por ciento, en términos homogéneos de número y tipo de cargos, respecto a la destinada a este mismo fin en el ejercicio 2011.
3. Además dichos Altos Cargos, con el límite previsto en el número 1 de este mismo apartado, percibirán, en su caso, las retribuciones fijadas en los Acuerdos aprobados por el propio órgano en materia de adecuación por el concepto de antigüedad, y si hubieran tenido la condición previa de funcionarios públicos, con independencia de su situación de actividad, jubilación o retiro como funcionarios, tendrán derecho a seguir perfeccionando los trienios reconocidos bajo dicha condición según la normativa en cada caso aplicable y a percibir, en catorce mensualidades, la diferencia resultante por este concepto cuando la cuantía derivada de dicha normativa fuera superior a la aprobada en los referidos Acuerdos.
Artículo 25. Retribuciones de los miembros del Consejo General del Poder Judicial, del Tribunal Constitucional y del Tribunal de Cuentas.
Uno. En el año 2012 continúan vigentes las retribuciones a 31 de diciembre de 2011 de los miembros del Consejo General del Poder Judicial, del Tribunal Constitucional y del Tribunal de Cuentas fijadas de acuerdo con lo establecido en la disposición adicional primera del Real Decreto-ley 8/2010, de 20 mayo. A tales efectos en el siguiente cuadro se reflejan, en términos anuales, las citadas cuantías:
1. Consejo General del Poder Judicial.
1.1 Presidente del Tribunal Supremo y del Consejo General del Poder Judicial:
|
Sueldo (a percibir en 14 mensualidades) |
26.448,38 € |
|
Otras remuneraciones (a percibir en 12 mensualidades) |
103.704,24 € |
|
Total |
130.152,62 € |
1.2 Vocal del Consejo General del Poder Judicial:
|
Sueldo (a percibir en 14 mensualidades) |
28.004,20 € |
|
Otras remuneraciones (a percibir en 12 mensualidades) |
84.245,40 € |
|
Total |
112.249,60 € |
1.3 Secretario General del Consejo General del Poder Judicial:
|
Sueldo (a percibir en 14 mensualidades) |
26.825,40 € |
|
Otras remuneraciones (a percibir en 12 mensualidades) |
82.836,60 € |
|
Total |
109.662,00 € |
2. Tribunal Constitucional.
2.1 Presidente del Tribunal Constitucional:
|
Sueldo (a percibir en 14 mensualidades) |
41.428,10 € |
|
Otras remuneraciones (a percibir en 12 mensualidades) |
87.843,36 € |
|
Total |
129.271,46 € |
2.2 Vicepresidente del Tribunal Constitucional:
|
Sueldo (a percibir en 14 mensualidades) |
41.428,10 € |
|
Otras remuneraciones (a percibir en 12 mensualidades) |
80.437,68 € |
|
Total |
121.865,78 € |
2.3 Presidente de Sección del Tribunal Constitucional:
|
Sueldo (a percibir en 14 mensualidades) |
41.428,10 € |
|
Otras remuneraciones (a percibir en 12 mensualidades) |
74.764,80 € |
|
Total |
116.192,90 € |
2.4 Magistrado del Tribunal Constitucional:
|
Sueldo (a percibir en 14 mensualidades) |
41.428,10 € |
|
Otras remuneraciones (a percibir en 12 mensualidades) |
69.091,92 € |
|
Total |
110.520,02 € |
2.5 Secretario General del Tribunal Constitucional:
|
Sueldo (a percibir en 14 mensualidades) |
34.620,04 € |
|
Otras remuneraciones (a percibir en 12 mensualidades) |
62.023,56 € |
|
Total |
96.643,60 € |
3. Tribunal de Cuentas.
3.1 Presidente del Tribunal de Cuentas:
|
Remuneraciones anuales (a percibir en 14 mensualidades) |
112.578,34 € |
3.2 Presidente de Sección del Tribunal de Cuentas:
|
Remuneraciones anuales (a percibir en 14 mensualidades) |
112.578,34 € |
3.3 Consejero de Cuentas del Tribunal de Cuentas:
|
Remuneraciones anuales (a percibir en 14 mensualidades) |
112.578,34 € |
3.4 Secretario General del Tribunal de Cuentas:
|
Remuneraciones anuales (a percibir en 14 mensualidades) |
96.921,72 € |
Dos. Además de las cantidades derivadas de lo dispuesto en el apartado anterior dichos cargos percibirán, en su caso, con el límite previsto en el apartado anterior, las retribuciones fijadas en los Acuerdos aprobados por el propio Órgano en materia de adecuación por el concepto de antigüedad, y si hubieran tenido la condición previa de funcionarios públicos, con independencia de su situación de actividad, jubilación o retiro como funcionarios, tendrán derecho a seguir perfeccionando los trienios reconocidos bajo dicha condición según la normativa en cada caso aplicable y a percibir, en catorce mensualidades, la diferencia resultante por este concepto cuando la cuantía derivada de dicha normativa fuera superior a la aprobada en los referidos Acuerdos.
Artículo 26. Retribuciones de los funcionarios del Estado incluidos en el ámbito de aplicación de la Ley 30/1984, de 2 de agosto, de Medidas para la Reforma de la Función Pública en los términos de la Disposición Final Cuarta de la Ley 7/2007, de 12 de abril, del Estatuto Básico del Empleado Público.
Uno. En el año 2012 las retribuciones de los funcionarios serán las siguientes:
A) El sueldo y los trienios que correspondan al Grupo o Subgrupo en que se halle clasificado el Cuerpo o Escala a que pertenezca el funcionario, en las cuantías reflejadas en el artículo 22.Cinco.1 de esta Ley.
B) Las pagas extraordinarias, que serán dos al año, una en el mes de junio y otra en el mes de diciembre, y que se devengarán de acuerdo con lo previsto en el artículo 33 de la Ley 33/1987, de 23 de diciembre, de Presupuestos Generales del Estado para 1988. Cada una de dichas pagas incluirá las cuantías de sueldo y trienios fijadas en el artículo 22.Cinco.2 de esta Ley y del complemento de destino mensual que se perciba.
Cuando los funcionarios hubieran prestado una jornada de trabajo reducida durante los seis meses inmediatos anteriores a los meses de junio o diciembre, el importe de la paga extraordinaria experimentará la correspondiente reducción proporcional.
C) El complemento de destino correspondiente al nivel del puesto de trabajo que se desempeñe, en las siguientes cuantías referidas a doce mensualidades:
|
Nivel |
Importe euros |
|
30 |
11.625,00 |
|
29 |
10.427,16 |
|
28 |
9.988,80 |
|
27 |
9.550,20 |
|
26 |
8.378,40 |
|
25 |
7.433,64 |
|
24 |
6.995,04 |
|
23 |
6.556,92 |
|
22 |
6.118,08 |
|
21 |
5.680,20 |
|
20 |
5.276,40 |
|
19 |
5.007,00 |
|
18 |
4.737,48 |
|
17 |
4.467,96 |
|
16 |
4.199,16 |
|
15 |
3.929,28 |
|
14 |
3.660,12 |
|
13 |
3.390,36 |
|
12 |
3.120,84 |
|
11 |
2.851,44 |
|
10 |
2.582,28 |
|
9 |
2.447,64 |
|
8 |
2.312,52 |
|
7 |
2.178,00 |
|
6 |
2.043,24 |
|
5 |
1.908,48 |
|
4 |
1.706,52 |
|
3 |
1.505,04 |
|
2 |
1.302,84 |
|
1 |
1.101,00 |
En el ámbito de la docencia universitaria, la cuantía del complemento de destino fijada en la escala anterior podrá ser modificada, en los casos en que así proceda de acuerdo con la normativa vigente, sin que ello implique variación del nivel de complemento de destino asignado al puesto de trabajo.
D) El complemento específico que, en su caso, esté asignado al puesto que se desempeñe, cuya cuantía anual, no experimentará incremento respecto de la vigente a 31 de diciembre de 2011 y sin perjuicio de lo dispuesto en el artículo 22.Siete de la presente Ley.
El complemento específico anual se percibirá en catorce pagas iguales de las que doce serán de percibo mensual y dos adicionales, del mismo importe que una mensual, en los meses de junio y diciembre, respectivamente.
E) El complemento de productividad, que retribuirá el especial rendimiento, la actividad y dedicación extraordinarias y el interés o iniciativa con que se desempeñen los puestos de trabajo.
Cada Departamento ministerial determinará, dentro del crédito total disponible, que no experimentará ningún incremento, en términos anuales, respecto al establecido a 31 de diciembre de 2011, las cuantías parciales asignadas a sus distintos ámbitos orgánicos, territoriales, funcionales o de tipo de puesto. Asimismo, determinará los criterios de distribución y de fijación de las cuantías individuales del complemento de productividad, de acuerdo con las siguientes normas:
1.ª La valoración de la productividad deberá realizarse en función de circunstancias objetivas relacionadas con el tipo de puesto de trabajo y el desempeño del mismo y, en su caso, con el grado de participación en la consecución de los resultados u objetivos asignados al correspondiente programa.
2.ª En ningún caso las cuantías asignadas por complemento de productividad durante un período de tiempo originarán derechos individuales respecto de las valoraciones o apreciaciones correspondientes a períodos sucesivos.
F) Las gratificaciones por servicios extraordinarios, que se concederán por los Departamentos ministeriales u Organismos públicos dentro de los créditos asignados a tal fin que no experimentarán aumento respecto a los asignados a 31 de diciembre de 2011.
Estas gratificaciones tendrán carácter excepcional y solamente podrán ser reconocidas por servicios extraordinarios prestados fuera de la jornada normal de trabajo sin que, en ningún caso, puedan ser fijas en su cuantía ni periódicas en su devengo, ni originar derechos individuales en períodos sucesivos.
G) No obstante lo dispuesto en los apartados anteriores, se mantienen a título personal las retribuciones, en los importes vigentes a 31 de diciembre de 2011, del personal del grupo E/ agrupaciones profesionales de la Ley 7/2007, de acuerdo con lo dispuesto en el artículo 24.Uno.B).b) de la Ley 26/2009.
Dos. El Ministerio de Hacienda y Administraciones Públicas podrá modificar la cuantía de los créditos globales destinados a atender el complemento de productividad, las gratificaciones por servicios extraordinarios y otros incentivos al rendimiento, para adecuarla al número de efectivos asignados a cada programa y al grado de consecución de los objetivos fijados al mismo. Los Departamentos ministeriales, a su vez, darán cuenta de los criterios de asignación y las cuantías individuales de dichos incentivos al Ministerio de Hacienda y Administraciones Públicas, especificando los criterios de concesión aplicados.
Tres. Los funcionarios interinos incluidos en el ámbito de aplicación de la Ley 7/2007, de 12 de abril, del Estatuto Básico del Empleado Público percibirán las retribuciones básicas, incluidos trienios, correspondientes al grupo o subgrupo en el que esté clasificado el Cuerpo o escala, en el que hayan sido nombrados como interinos y las retribuciones complementarias que correspondan al puesto de trabajo que desempeñen, excluidas las que estén vinculadas a la condición de funcionario de carrera, o bien las aprobadas por el Ministerio de Hacienda y Administraciones Públicas en el caso de los funcionarios interinos que no ocupan puesto, siendo de aplicación a este colectivo lo dispuesto en el párrafo B) del apartado Uno de este artículo.
Cuatro. El personal eventual percibirá las retribuciones por sueldo y pagas extraordinarias correspondientes al grupo o subgrupo de clasificación al que el Ministerio de Hacienda y Administraciones Públicas asimile sus funciones y las retribuciones complementarias que correspondan al puesto de trabajo, reservado a personal eventual, que desempeñe, siendo de aplicación a este colectivo lo dispuesto en el párrafo B) del apartado Uno de este artículo.
Los funcionarios de carrera que, en situación de activo o de servicios especiales, ocupen puestos de trabajo reservados a personal eventual percibirán las retribuciones básicas correspondientes a su grupo o subgrupo de clasificación, incluidos trienios, en su caso, y las retribuciones complementarias que correspondan al puesto de trabajo que desempeñen.
Cinco. El complemento de productividad podrá asignarse, en su caso, a los funcionarios interinos, al personal estatutario temporal y al personal eventual, así como a los funcionarios en prácticas, cuando las mismas se realicen desempeñando un puesto de trabajo, siempre que esté autorizada su aplicación a los funcionarios de carrera que desempeñen análogos puestos de trabajo, salvo que dicho complemento esté vinculado a la condición de funcionario de carrera.
Seis. Cuando el nombramiento de funcionarios en prácticas recaiga en funcionarios de carrera de otro Cuerpo o Escala de grupos y/o subgrupos de titulación inferior a aquél en que se aspira a ingresar, durante el tiempo correspondiente al período de prácticas o el curso selectivo, éstos seguirán percibiendo los trienios en cada momento perfeccionados computándose dicho tiempo, a efectos de consolidación de trienios y de derechos pasivos, como servido en el nuevo Cuerpo o Escala en el caso de que, de manera efectiva, se adquiera la condición de funcionario de carrera en estos últimos.
Siete. Lo previsto en la presente Ley se aplicará, asimismo, a las retribuciones fijadas en euros que corresponderían en territorio nacional a los funcionarios destinados en el extranjero, sin perjuicio de la sucesiva aplicación de los módulos que procedan en virtud de la normativa vigente.
Artículo 27. Personal laboral del sector público estatal.
Uno. A los efectos de la presente Ley, la masa salarial del personal laboral del sector público estatal será la definida en su artículo 22.Cuatro, con el límite de las cuantías informadas favorablemente por el Ministerio de Hacienda y Administraciones Públicas para cada ejercicio presupuestario.
Dos. Con efectos de 1 de enero de 2012 la masa salarial del personal laboral del sector público estatal, de acuerdo con lo establecido en el artículo 22.Dos de la presente Ley, no podrá experimentar ningún crecimiento, sin perjuicio de lo que pudiera derivarse de la consecución de los objetivos asignados a cada Departamento ministerial, Organismo público, resto de entes públicos, sociedades mercantiles estatales, fundaciones del sector público estatal y consorcios participados mayoritariamente por las Administraciones y Organismos que integran el sector público estatal, mediante el incremento de la productividad o modificación de los sistemas de organización del trabajo o clasificación profesional, previo el informe señalado en el apartado anterior.
Igualmente, no experimentarán incremento alguno las retribuciones del personal laboral de alta dirección, las del no acogido a convenio colectivo que no tenga la consideración de alto cargo y las del resto del personal directivo.
Tres. Durante 2012 el Ministerio de Hacienda y Administraciones Públicas autorizará la masa salarial de los Departamentos ministeriales, Organismos, Agencias estatales, entidades públicas empresariales y demás entes públicos y sociedades mercantiles estatales, así como la de las fundaciones del sector público estatal y la de los consorcios participados mayoritariamente por las Administraciones y Organismos que integran el sector público estatal.
La masa salarial autorizada se tendrá en cuenta para determinar, en términos de homogeneidad, los créditos correspondientes a las retribuciones del personal laboral afectado. La autorización de la masa salarial será requisito previo para el comienzo de las negociaciones de convenios o acuerdos colectivos que se celebren en el año 2012.
En el caso de las sociedades mercantiles a que se refiere el presente apartado, la masa salarial, una vez autorizada, será remitida a la Comisión de seguimiento de la negociación colectiva de las empresas públicas, presidida por quien acuerde la Comisión Delegada del Gobierno para Asuntos Económicos.
Las variaciones de la masa salarial bruta se calcularán en términos de homogeneidad para los dos períodos objeto de comparación, tanto en lo que respecta a efectivos de personal y antigüedad del mismo, como al régimen privativo de trabajo, jornada, horas extraordinarias efectuadas y otras condiciones laborales, computándose por separado las cantidades que correspondan a las variaciones en tales conceptos.
Lo previsto en los párrafos anteriores representa el límite máximo de la masa salarial, cuya distribución y aplicación individual se producirá a través de la negociación colectiva.
El Ministerio de Hacienda y Administraciones Públicas determinará, para las sociedades mercantiles estatales, para las fundaciones del sector público estatal y para los consorcios participados mayoritariamente por las Administraciones y Organismos que integran el sector público estatal, la forma y el alcance del procedimiento de autorización regulado en este apartado.
Cuatro. Cuando se trate de personal no sujeto a convenio colectivo, cuyas retribuciones vengan determinadas en todo o en parte mediante contrato individual, deberán comunicarse al Ministerio de Hacienda y Administraciones Públicas, a través de la Secretaría de Estado de Presupuestos y Gastos, las retribuciones satisfechas y devengadas durante 2011.
Cinco. Las indemnizaciones o suplidos del personal laboral, que se regirán por su normativa específica, no podrán experimentar ningún crecimiento respecto a 2011.
Artículo 28. Retribuciones del personal de las Fuerzas Armadas.
Uno. En el año 2012 las retribuciones y otras remuneraciones del personal de las Fuerzas Armadas cuyas retribuciones básicas se imputen al artículo 10 de la estructura económica del gasto de los Presupuestos Generales del Estado y de sus organismos públicos, no experimentarán incremento respecto a las vigentes a 31 de diciembre de 2011, sin perjuicio de la retribución por antigüedad que pudiera corresponderles. Asimismo, percibirán el complemento de dedicación especial o de productividad que, en su caso, se atribuya a los mismos por el titular del Departamento, dentro de los créditos previstos para tal fin. La cuantía correspondiente experimentará una reducción del 10 por ciento, en términos homogéneos de número y tipo de cargos, respecto a la destinada a este mismo fin en el ejercicio 2011.
Dos. En el año 2012 las retribuciones a percibir por los militares profesionales contemplados en la Ley 39/2007, de 19 de noviembre, de la carrera militar, no incluidos en el apartado anterior, serán las siguientes:
A) El sueldo y los trienios, excluidos éstos en los casos en que la normativa así lo prevea, que correspondan al grupo o subgrupo de equivalencia en que se halle clasificado el empleo correspondiente, en la cuantía establecida en el artículo 22.Cinco.1.
B) Las pagas extraordinarias, que serán dos al año, incorporarán, cada una de ellas, las cuantías de sueldo y trienios fijadas en el artículo 22.Cinco.2 de esta Ley, en función del grupo o subgrupo en el que esté clasificado el empleo correspondiente, y el complemento de empleo mensual que se perciba.
La valoración y devengo de los trienios, en su caso, y de las pagas extraordinarias se efectuará de acuerdo con la normativa específica aplicable a este personal y, supletoriamente, con la normativa de los funcionarios incluidos en el ámbito de aplicación de la Ley 30/1984, de 2 de agosto, de Medidas para la reforma de la Función Pública, en los términos de la Ley 7/2007, de 12 de abril, del Estatuto Básico del Empleado Público.
C) Las retribuciones complementarias de carácter general, el componente singular del complemento específico y el complemento por incorporación, en su caso, no experimentarán ningún incremento respecto de las vigentes a 31 de diciembre de 2011, sin perjuicio, en su caso, de lo dispuesto en el artículo 22. Siete de esta Ley.
D) El complemento de dedicación especial, incluido el concepto de atención continuada, y la gratificación por servicios extraordinarios, cuyas cuantías serán determinadas por el Ministro de Defensa dentro de los créditos que se asignen para cada una de estas finalidades; estos créditos no experimentarán incremento respecto a los establecidos a 31 de diciembre de 2011 en términos anuales.
El Ministerio de Hacienda y Administraciones Públicas podrá modificar la cuantía de los créditos destinados a atender la dedicación especial y la gratificación por servicios extraordinarios, para adecuarla al número de efectivos asignados a cada programa y al grado de consecución de los objetivos fijados al mismo.
En ningún caso, las cuantías asignadas por complemento de dedicación especial o por gratificación por servicios extraordinarios originarán derechos individuales respecto de valoraciones o apreciaciones correspondientes a períodos sucesivos.
E) El incentivo por años de servicio, cuyas cuantías y requisitos, para su percepción, serán fijadas por el Ministro de Defensa, previo informe favorable del Ministerio de Hacienda y Administraciones Públicas a través de la Secretaría de Estado de Presupuestos y Gastos.
Tres. Cuando el Ministerio de Defensa haya suscrito conciertos con las Universidades para la utilización de las Instituciones sanitarias del Departamento según las bases establecidas para el régimen de los mismos en el Real Decreto 1652/1991, de 11 de octubre, el personal militar médico y sanitario que ocupe puestos de trabajo, en dichos centros, con la condición de plazas vinculadas percibirá, en el año 2012, las retribuciones básicas que le corresponda y, en concepto de retribuciones complementarias, los complementos de destino, específico y de productividad en las cuantías establecidas en aplicación de la base decimotercera.ocho, 4, 5 y 6.a) y b) del citado Real Decreto.
Dicho personal podrá percibir, asimismo, la ayuda para vestuario, y el complemento de dedicación especial en concepto de atención continuada, según lo establecido en el apartado D) del número anterior, así como las pensiones por recompensas y las prestaciones familiares que pudieran corresponderles.
Cuatro. Los miembros de las Fuerzas Armadas que ocupen puestos de trabajo incluidos en las relaciones de puestos de trabajo del Ministerio o sus Organismos autónomos, percibirán en el año 2012 las retribuciones básicas correspondientes a su empleo militar y las complementarias asignadas al puesto que desempeñen, de acuerdo con las cuantías establecidas en la presente Ley para los funcionarios del Estado incluidos en el ámbito de aplicación de la Ley 30/1984, de 2 de agosto, en los términos de la disposición final cuarta de la Ley 7/2007, de 12 de abril, sin perjuicio de continuar percibiendo las pensiones y gratificaciones que sean consecuencia de recompensas militares así como la ayuda para vestuario en la misma cuantía y condiciones que el resto del personal de las Fuerzas Armadas.
Lo dispuesto en el presente artículo debe entenderse sin perjuicio de la regulación específica que para determinados conceptos y personal de las Fuerzas Armadas se establece en la normativa vigente.
Artículo 29. Retribuciones del personal del Cuerpo de la Guardia Civil.
Uno. En el año 2012 las retribuciones y otras remuneraciones del personal del Cuerpo de la Guardia Civil cuyas retribuciones básicas se imputen al artículo 10 de la estructura económica del gasto de los Presupuestos Generales del Estado no experimentarán incremento respecto a las vigentes a 31 de diciembre de 2011, sin perjuicio de la retribución por antigüedad que pudiera corresponderles. Asimismo, percibirán el complemento de productividad que, en su caso, se atribuya a los mismos por el titular del Departamento, dentro de los créditos previstos para este fin. La cuantía correspondiente experimentará una reducción del 10 por ciento, en términos homogéneos de número y tipo de cargos, respecto a la destinada a este mismo fin en el ejercicio 2011.
Dos. En el año 2012 las retribuciones a percibir por el personal del Cuerpo de la Guardia Civil no incluido en el apartado anterior serán las siguientes:
A) El sueldo y los trienios que correspondan al Grupo o Subgrupo de equivalencia en que se halle clasificado el empleo correspondiente, en la cuantía establecida en el artículo 22.Cinco.1 de esta Ley.
B) Las pagas extraordinarias, que serán dos al año, incorporarán, cada una de ellas, las cuantías de sueldo y trienios fijadas en el artículo 22. Cinco. 2 de esta Ley, en función del grupo o subgrupo que corresponda al empleo que se ostente y el complemento de destino mensual que se perciba.
La valoración y devengo de los trienios y de las pagas extraordinarias se efectuará de acuerdo con la normativa aplicable a este personal y, supletoriamente, con la normativa de los funcionarios públicos incluidos en el ámbito de aplicación de la Ley 30/1984, de 2 de agosto, de Medidas para la reforma de la Función Pública, en los términos de la Ley 7/2007, de 12 de abril, del Estatuto Básico del Empleado Público.
C) Las retribuciones complementarias de carácter fijo y periódico, que no experimentarán ningún incremento respecto de las vigentes a 31 de diciembre de 2011, sin perjuicio, en su caso, de lo previsto en el artículo 22. Siete de esta Ley.
D) El complemento de productividad y las gratificaciones por servicios extraordinarios se regirán por las normas establecidas para los funcionarios del Estado incluidos en el ámbito de aplicación del artículo 26 de esta Ley determinándose sus cuantías por el Ministerio del Interior dentro de los créditos que se asignen para cada una de estas finalidades. Dichos créditos no experimentarán incremento respecto del asignado a 31 de diciembre de 2011, en términos anuales.
Artículo 30. Retribuciones del personal del Cuerpo Nacional de Policía.
Uno. En el año 2012 las retribuciones y otras remuneraciones del personal del Cuerpo Nacional de Policía cuyas retribuciones básicas se imputen al artículo 10 de la estructura económica del gasto de los Presupuestos Generales del Estado y de sus organismos públicos no experimentarán incremento respecto a las vigentes a 31 de diciembre de 2011, sin perjuicio de la retribución por antigüedad que pudiera corresponderles. Asimismo, percibirán el complemento de productividad que, en su caso, se atribuya a los mismos por el titular del Departamento, dentro de los créditos previstos para tal fin. La cuantía correspondiente experimentará una reducción del 10 por ciento, en términos homogéneos de número y tipo de cargos, respecto a la destinada a este mismo fin en el ejercicio 2011.
Dos. En el año 2012 las retribuciones de los funcionarios del Cuerpo Nacional de Policía, no incluidos en el apartado anterior serán las siguientes:
A) El sueldo y los trienios que correspondan al Grupo o Subgrupo de equivalencia en que se halle clasificada, a efectos económicos, la categoría correspondiente, en la cuantía establecida en el artículo 22.Cinco.1 de esta Ley.
B) Las pagas extraordinarias, que serán dos al año, incorporarán, cada una de ellas, las cuantías de sueldo y trienios fijadas en el artículo 22.Cinco. 2 de esta Ley, en función del grupo o subgrupo que corresponda a la categoría que se ostente, y el complemento de destino mensual que se perciba.
La valoración y devengo de los trienios y de las pagas extraordinarias se efectuará de acuerdo con la normativa aplicable a este personal y, supletoriamente, con la normativa de los funcionarios incluidos en el ámbito de aplicación de la Ley 30/1984, de 2 de agosto, de Medidas para la reforma de la Función Pública, en los términos de la Ley 7/2007, de 12 de abril, del Estatuto Básico del Empleado Público.
C) Las retribuciones complementarias de carácter fijo y periódico, que no experimentarán ningún incremento respecto de las vigentes a 31 de diciembre de 2011, sin perjuicio de lo previsto en el artículo 22. Siete de esta Ley.
D) El complemento de productividad y las gratificaciones por servicios extraordinarios se regirán por las normas establecidas para los funcionarios del Estado incluidos en el artículo 26 de esta Ley determinándose sus cuantías por el Ministerio del Interior dentro de los créditos que se asignen para cada una de estas finalidades. Dichos créditos no experimentarán incremento respecto de los asignados a 31 de diciembre de 2011, en términos anuales.
Artículo 31. Retribuciones de los miembros de las Carreras Judicial y Fiscal, de los del Cuerpo de Secretarios Judiciales y del personal al servicio de la Administración de Justicia.
Uno. En el año 2012, de acuerdo con lo dispuesto en el artículo 22.Dos de esta Ley, las retribuciones de los miembros de las carreras judicial y fiscal, que no experimentarán ningún incremento respecto de las vigentes a 31 de diciembre de 2011, serán las siguientes:
1. El sueldo, a que se refieren los Anexos I y IV, respectivamente, de la Ley 15/2003, de 26 de mayo, reguladora del régimen retributivo de las carreras judicial y fiscal, queda establecido para el año 2012, en las siguientes cuantías, referidas a doce mensualidades:
|
|
Euros |
|
Carrera Judicial |
|
|
Presidente de la Audiencia Nacional (no magistrado del Tribunal Supremo) |
23.937,24 |
|
Presidente de Sala de la Audiencia Nacional (no magistrado del Tribunal Supremo) |
22.676,88 |
|
Presidente del Tribunal Superior Justicia |
23.108,76 |
|
Magistrado |
20.541,84 |
|
Juez |
17.973,60 |
|
Carrera Fiscal |
|
|
Fiscal Superior de la Comunidad Autónoma |
23.108,76 |
|
Fiscal |
20.541,84 |
|
Abogado Fiscal |
17.973,60 |
2. La retribución por antigüedad o trienios que, en su caso, corresponda.
3. Las pagas extraordinarias, que se devengarán de acuerdo con la normativa aplicable a los funcionarios incluidos en el ámbito de aplicación de la Ley 30/1984, de 2 de agosto, en los términos de la disposición final cuarta de la Ley 7/2007, de 12 de abril, del Estatuto Básico del Empleado Público, serán dos al año por un importe, cada una de ellas, de una mensualidad del sueldo, antigüedad o trienios, según el caso, y la cuantía que se señala en el Anexo X de la Ley 39/2010, de 22 de diciembre, de Presupuestos Generales del Estado para el año 2011.
4. Las retribuciones complementarias y las variables y especiales de los miembros de las carreras judicial y fiscal que no experimentarán ningún incremento respecto de las vigentes a 31 de diciembre de 2011.
El crédito total destinado a las retribuciones variables por objetivos de los miembros de las carreras judicial y fiscal señaladas en el Capítulo III del Título I y en el Título II de la Ley 15/2003, no podrá exceder del 5 por ciento de la cuantía global de las retribuciones fijas de los miembros de las carreras judicial y fiscal, respectivamente.
5. Lo establecido en este apartado se entiende sin perjuicio de lo previsto en el artículo 9.2 de la precitada Ley 15/2003.
Dos. Los Fiscales que, en desarrollo de la Ley 24/2007, de 9 de octubre, por la que se modifica la Ley 50/1981, de 30 de diciembre, reguladora del Estatuto Orgánico del Ministerio Fiscal, sean nombrados Fiscales Jefes de una Fiscalía de Área creada donde exista una sección de la Audiencia Provincial en sede distinta de la capital de provincia, percibirán el complemento de destino por el criterio de grupo de población correspondiente a los Fiscales destinados en la Sede de la Fiscalía Provincial y el complemento de destino en concepto de representación, el complemento específico y la cuantía a incluir en pagas extraordinarias que corresponden al Teniente Fiscal de la Fiscalía Provincial.
Los restantes Fiscales Jefes de una Fiscalía de Área percibirán el complemento específico correspondiente al Teniente Fiscal de la Fiscalía Provincial.
Los Fiscales Jefe y Tenientes Fiscales de la Fiscalía Provincial percibirán las retribuciones complementarias y la cuantía a incluir en pagas extraordinarias que hubieran correspondido a los Fiscales Jefe y Tenientes Fiscales de la Audiencia Provincial, respectivamente.
El Teniente Fiscal de la Secretaría Técnica de la Fiscalía General del Estado percibirá las retribuciones complementarias y la cuantía a incluir en pagas extraordinarias que corresponden al Teniente Fiscal Inspector de la Fiscalía General del Estado.
Los Fiscales adscritos a Fiscales de Sala de la Fiscalía General del Estado y los Fiscales de la Unidad de Apoyo de la Fiscalía General del Estado percibirán en concepto de complemento específico el correspondiente a los Fiscales de la Secretaría Técnica de la Fiscalía General del Estado.
Los Fiscales Decanos de secciones territoriales de Fiscalía Provincial percibirán, en concepto de complemento específico, el correspondiente a los Fiscales Coordinadores.
Los Fiscales Decanos de secciones especializadas percibirán las retribuciones complementarias y paga extraordinaria correspondientes a los Fiscales Decanos de secciones territoriales.
Los Fiscales de la categoría segunda, no coordinadores, de las Fiscalías de Comunidad Autónoma, incluidos los de las secciones territoriales de dichas fiscalías, percibirán el complemento de destino y la cuantía a incluir en la paga extraordinaria correspondientes a los Tenientes Fiscales de Fiscalía de Comunidad Autónoma, salvo en aquellas Comunidades Autónomas en que la Fiscalía no esté disgregada orgánicamente en Fiscalía de la Comunidad Autónoma y Fiscalía Provincial de la provincia donde tenga su sede.
Tres. En el año 2012, de acuerdo con lo dispuesto en el artículo 22.Dos de esta Ley, las retribuciones de los miembros del Cuerpo de Secretarios Judiciales y de los Cuerpos al servicio de la Administración de Justicia, que no experimentarán ningún incremento respecto de las vigentes a 31 de diciembre de 2011, serán las siguientes:
1. El sueldo, de acuerdo con el detalle que a continuación se refleja, y la retribución por antigüedad o trienios que, en su caso, les corresponda.
a) El sueldo de los miembros del Cuerpo de Secretarios Judiciales queda establecido para el año 2012 en las siguientes cuantías, referidas a doce mensualidades:
|
|
Euros |
|
Secretarios Judiciales de primera categoría |
17.973,60 |
|
Secretarios Judiciales de segunda categoría |
17.083,44 |
|
Secretarios Judiciales de tercera categoría |
15.872,16 |
b) El sueldo de los funcionarios de los Cuerpos al servicio de la Administración de Justicia queda establecido para el año 2012 en las siguientes cuantías, referidas a doce mensualidades:
|
|
Euros |
|
Médicos Forenses y Facultativos del Instituto Nacional de Toxicología y Ciencias Forenses |
15.406,20 |
|
Gestión Procesal y Administrativa . |
13.303,32 |
|
Tramitación Procesal y Administrativa |
10.934,16 |
|
Auxilio Judicial |
9.917,88 |
|
Técnicos Especialistas del Instituto Nacional de Toxicología y Ciencias Forenses |
13.303,32 |
|
Ayudantes Laboratorio del Instituto Nacional de Toxicología y Ciencias Forenses |
10.934,16 |
c) Los trienios perfeccionados con anterioridad a 1 de enero de 2004, en los Cuerpos al servicio de la Administración de Justicia declarados a extinguir por la Ley Orgánica 19/2003, de 23 de diciembre, por la que se modifica la Ley Orgánica 6/1985, de 1 de julio, del Poder Judicial, quedan establecidos para el año 2012 en las siguientes cuantías, referidas a doce mensualidades:
|
|
Euros |
|
Cuerpo de Oficiales |
532,56 |
|
Cuerpo de Auxiliares |
410,52 |
|
Cuerpo de Agentes Judiciales |
354,48 |
|
Cuerpo de Técnicos Especialistas |
532,56 |
|
Cuerpo de Auxiliares de Laboratorio |
410,52 |
|
Cuerpo de Agentes de Laboratorio a extinguir |
354,48 |
|
Cuerpo de Secretarios de Juzgados de Paz de municipios con mas de 7.000 habitantes a extinguir |
599,16 |
Los trienios perfeccionados con anterioridad a 1 de enero de 1995 por el personal encuadrado en los Cuerpos de Médicos Forenses y Técnicos Facultativos, quedan establecidos para el año 2012 en 642,12 euros anuales, referidos a doce mensualidades.
2. Las pagas extraordinarias, que se devengarán de acuerdo con la normativa aplicable a los funcionarios incluidos en el ámbito de aplicación de la Ley 30/1984, de 2 de agosto, en los términos de la disposición final cuarta de la Ley 7/2007, de 12 de abril, del Estatuto Básico del Empleado Público, serán dos al año por un importe, cada una de ellas, de una mensualidad del sueldo, antigüedad o trienios, según el caso, y la cuantía complementaria que se señala en el Anexo XI de la Ley 39/2010, de 22 de diciembre, de Presupuestos Generales del Estado para el año 2011.
3.a) El complemento general de puesto para los puestos adscritos a los funcionarios del Cuerpo de Secretarios Judiciales, cuando les resulte de aplicación el Real Decreto 2033/2009, de 30 de diciembre, queda establecido para el año 2012 en las siguientes cuantías, referidas a doce mensualidades:
|
|
Euros |
|
Puestos de tipo I |
16.107,48 |
|
Puestos de tipo II |
13.758,36 |
|
Puestos de tipo III |
13.136,16 |
|
Puestos de tipo IV |
13.036,92 |
|
Puestos de tipo V |
9.427,20 |
Las restantes retribuciones complementarias, variables y especiales de los funcionarios del párrafo anterior, no experimentarán ningún incremento respecto de las vigentes a 31 de diciembre de 2011, sin perjuicio, en su caso, de lo previsto en el artículo 22.Siete de esta Ley.
Los miembros del Cuerpo de Secretarios Judiciales que ocupen puestos distintos de los señalados en el primer párrafo de este número 3.a) percibirán las retribuciones complementarias, variables y especiales establecidas en el Real Decreto 1130/2003, de 5 de septiembre, que no experimentarán incremento respecto de las vigentes a 31 de diciembre de 2011.
3.b) El complemento general de puesto para los puestos adscritos a los funcionarios de los Cuerpos al servicio de la Administración de Justicia, a que se refiere el apartado Tres.1.b) de este mismo artículo, de conformidad con lo previsto en el Real Decreto 1033/2007, de 20 de julio, queda establecido para el año 2012 en las cuantías siguientes, referidas a doce mensualidades:
|
|
Tipo |
Subtipo |
Euros |
|
Gestión Procesal y Administrativa y Técnicos Especialistas del Instituto Nacional de Toxicología y Ciencias Forenses. |
I |
A |
3.982,92 |
|
I |
B |
4.757,76 |
|
|
II |
A |
3.667,20 |
|
|
II |
B |
4.442,04 |
|
|
III |
A |
3.509,40 |
|
|
III |
B |
4.284,24 |
|
|
IV |
C |
3.351,60 |
|
|
IV |
D |
3.509,76 |
|
|
Tramitación Procesal y Administrativa y Ayudantes de Laboratorio del Instituto Nacional de Toxicología y Ciencias Forenses. |
I |
A |
3.456,96 |
|
I |
B |
4.231,92 |
|
|
II |
A |
3.141,48 |
|
|
II |
B |
3.916,32 |
|
|
III |
A |
2.983,56 |
|
|
III |
B |
3.758,40 |
|
|
IV |
C |
2.825,88 |
|
|
Auxilio judicial. |
I |
A |
2.715,48 |
|
I |
B |
3.490,44 |
|
|
II |
A |
2.399,76 |
|
|
II |
B |
3.174,72 |
|
|
III |
A |
2.241,96 |
|
|
III |
B |
3.016,92 |
|
|
IV |
C |
2.084,16 |
|
|
Médicos Forenses y Facultativos del Instituto Nacional de Toxicología y Ciencias Forenses. |
I |
18.808,32 |
|
|
II |
18.565,68 |
||
|
III |
18.322,92 |
||
|
Escala a extinguir de Gestión Procesal y
Administrativa, procedentes del Cuerpo de Secretarios |
5.085,96 |
||
Las restantes retribuciones complementarias, variables y especiales de los funcionarios a que se refiere el párrafo anterior no experimentarán ningún incremento respecto de las vigentes a 31 de diciembre de 2011, sin perjuicio de lo dispuesto en el artículo 22. Siete de esta Ley.
4. En las retribuciones complementarias a que se hace referencia en los números 3.a) y 3.b) anteriores, se entenderán incluidas las cantidades que, en cada caso, se reconocen, en concepto de paga adicional complementaria en el apartado Segundo del Acuerdo del Consejo de Ministros de 8 de mayo de 2009 publicado por Orden 1230/2009, de 18 de mayo, del Ministerio de la Presidencia.
Cuatro. En el año 2012 las retribuciones básicas y complementarias correspondientes a los funcionarios a que se refiere el artículo 145.1 de la Ley Orgánica 6/1985, de 1 de julio, del Poder Judicial, según redacción dada por la Ley Orgánica 19/2003, de 23 de diciembre, no experimentarán ningún incremento respecto a las vigentes a 31 de diciembre de 2011, sin perjuicio de lo previsto en el artículo 22. Siete de esta Ley.
Cinco. En el año 2012 las retribuciones de los miembros del Poder Judicial y del Ministerio Fiscal a que se refieren los números siguientes, no experimentarán variación respecto de las vigentes a 31 de diciembre de 2011. Se percibirán según las cuantías que se reflejan a continuación para cada uno de ellos:
1. Las de los Presidentes de Sala del Tribunal Supremo y del Presidente de la Audiencia Nacional (Magistrados del Tribunal Supremo) en las siguientes cuantías:
|
Sueldo (a percibir en 14 mensualidades) |
27.518,12 € |
|
Otras remuneraciones (a percibir en 12 mensualidades) |
82.261,44 € |
|
Total |
109.779,56 € |
Las de los Magistrados del Tribunal Supremo y de los Presidentes de Sala de la Audiencia Nacional (Magistrados del Tribunal Supremo), en las siguientes cuantías:
|
Sueldo (a percibir en 14 mensualidades) |
26.069,96 € |
|
Otras remuneraciones (a percibir en 12 mensualidades) |
80.853,00 € |
|
Total |
106.922,96€ |
2. Las del Fiscal General del Estado, en la cuantía de 113.838,96 euros a percibir en doce mensualidades sin derecho a pagas extraordinarias.
Las del Teniente Fiscal del Tribunal Supremo, en las siguientes cuantías:
|
Sueldo (a percibir en 14 mensualidades) |
27.518,12 € |
|
Otras remuneraciones (a percibir en 12 mensualidades) |
82.261,44 € |
|
Total |
109.779,56 € |
Las del Fiscal Jefe Inspector, del Fiscal Jefe de la Fiscalía ante el Tribunal Constitucional y del Fiscal Jefe de la Fiscalía de la Audiencia Nacional, en las siguientes cuantías:
|
Sueldo (a percibir en 14 mensualidades) |
26.069,96 € |
|
Otras remuneraciones (a percibir en 12 mensualidades) |
82.261,44 € |
|
Total |
108.331,40 € |
Las de los Fiscales Jefes de la Fiscalía del Tribunal de Cuentas, de la Secretaría Técnica y de la Unidad de Apoyo del Fiscal General del Estado y de las Fiscalías especiales Antidroga y contra la corrupción y la criminalidad organizada y las de los Fiscales de Sala del Tribunal Supremo, en las siguientes cuantías:
|
Sueldo (a percibir en 14 mensualidades) |
26.069,96 € |
|
Otras remuneraciones (a percibir en 12 mensualidades) |
80.853,00 € |
|
Total |
106.922,96 € |
3. Los miembros del Poder Judicial y del Ministerio Fiscal a que se refieren los números anteriores de este apartado, a excepción del Fiscal General del Estado que se regula en el párrafo siguiente, percibirán 14 mensualidades de la retribución por antigüedad o trienios, en su caso, que les corresponda. Asimismo, percibirán dos pagas al año por la cuantía que se detalla, para cada uno de los cargos, en el Anexo X de la Ley 39/2010, de 22 de diciembre, de Presupuestos Generales del Estado para el año 2011. Dichas cuantías se devengarán de acuerdo con la normativa sobre pagas extraordinarias aplicable a los funcionarios incluidos en el ámbito de aplicación de la Ley 30/1984, de 2 de agosto.
El Fiscal General del Estado percibirá, además de la cuantía señalada en el número 2 de este apartado, 14 mensualidades de la retribución por antigüedad o trienios, en su caso, que le corresponda y las derivadas de la aplicación del artículo 32.Cuatro, número 3, párrafo segundo, de la Ley 51/2007, de 26 de diciembre, de Presupuestos Generales del Estado para el año 2008, en las cuantías previstas en el número 3, segundo párrafo, del artículo 32.Cinco.B), de la Ley 26/2009, de Presupuestos Generales del Estado para 2010.
4. El sueldo y las retribuciones complementarias de los miembros del Poder Judicial y del Ministerio Fiscal a los que se refieren los puntos 1 y 2 del presente apartado, serán las establecidas en los mismos y en el punto 3 del mismo apartado, quedando excluidos, a estos efectos, del ámbito de aplicación de la Ley 15/2003, de 26 de mayo, reguladora del régimen retributivo de las carreras judicial y fiscal, sin perjuicio del derecho al devengo de las retribuciones especiales que les correspondan en las cuantías previstas en el número 4 del artículo 32.Cinco.B) de la citada Ley 26/2009.
Artículo 32. Retribuciones del personal estatutario y del personal de la Seguridad Social no estatutario.
Uno. En el año 2012 las retribuciones del personal funcionario de la Administración de la Seguridad Social, ya homologado con el resto del personal de la Administración General del Estado, serán las establecidas en el artículo 26 de esta Ley.
Dos. En el año 2012 el personal incluido en el ámbito de aplicación del Real Decreto-ley 3/1987, de 11 de septiembre, sobre retribuciones del personal estatutario del Instituto Nacional de la Salud, percibirá las retribuciones básicas y el complemento de destino, en las cuantías señaladas para dichos conceptos retributivos en el artículo 26.Uno.A), B) y C) de esta Ley, sin perjuicio de lo establecido en la disposición transitoria segunda, dos, de dicho Real Decreto-ley y de que la cuantía anual del complemento de destino, fijado en la letra C) del citado artículo 26.Uno se satisfaga en catorce mensualidades.
A los efectos de la aplicación, para el citado personal estatutario de lo dispuesto en el artículo 26.Uno.B) de la presente Ley, la cuantía del complemento de destino correspondiente a cada una de las pagas extraordinarias se hará efectiva también en catorce mensualidades, calculándose dicha cuantía en una doceava parte de los correspondientes importes por niveles señalados en el artículo 26.Uno.C).
El importe de las retribuciones correspondientes a los complementos específico y de atención continuada que, en su caso, estén fijados al referido personal, no experimentará ningún incremento respecto de las vigentes a 31 de diciembre de 2011, sin perjuicio, de lo previsto en el artículo 22.Siete de esta Ley.
La cuantía individual del complemento de productividad se determinará conforme a los criterios señalados en el artículo 2.tres.c) y disposición transitoria tercera del Real Decreto-ley 3/1987, y en las demás normas dictadas en su desarrollo.
Tres. En el año 2012 las retribuciones del restante personal funcionario y estatutario del ámbito de aplicación de este artículo, no experimentarán incremento respecto de las vigentes a 31 de diciembre de 2011.
Otras disposiciones en materia de régimen del personal activo
Artículo 33. Prohibición de ingresos atípicos.
Los empleados públicos comprendidos dentro del ámbito de aplicación de la presente Ley, con excepción de aquéllos sometidos al régimen de arancel, no podrán percibir participación alguna de los tributos, comisiones u otros ingresos de cualquier naturaleza, que correspondan a la Administración o a cualquier poder público como contraprestación de cualquier servicio o jurisdicción, ni participación o premio en multas impuestas aun cuando estuviesen normativamente atribuidas a los mismos, debiendo percibir únicamente las remuneraciones del correspondiente régimen retributivo, y sin perjuicio de lo que resulte de la aplicación del sistema de incompatibilidades y de lo dispuesto en la normativa específica sobre disfrute de vivienda por razón del trabajo o cargo desempeñado.
Artículo 34. Recompensas, cruces, medallas y pensiones de mutilación.
Uno. En el año 2012 las cuantías a percibir por los conceptos de recompensas, cruces, medallas y pensiones de mutilación, no experimentarán incremento respecto de las reconocidas a 31 de diciembre de 2011.
Dos. La Cruz Laureada de San Fernando y la Medalla Militar individual se regirán por su legislación especial.
Tres. La Cruz a la Constancia y las diferentes categorías de la Real y Militar Orden de San Hermenegildo se regirán por lo establecido en el Real Decreto 1189/2000, de 23 de junio, por el que se aprueba el Reglamento de la Real y Militar Orden de San Hermenegildo.
Artículo 35. Otras normas comunes.
Uno. El personal contratado administrativo y los funcionarios de Cuerpos de Sanitarios Locales, así como el personal cuyas retribuciones en 2011 no correspondieran a las establecidas con carácter general en el Título III de la Ley 39/2010, de 22 de diciembre, de Presupuestos Generales del Estado para 2011, y no les fueran de aplicación las establecidas expresamente en el mismo Título de la presente Ley, continuarán percibiendo, durante el año 2012, las retribuciones vigentes a 31 de diciembre de 2011.
Dos. En la Administración General del Estado, sus Organismos autónomos y Agencias estatales, en los casos de adscripción durante el año 2012 de un funcionario sujeto a un régimen retributivo distinto del correspondiente al puesto de trabajo al que se le adscribe, dicho funcionario percibirá las retribuciones que correspondan al puesto de trabajo que desempeñe, previa la oportuna asimilación de las retribuciones básicas que se autorice por el Ministerio de Hacienda y Administraciones Públicas, a propuesta de los Departamentos ministeriales interesados.
A los solos efectos de la asimilación a que se refiere el párrafo anterior, se podrá autorizar que la cuantía de la retribución por antigüedad sea la que proceda de acuerdo con el régimen retributivo de origen del funcionario.
Tres. Las indemnizaciones por razón del servicio seguirán percibiéndose en las cuantías vigentes en 2011.
Artículo 36. Requisitos para la determinación o modificación de retribuciones del personal laboral y no funcionario.
Uno. Durante el año 2012 será preciso informe favorable del Ministerio de Hacienda y Administraciones Públicas para proceder a determinar o modificar las condiciones retributivas del personal laboral y no funcionario al servicio de:
a) La Administración General del Estado y sus Organismos autónomos.
b) Las Entidades gestoras y Servicios comunes de la Seguridad Social.
c) Las Agencias estatales, de conformidad con su normativa específica.
d) Las restantes entidades públicas empresariales y el resto de los organismos y entes públicos, en las condiciones y por los procedimientos que al efecto se establezcan por la Comisión Interministerial de Retribuciones, atendiendo a las características específicas de aquéllas.
Dos. Se entenderá por determinación o modificación de condiciones retributivas del personal no funcionario, las siguientes actuaciones:
a) Determinación de las retribuciones de puestos de nueva creación.
b) Firma de convenios colectivos suscritos por los organismos citados en el apartado Uno anterior, así como sus revisiones y las adhesiones o extensiones a los mismos.
c) Aplicación del Convenio único para el personal laboral de la Administración del Estado y de los convenios colectivos de ámbito sectorial, así como sus revisiones y las adhesiones o extensiones a los mismos.
d) Fijación de retribuciones mediante contrato individual, ya se trate de personal fijo o contratado por tiempo determinado, cuando no vengan reguladas en todo o en parte mediante convenio colectivo, con excepción del personal temporal sujeto a la relación laboral de carácter especial regulada en el artículo 2, apartado 1, letra e), del Real Decreto Legislativo 1/1995, de 24 de marzo, por el que se aprueba el Texto Refundido de la Ley del Estatuto de los Trabajadores. No obstante, se deberá facilitar información de las retribuciones de este último personal al Ministerio de Hacienda y Administraciones Públicas. Se exceptúa, igualmente, la fijación de las retribuciones del personal al que se refiere el Real Decreto 451/2012, de 5 de marzo, por el que se regula el régimen retributivo de los máximos responsables y directivos en el sector público empresarial y otras entidades, que se atendrá a lo dispuesto en dicha norma.
e) Otorgamiento de cualquier clase de mejoras salariales de tipo unilateral, con carácter individual o colectivo, aunque se deriven de la aplicación extensiva del régimen retributivo de los funcionarios públicos.
f) Determinación de las retribuciones correspondientes al personal contratado en el exterior.
Tres. El informe citado en el apartado Uno de este artículo afectará a todos los Organismos, Entidades y Agencias señalados en las letras a), b), c) y, para los del apartado d) en los términos en que se determine por la Comisión Interministerial de Retribuciones, y será emitido por el procedimiento y con el alcance previsto en los puntos siguientes:
1. Los organismos afectados remitirán al Ministerio de Hacienda y Administraciones Públicas el correspondiente proyecto, con carácter previo a su acuerdo o firma en el caso de los convenios colectivos o contratos individuales, acompañando la valoración de todos sus aspectos económicos.
2. El informe, que en el supuesto de proyectos de convenios colectivos será evacuado en el plazo máximo de quince días a contar desde la fecha de recepción del proyecto y de su valoración, versará sobre todos aquellos extremos de los que se deriven consecuencias directas o indirectas en materia de gasto público, tanto para el año 2012 como para ejercicios futuros y, especialmente, en lo que se refiere a la determinación de la masa salarial correspondiente y al control de su crecimiento, sin perjuicio de lo dispuesto en el artículo 27 de esta Ley.
Cuatro. El Ministerio de Hacienda y Administraciones Públicas determinará y, en su caso, actualizará las retribuciones del personal laboral en el exterior de acuerdo con las circunstancias específicas de cada país.
Cinco. Serán nulos de pleno derecho los acuerdos adoptados en esta materia con omisión del trámite de informe o en contra de un informe desfavorable, así como los pactos que impliquen crecimientos salariales para ejercicios sucesivos contrarios a los que determinen las futuras Leyes de Presupuestos.
No podrán autorizarse gastos derivados de la aplicación de las retribuciones para el año 2012 sin el cumplimiento de los requisitos establecidos en el presente artículo.
Artículo 37. Contratación de personal laboral con cargo a los créditos de inversiones.
Uno. Los Departamentos ministeriales, Organismos autónomos, Agencias estatales y Entidades Gestoras de la Seguridad Social podrán formalizar durante el año 2012, con cargo a los respectivos créditos de inversiones, contrataciones de personal de carácter temporal para la realización de obras o servicios, siempre que se dé la concurrencia de los siguientes requisitos:
a) Que la contratación tenga por objeto la ejecución de obras por administración directa y con aplicación de la legislación de contratos del Estado, o la realización de servicios que tengan la naturaleza de inversiones.
b) Que tales obras o servicios correspondan a inversiones previstas y aprobadas en los Presupuestos Generales del Estado.
c) Que las obras o servicios no puedan ser ejecutados con el personal fijo de plantilla y no exista disponibilidad suficiente en el crédito presupuestario destinado a la contratación de personal.
Dos. La contratación podrá exceder del ejercicio presupuestario cuando se trate de obras o servicios que hayan de exceder de dicho ejercicio y correspondan a proyectos de inversión de carácter plurianual que cumplan los requisitos que para éstos se prevé en el artículo 47 de la Ley 47/2003, de 26 de noviembre, General Presupuestaria, o en esta propia Ley de Presupuestos Generales del Estado para el año 2012.
Tres. Los contratos habrán de ser informados, con carácter previo a su formalización, por la Abogacía del Estado en el Departamento, organismo o entidad que, en especial, se pronunciará sobre la modalidad de contratación utilizada y la observancia en las cláusulas del contrato de los requisitos y formalidades exigidos por la legislación laboral.
Cuatro. Los contratos regulados en el presente artículo serán objeto de fiscalización previa en los casos en que la misma resulte preceptiva, de conformidad con lo dispuesto en los artículos 152 a 156 de la Ley 47/2003, de 26 de noviembre, General Presupuestaria. A estos efectos, los créditos de inversiones se entenderán adecuados para la contratación de personal eventual si no existe crédito suficiente para ello en el concepto presupuestario destinado específicamente a dicha finalidad.
En los Organismos autónomos del Estado con actividades industriales, comerciales, financieras o análogas, y en las entidades públicas empresariales, esta contratación requerirá informe favorable del correspondiente Interventor Delegado, que versará sobre la no disponibilidad de crédito en el concepto presupuestario destinado a la contratación de personal eventual en el capítulo correspondiente. En caso de disconformidad con el informe emitido, el organismo autónomo o la Entidad pública empresarial podrán elevar el expediente al Ministerio de Hacienda y Administraciones Públicas para su resolución.
Artículo 38. Competencia del Ministerio de Hacienda y Administraciones Públicas en materia de costes del personal al servicio del sector público.
Todos los acuerdos, convenios, pactos o instrumentos similares, así como las medidas que se adopten en su cumplimiento o desarrollo, adoptados en el ámbito de los Departamentos ministeriales, Organismos, Agencias Estatales, entidades públicas empresariales y demás entes públicos del sector público estatal requerirán, para su plena efectividad, el informe previo y favorable del Ministerio de Hacienda y Administraciones Públicas, a través de la Secretaría de Estado de Presupuestos y Gastos siendo nulos de pleno derecho los que se alcancen sin dicho informe, sin que de los mismos pueda en ningún caso derivarse, directa o indirectamente, incremento del gasto público en materia de costes de personal y/o incremento de retribuciones.
Determinación inicial de las pensiones del Régimen de Clases Pasivas del Estado y de las especiales de guerra
Artículo 39. Determinación inicial de las pensiones del Régimen de Clases Pasivas del Estado.
Uno. Lo dispuesto en este artículo se aplicará a las pensiones ordinarias y extraordinarias que, en propio favor o en el de sus familiares, cause el personal incluido en el ámbito de cobertura del Régimen de Clases Pasivas del Estado que se relaciona a continuación agrupado de acuerdo con su legislación reguladora:
1. Personal al que se aplica el Título I del texto refundido de la Ley de Clases Pasivas del Estado, aprobado por Real Decreto Legislativo 670/1987, de 30 de abril:
a) Los funcionarios de carrera de carácter civil de la Administración del Estado, de la Administración de Justicia, de las Cortes Generales y de otros órganos constitucionales o estatales cuya legislación reguladora así lo prevea, los transferidos a las Comunidades Autónomas, así como el personal militar de carrera, el personal militar de complemento y el de las Escalas de tropa y marinería profesional que tuviera adquirido el derecho a permanecer en las Fuerzas Armadas hasta la edad de retiro, que, con posterioridad a 31 de diciembre de 1984, se encuentre en cualquier situación administrativa y no haya sido declarado jubilado o retirado antes de dicha fecha.
b) El personal que, a partir de 1 de enero de 1986, se encontrara como funcionario en prácticas y el que, a partir de 1 de enero 1985, fuera alumno de alguna Escuela o Academia Militar y hubiera sido promovido a Caballero Alférez Cadete, Alférez-alumno, Sargento-alumno o Guardiamarina.
c) Los funcionarios interinos nombrados antes de 1 de enero de 1965 y que hayan percibido sueldo detallado en los Presupuestos Generales del Estado con cargo a personal, cuando el hecho causante de los derechos pasivos se haya producido con posterioridad a 31 de diciembre de 1985.
2. Personal al que se aplica la legislación vigente a 31 de diciembre de 1984, con las modificaciones que se recogen en el Título II del texto refundido de la Ley de Clases Pasivas del Estado:
a) Los funcionarios de carrera de carácter civil de la Administración del Estado, de la Administración de Justicia, de las Cortes Generales y de otros órganos constitucionales o estatales cuya legislación reguladora así lo prevea, los transferidos a las Comunidades Autónomas, así como el personal militar de carrera, el personal militar de complemento y el de las Escalas de tropa y marinería profesional que tuviera adquirido el derecho a permanecer en las Fuerzas Armadas hasta la edad de retiro, que, con anterioridad a 1 de enero de 1985, haya fallecido o haya sido declarado jubilado o retirado.
b) Los funcionarios interinos nombrados antes de 1 de enero de 1965 y que hayan percibido sueldo detallado en los Presupuestos Generales del Estado con cargo a personal, cuando el hecho causante de los derechos pasivos se haya producido con anterioridad al 1 de enero de 1986.
Dos. Para la determinación inicial de las pensiones causadas por el personal mencionado en el apartado Uno.1 de este artículo, se tendrán en cuenta para 2012 los haberes reguladores que se indican a continuación:
a) Haberes reguladores para el personal ingresado en algún cuerpo, escala, plaza, empleo o categoría administrativa con posterioridad a 1 de enero de 1985:
|
Grupo/Subgrupo Ley 7/2007 |
Haber regulador – Euros/año |
|
A1 |
39.661,46 |
|
A2 |
31.214,57 |
|
B |
27.333,42 |
|
C1 |
23.973,33 |
|
C2 |
18.966,88 |
|
E (Ley 30/1984) y Agrupaciones Profesionales (Ley 7/2007) |
16.170,77 |
b) Haberes reguladores para el personal ingresado con anterioridad a 1 de enero de 1985:
Administración Civil y Militar del Estado
|
Índice de proporcionalidad |
Haber regulador – Euros/año |
|
10 |
39.661,46 |
|
8 |
31.214,57 |
|
6 |
23.973,33 |
|
4 |
18.966,88 |
|
3 |
16.170,77 |
Administración de Justicia
|
Índice multiplicador |
Haber regulador – Euros/año |
|
4,75 |
39.661,46 |
|
4,50 |
39.661,46 |
|
4,00 |
39.661,46 |
|
3,50 |
39.661,46 |
|
3,25 |
39.661,46 |
|
3,00 |
39.661,46 |
|
2,50 |
39.661,46 |
|
2,25 |
31.214,57 |
|
2,00 |
27.333,43 |
|
1,50 |
18.966,88 |
|
1,25 |
16,170,77 |
Tribunal Constitucional
|
Cuerpo |
Haber regulador – Euros/año |
|
Secretario General |
39.661,46 |
|
De Letrados |
39.661,46 |
|
Gerente |
39.661,46 |
Cortes Generales
|
Cuerpo |
Haber regulador – Euros/año |
|
De Letrados |
39.661,46 |
|
De Archiveros-Bibliotecarios |
39.661,46 |
|
De Asesores Facultativos |
39.661,46 |
|
De Redactores, Taquígrafos y Estenotipistas |
39.661,46 |
|
Técnico-Administrativo |
39.661,46 |
|
Administrativo |
23.973,33 |
|
De Ujieres |
18.966,88 |
Tres. Para la determinación inicial de las pensiones causadas por el personal mencionado en el apartado Uno.2 de este artículo, que surtan efectos económicos a partir de 1 de enero de 2012, se tendrán en cuenta las bases reguladoras que resulten de aplicar las siguientes reglas:
a) Se tomará el importe que corresponda al causante por los conceptos de sueldo y, en su caso, grado, en función del cuerpo o de los índices multiplicador o de proporcionalidad y grado de carrera administrativa que tuviera asignado a 31 de diciembre de 1984 el cuerpo, carrera, escala, plaza, empleo o categoría al que perteneciese aquel, y que se recogen a continuación:
Administración Civil y Militar del Estado
|
Índice de proporcionalidad |
Grado |
Grado especial |
Importe por concepto de sueldo y grado en cómputo anual – Euros |
|
10 (5,5) |
8 |
|
26.588,07 |
|
10 (5,5) |
7 |
|
25.857,33 |
|
10 (5,5) |
6 |
|
25.126,64 |
|
10 (5,5) |
3 |
|
22.934,46 |
|
10 |
5 |
|
22.561,34 |
|
10 |
4 |
|
21.830,65 |
|
10 |
3 |
|
21.099,95 |
|
10 |
2 |
|
20.369,18 |
|
10 |
1 |
|
19.638,46 |
|
8 |
6 |
|
18.972,33 |
|
8 |
5 |
|
18.387,87 |
|
8 |
4 |
|
17.803,39 |
|
8 |
3 |
|
17.218,89 |
|
8 |
2 |
|
16.634,44 |
|
8 |
1 |
|
16.049,93 |
|
6 |
5 |
|
14.453,44 |
|
6 |
4 |
|
14.015,21 |
|
6 |
3 |
|
13.577,05 |
|
6 |
2 |
|
13.138,78 |
|
6 |
1 |
(12 por 100) |
14.172,06 |
|
6 |
1 |
|
12.700,54 |
|
4 |
3 |
|
10.694,84 |
|
4 |
2 |
(24 por 100) |
12.761,59 |
|
4 |
2 |
|
10.402,62 |
|
4 |
1 |
(12 por 100) |
11.290,94 |
|
4 |
1 |
|
10.110,38 |
|
3 |
3 |
|
9.234,27 |
|
3 |
2 |
|
9.015,12 |
|
3 |
1 |
|
8.796,01 |
Administración de Justicia
|
Índice multiplicador |
Importe por concepto de sueldo en cómputo anual – Euros |
|
4,75 |
43.419,06 |
|
4,50 |
41.133,84 |
|
4,00 |
36.563,40 |
|
3,50 |
31.992,97 |
|
3,25 |
29.707,77 |
|
3,00 |
27.422,54 |
|
2,50 |
22.852,12 |
|
2,25 |
20.566,91 |
|
2,00 |
18.281,71 |
|
1,50 |
13.711,28 |
|
1,25 |
11.426,07 |
Tribunal Constitucional
|
Cuerpo |
Importe por concepto de sueldo en cómputo anual – Euros |
|
Secretario General |
41.133,84 |
|
De Letrados |
36.563,40 |
|
Gerente |
36.563,40 |
Cortes Generales
|
Cuerpo |
Importe por concepto de sueldo en cómputo anual – Euros |
|
De Letrados |
23.928,50 |
|
De Archiveros-Bibliotecarios |
23.928,50 |
|
De Asesores Facultativos |
23.928,50 |
|
De Redactores, Taquígrafos y Estenotipistas |
21.973,87 |
|
Técnico-Administrativo |
21.973,87 |
|
Administrativo |
13.233,45 |
|
De Ujieres |
10.467,80 |
b) A la cantidad resultante de lo establecido en la letra anterior, se sumará la cuantía que se obtenga de multiplicar el número de trienios acreditados por el valor unitario de cada trienio en función del cuerpo, carrera, escala, plaza, empleo o categoría en los que hubiera prestado servicios el causante, atendiendo, en su caso, a los índices de proporcionalidad o multiplicadores asignados a los mismos en los cuadros siguientes:
Administración Civil y Militar del Estado
|
Índice de proporcionalidad |
Valor unitario del trienio en cómputo anual – Euros |
|
10 |
858,92 |
|
8 |
687,15 |
|
6 |
515,33 |
|
4 |
343,59 |
|
3 |
257,68 |
Administración de Justicia
|
Índice multiplicador |
Valor unitario del trienio en cómputo anual – Euros |
|
3,50 |
1.599,63 |
|
3,25 |
1.485,40 |
|
3,00 |
1.371,13 |
|
2,50 |
1.142,58 |
|
2,25 |
1.029,75 |
|
2,00 |
914,10 |
|
1,50 |
685,56 |
|
1,25 |
571,32 |
Tribunal Constitucional
|
Cuerpo |
Valor unitario del trienio en cómputo anual – Euros |
|
Secretario General |
1.599,63 |
|
De Letrados |
1.599,63 |
|
Gerente |
1.599,63 |
Cortes Generales
|
Cuerpo |
Valor unitario del trienio en cómputo anual – Euros |
|
De Letrados |
978,39 |
|
De Archiveros-Bibliotecarios |
978,39 |
|
De Asesores Facultativos |
978,39 |
|
De Redactores, Taquígrafos y Estenotipistas |
978,39 |
|
Técnico-Administrativo |
978,39 |
|
Administrativo |
587,05 |
|
De Ujieres |
391,34 |
Cuatro. El importe mensual de las pensiones a que se refiere este artículo se obtendrá dividiendo por 14 la cuantía anual calculada según lo dispuesto en las reglas contenidas en los apartados precedentes y de acuerdo con la legislación que resulte aplicable.
Artículo 40. Determinación inicial de las pensiones especiales de guerra.
Uno. El importe de las pensiones reconocidas al amparo de la Ley 5/1979, de 18 de septiembre, en favor de familiares de fallecidos como consecuencia de la guerra civil, no podrá ser inferior, para 2012, a la cuantía mínima de las pensiones de viudedad de mayores de 65 años en el sistema de la Seguridad Social, excepto para las pensiones causadas por el personal no funcionario en favor de huérfanos no incapacitados, cuya cuantía será de 1.801,80 euros anuales.
Dos. 1. Las pensiones reconocidas al amparo de la Ley 35/1980, de 26 de junio, de mutilados de guerra excombatientes de la zona republicana, cuyos causantes no tuvieran la condición de militar profesional de las Fuerzas e Institutos Armados, se fijan para 2012 en las siguientes cuantías:
a) La pensión de mutilación será la que resulte de aplicar los porcentajes establecidos para cada grado de incapacidad a la cantidad de 4.900,92 euros anuales.
b) La suma de la remuneración básica, la remuneración sustitutoria de trienios y las remuneraciones suplementarias en compensación por retribuciones no percibidas será de 13.217,67 euros anuales.
c) Las pensiones en favor de familiares serán iguales a la cuantía mínima de las pensiones de viudedad de mayores de 65 años en el sistema de la Seguridad Social, excepto para las pensiones en favor de huérfanos no incapacitados, cuya cuantía será de 1.801,80 euros anuales.
2. El importe de las pensiones en favor de familiares de excombatientes que tuvieran la condición de militar profesional, reconocidas al amparo de la Ley 35/1980, no podrá ser inferior, para 2012, a la cuantía mínima de las pensiones de viudedad de mayores de 65 años en el sistema de la Seguridad Social.
Tres. Las pensiones reconocidas al amparo de la Ley 6/1982, de 29 de marzo, sobre retribución básica a mutilados civiles de guerra, se fijan, para 2012, en las siguientes cuantías:
a) La retribución básica para quienes tengan reconocida una incapacidad de segundo, tercero o cuarto grado, en 9.252,37 euros anuales.
b) Las pensiones en favor de familiares, en la cuantía mínima de las pensiones de viudedad de mayores de 65 años en el sistema de la Seguridad Social.
Cuatro. Las pensiones reconocidas al amparo del Decreto 670/1976, de 5 de marzo, en favor de mutilados de guerra que no pudieron integrarse en el Cuerpo de Caballeros Mutilados de Guerra por la Patria, se establecerán, para 2012, en el importe que resulte de aplicar los porcentajes establecidos para cada grado de incapacidad a la cuantía de 5.871,92 euros anuales.
Cinco. La cuantía para 2012 de las pensiones causadas al amparo del Título II de la Ley 37/1984, de 22 de octubre, sobre reconocimiento de derechos y servicios prestados a quienes durante la guerra civil formaron parte de las Fuerzas Armadas y de Orden Público y Cuerpo de Carabineros de la República, se fijará aplicando el importe por los conceptos de sueldo y grado que proceda de entre los contenidos en el precedente artículo 39.Tres.a).
Las cuantías de estas pensiones no podrán ser inferiores a las siguientes:
a) En las pensiones en favor de causantes, a la cuantía mínima de las pensiones de jubilación, con cónyuge a cargo, de mayores de 65 años en el sistema de la Seguridad Social.
b) En las pensiones de viudedad, a la cuantía mínima de las pensiones de viudedad de mayores de 65 años en el sistema de la Seguridad Social.
Seis. El importe mensual de las pensiones a que se refiere este artículo se obtendrá dividiendo por 12 la cuantía anual establecida según lo dispuesto en los apartados precedentes y de acuerdo con la legislación que resulte aplicable.
Junto a las doce mensualidades ordinarias se abonarán dos mensualidades extraordinarias del mismo importe, excepto en las pensiones de mutilación reconocidas al amparo de la Ley 35/1980, de 26 de junio.
No obstante lo establecido en el último inciso del párrafo anterior, cuando el mutilado fuera clasificado como útil conforme a lo dispuesto en la citada ley, tendrá derecho a las referidas mensualidades extraordinarias.
Limitaciones en el señalamiento inicial de las pensiones públicas
Artículo 41. Limitación del señalamiento inicial de las pensiones públicas.
Uno. El importe a percibir como consecuencia del señalamiento inicial de las pensiones públicas enumeradas en el artículo 42 de la Ley 37/1988, de 28 de diciembre, de Presupuestos Generales del Estado para 1989, no podrá superar, durante el año 2012, la cuantía íntegra de 2.522,89 euros mensuales, sin perjuicio de las pagas extraordinarias que pudieran corresponder a su titular cuya cuantía también estará afectada por el citado límite.
No obstante lo dispuesto en el párrafo anterior, si el pensionista tuviera derecho a percibir menos o más de 14 pagas al año, incluidas las extraordinarias, dicho límite mensual deberá ser adecuado a efectos de que se alcance o no supere la cuantía íntegra anual de 35.320,46 euros.
Dos. Cuando un mismo titular cause simultáneamente derecho a dos o más pensiones públicas, el importe conjunto a percibir como consecuencia del señalamiento inicial de todas ellas estará sujeto a los mismos límites que se establecen en el apartado anterior.
A tal efecto se determinará, en primer lugar, el importe íntegro de cada una de las pensiones públicas de que se trate y, si la suma de todas ellas excediera de 2.522,89 euros mensuales, se reducirán proporcionalmente hasta absorber dicho exceso.
No obstante, si alguna de las pensiones que se causen estuviera a cargo del Fondo Especial de una de las Mutualidades de Funcionarios incluidas en el artículo 42.1.c) de la Ley 37/1988, de 28 de diciembre, la minoración o supresión se efectuará preferentemente sobre el importe íntegro de esta pensión y, de ser posible, en el momento de su reconocimiento, procediéndose con posterioridad, si fuera necesario, a reducir proporcionalmente las restantes pensiones para que la suma de todas ellas no supere el indicado límite máximo.
Tres. Cuando se efectúe el señalamiento inicial de una pensión pública en favor de quien ya estuviera percibiendo otra u otras pensiones públicas, si la suma conjunta del importe íntegro de todas ellas superase los límites establecidos en el apartado Uno de este artículo, se minorará o suprimirá del importe íntegro de la nueva pensión la cuantía que exceda del referido límite.
No obstante, si la nueva pensión, en el presente o en anteriores ejercicios económicos, tuviera la consideración de renta exenta de acuerdo con lo dispuesto en la legislación reguladora del Impuesto sobre la Renta de las Personas Físicas, a solicitud de su titular, se minorará o suprimirá la pensión o pensiones públicas que el interesado hubiera causado anteriormente. En tales supuestos, los efectos de la regularización se retrotraerán al día 1 de enero del año en que se solicite o a la fecha inicial de abono de la nueva pensión, si ésta fuese posterior.
Cuatro. Si en el momento del señalamiento inicial a que se refieren los apartados anteriores, los organismos o entidades competentes no pudieran conocer la cuantía y naturaleza de las otras pensiones que correspondan al beneficiario, dicho señalamiento inicial se realizará con carácter provisional hasta que se practiquen las oportunas comprobaciones.
La regularización definitiva de los señalamientos provisionales supondrá, en su caso, la exigencia del reintegro de lo percibido indebidamente por el titular de la pensión. Este reintegro podrá practicarse con cargo a las sucesivas mensualidades de pensión.
Cinco. Si con posterioridad a la minoración o supresión del importe del señalamiento inicial a que se refieren los apartados Dos y Tres de este artículo, se modificase, por cualquier circunstancia, la cuantía o composición de las otras pensiones públicas percibidas por el titular, se revisarán de oficio o a instancia de parte las limitaciones que se hubieran efectuado, con efectos del primer día del mes siguiente al de la variación.
En todo caso, los señalamientos iniciales realizados en supuestos de concurrencia de pensiones públicas estarán sujetos a revisión periódica.
Seis. La minoración o supresión del importe en los señalamientos iniciales de pensiones públicas que pudiera efectuarse por aplicación de las normas limitativas no significará merma o perjuicio de otros derechos anejos al reconocimiento de la pensión.
Siete. El límite máximo de percepción establecido en este artículo no se aplicará a las siguientes pensiones públicas que se causen durante el año 2012:
a) Pensiones extraordinarias del sistema de la Seguridad Social y del Régimen de Clases Pasivas del Estado originadas por actos terroristas.
b) Pensiones extraordinarias reconocidas al amparo de la disposición adicional cuadragésima tercera de la Ley 62/2003, de 30 de diciembre, de Medidas Fiscales, Administrativas y del Orden Social.
c) Pensiones excepcionales derivadas de atentados terroristas reconocidas al amparo del Real Decreto-ley 6/2006, de 23 de junio.
Ocho. Cuando en el momento del señalamiento inicial de las pensiones públicas concurran en un mismo titular alguna o algunas de las pensiones mencionadas en el apartado anterior, o de las reconocidas por actos terroristas en favor de quienes no tengan derecho a pensión en cualquier régimen público de Seguridad Social al amparo del Título II del Real Decreto 851/1992, de 10 de julio, por el que se regulan determinadas pensiones extraordinarias causadas por actos de terrorismo, con otra u otras pensiones públicas, las normas limitativas de este artículo sólo se aplicarán respecto de las no procedentes de actos terroristas.
Revalorización y modificación de los valores de las pensiones públicas
Artículo 42. Revalorización y modificación de los valores de las pensiones públicas.
Uno. Las pensiones abonadas por el sistema de la Seguridad Social, en su modalidad contributiva, así como las pensiones de Clases Pasivas del Estado, mantendrán en el año 2012 el incremento del 1 por ciento, establecido en el artículo 5 del Real Decreto-ley 20/2011, de 30 de diciembre, de medidas urgentes en materia presupuestaria, tributaria y financiera para la corrección del déficit público, de conformidad con lo previsto en el artículo 48 del texto refundido de la Ley General de la Seguridad Social, aprobado por Real Decreto Legislativo 1/1994, de 20 de junio, y en el artículo 27 del texto refundido de la Ley de Clases Pasivas del Estado, sin perjuicio de las excepciones contenidas en los artículos siguientes de este capítulo y de los importes de garantía que figuran en el precedente artículo 40 de esta Ley, respecto de las pensiones reconocidas al amparo de la legislación especial de la guerra civil.
La cuantía inicial de las pensiones de jubilación y retiro y de viudedad de Clases Pasivas del Estado causadas durante 2012 al amparo de la legislación vigente a 31 de diciembre de 1984, calculada de acuerdo con las bases reguladoras establecidas para esta clase de pensiones en el presente ejercicio económico, se corregirá mediante la aplicación del porcentaje del 1 y 2 por ciento según corresponda, establecido para los años 2004, 2006, 2007 y 2008 en el apartado cuatro de las disposiciones adicionales quinta y sexta, así como en la disposición adicional décima de las Leyes 61/2003, de 30 de diciembre; 30/2005, de 29 de diciembre; 42/2006, de 28 de diciembre; y 51/2007, de 26 de diciembre, de Presupuestos Generales del Estado para los años 2004, 2006, 2007 y 2008, respectivamente.
Dos. De acuerdo con lo establecido en la disposición adicional sexta, punto Uno, del texto refundido de la Ley sobre Seguridad Social de los Funcionarios Civiles del Estado, aprobado por Real Decreto Legislativo 4/2000, de 23 de junio, las pensiones de las Mutualidades integradas en el Fondo Especial de la Mutualidad General de Funcionarios Civiles del Estado, causadas con posterioridad a 31 de diciembre de 2006, experimentarán el 1 de enero del año 2012 una reducción, respecto de los importes percibidos a 31 de diciembre de 2011, del 20 por ciento de la diferencia entre la cuantía correspondiente a 31 de diciembre de 1978 –o de 1977, si se tratase del Montepío de Funcionarios de la Organización Sindical– y la de 31 de diciembre de 1973.
Tres. Las pensiones abonadas con cargo a los regímenes o sistemas de previsión enumerados en el artículo 42 de la Ley 37/1988, de 28 de diciembre, y no indicadas en los apartados anteriores de este artículo, experimentarán en el año 2012 la revalorización o modificación que en su caso proceda, según su normativa reguladora, sobre las cuantías percibidas a 31 de diciembre de 2011, salvo las excepciones contenidas en los siguientes artículos de este capítulo.
Artículo 43. Pensiones no revalorizables.
Uno. En el año 2012 no se revalorizarán las siguientes pensiones públicas:
a) Las pensiones abonadas con cargo a cualquiera de los regímenes o sistemas de previsión enumerados en el artículo 42 de la Ley 37/1988, de 28 de diciembre, cuyo importe íntegro mensual, sumado, en su caso, al importe íntegro mensual de las otras pensiones públicas percibidas por su titular, exceda de 2.522,89 euros íntegros en cómputo mensual, entendiéndose esta cantidad en los términos expuestos en el precedente artículo 41.
Lo dispuesto en el párrafo anterior no será aplicable a las pensiones extraordinarias del Régimen de Clases Pasivas del Estado y del sistema de la Seguridad Social originadas por actos terroristas, ni a las pensiones excepcionales derivadas de atentados terroristas, reconocidas al amparo del Real Decreto-ley 6/2006, de 23 de junio, ni a las pensiones reconocidas en virtud de la disposición adicional cuadragésima tercera de la Ley 62/2003, de 30 de diciembre, de Medidas Fiscales, Administrativas y del Orden Social.
b) Las pensiones de Clases Pasivas reconocidas a favor de los Camineros del Estado causadas antes del 1 de enero de 1985, con excepción de aquellas cuyo titular sólo percibiera esta pensión como tal caminero.
c) Las pensiones de las Mutualidades integradas en el Fondo Especial de la Mutualidad General de Funcionarios Civiles del Estado que, a 31 de diciembre de 2011, hubieran ya alcanzado las cuantías correspondientes al 31 de diciembre de 1973.
Dos. En el caso de Mutualidades, Montepíos o Entidades de Previsión Social de cualquier tipo que integren a personal de empresas o sociedades con participación mayoritaria del Estado, Comunidades Autónomas, Corporaciones Locales u Organismos autónomos y se financien con fondos procedentes de dichos órganos o entidades públicas, o en el caso de que éstos estén abonando directamente al personal incluido en la acción protectora de aquéllas pensiones complementarias por cualquier concepto sobre las que les correspondería abonar a los regímenes generales que sean de aplicación, las revalorizaciones a que se refiere el artículo 42 serán consideradas como límite máximo, pudiendo aplicarse coeficientes menores e, incluso, inferiores a la unidad, a dichas pensiones complementarias, de acuerdo con sus regulaciones propias o con los pactos que se produzcan.
Artículo 44. Limitación del importe de la revalorización de las pensiones públicas.
Uno. Para el año 2012 el importe de la revalorización de las pensiones públicas no podrá suponer un valor íntegro anual superior a 35.320,46 euros.
Dos. Cuando un mismo titular perciba dos o más pensiones públicas, la suma del importe anual íntegro de todas ellas, una vez revalorizadas las que procedan, no podrá superar el límite máximo señalado. Si lo superase, se minorará proporcionalmente la cuantía de la revalorización hasta absorber el exceso sobre dicho límite.
A tal efecto, cada entidad u organismo competente para revalorizar determinará el límite máximo de percepción anual para las pensiones a su cargo. Este límite consistirá en una cifra que guarde con la cuantía íntegra de 35.320,46 euros anuales la misma proporción que mantenga la pensión o pensiones con la suma de todas las pensiones públicas percibidas por el titular.
El referido límite (L) se obtendrá mediante la aplicación de la siguiente fórmula:

siendo «P» el valor íntegro teórico anual alcanzado a 31 de diciembre de 2011 por la pensión o pensiones a cargo del organismo o entidad competente, y «T» el resultado de añadir a la cifra anterior el valor íntegro anual de las restantes pensiones concurrentes del mismo titular en la misma fecha.
No obstante lo anterior, si alguna de las pensiones públicas que percibiese el interesado estuviera a cargo del Fondo Especial de una de las Mutualidades de Funcionarios incluidas en el artículo 42.1.c) de la Ley 37/1988, de 28 de diciembre, o se tratase de las pensiones no revalorizables a cargo de alguna de las Entidades a que se refiere el artículo 43.Dos de esta Ley, la aplicación de las reglas recogidas en los párrafos anteriores se adaptará reglamentariamente para alcanzar el límite máximo de percepción.
Tres. Lo dispuesto en los apartados Cuatro a Ocho, ambos inclusive, del precedente artículo 41 será aplicable cuando así proceda a los supuestos de revalorización de pensiones concurrentes.
Artículo 45. Reconocimiento de complementos para mínimos en las pensiones de Clases Pasivas.
Uno. De acuerdo con lo dispuesto en el artículo 27.2 del texto refundido de la Ley de Clases Pasivas del Estado, tendrán derecho a percibir los complementos económicos necesarios para alcanzar la cuantía mínima los pensionistas de Clases Pasivas del Estado que no perciban, durante 2012, ingresos de trabajo o de capital o que, percibiéndolos, no excedan de 6.993,14 euros al año. A tal efecto, se computarán entre tales ingresos las plusvalías o ganancias patrimoniales.
Para acreditar los ingresos de trabajo o de capital, se podrá exigir al pensionista una declaración de los mismos y, en su caso, la aportación de las declaraciones tributarias presentadas.
Se presumirá que concurren los requisitos establecidos en los párrafos anteriores cuando el interesado hubiera percibido durante 2011 ingresos por cuantía igual o inferior a 6.923,90 euros anuales. Esta presunción se podrá destruir, en su caso, por las pruebas obtenidas por la Administración.
A los solos efectos de garantía de complementos para mínimos, se equipararán a ingresos de trabajo las pensiones públicas que no estén a cargo de cualquiera de los regímenes públicos básicos de previsión social.
Cuando, de conformidad con las previsiones legales, se tenga reconocida una parte proporcional de la pensión de viudedad, el complemento para mínimos se aplicará, en su caso, en la misma proporción que se tuvo en cuenta para el reconocimiento de la pensión.
Los efectos económicos del reconocimiento de los complementos se retrotraerán al día 1 de enero del año en que se soliciten o a la fecha de inicio de la pensión, si ésta fuese posterior al 1 de enero.
No obstante, si la solicitud de tal reconocimiento se efectuara con ocasión de ejercitar el derecho al cobro de una pensión cuyo hecho causante se produjo en el ejercicio anterior, los efectos económicos podrán ser los de la fecha de inicio de la misma, con una retroactividad máxima de un año desde la solicitud.
Dos. Los reconocimientos de complementos económicos que se efectúen en 2012 por declaraciones del interesado tendrán carácter provisional hasta que se compruebe la realidad o efectividad de lo declarado.
La Administración podrá revisar periódicamente, de oficio o a instancia del interesado, las resoluciones de reconocimiento de complementos económicos, pudiendo suponer, en su caso, la exigencia del reintegro de lo percibido indebidamente por el titular de la pensión. Este reintegro podrá practicarse con cargo a las sucesivas mensualidades de pensión.
Tres. Durante 2012 las cuantías mínimas de las pensiones de Clases Pasivas quedan fijadas, en cómputo anual, en los importes siguientes:
|
Clase de pensión |
Importe |
||
|
Con cónyuge a cargo – Euros/año |
Sin cónyuge: Unidad económica unipersonal – Euros/año |
Con cónyuge no a cargo – Euros/año |
|
|
Pensión de jubilación o retiro. |
10.690,40 |
8.664,60 |
8.218,00 |
|
Pensión de viudedad. |
8.664,60 |
||
|
Pensión familiar distinta de la de viudedad, siendo N el número de beneficiarios de la pensión o pensiones. |
8.443,40 N |
||
Cuatro. Los complementos económicos regulados en los apartados precedentes de este artículo no se aplicarán a las pensiones reconocidas al amparo de la legislación especial derivada de la guerra civil, cuyas cuantías se fijan en el artículo 40 de esta Ley, excepto a las pensiones de orfandad reconocidas al amparo del Título II de la Ley 37/1984, de 22 de octubre, así como a las reconocidas a favor de huérfanos no incapacitados mayores de 21 años, causadas por personal no funcionario al amparo de las Leyes 5/1979, de 18 de septiembre, y 35/1980, de 26 de junio.
Artículo 46. Reconocimiento de los complementos para mínimos en las pensiones de la Seguridad Social.
Uno. En los términos que reglamentariamente se determinen, tendrán derecho a percibir los complementos necesarios para alcanzar la cuantía mínima de pensiones los pensionistas del sistema de la Seguridad Social, en su modalidad contributiva, que no perciban durante 2012 ingresos de capital o trabajo personal o que, percibiéndolos, no excedan de 6.993,14 euros al año. A tal efecto, también se computarán entre tales ingresos las plusvalías o ganancias patrimoniales.
Para acreditar las rentas e ingresos, la Entidad Gestora podrá exigir al pensionista una declaración de los mismos y, en su caso, la aportación de las declaraciones tributarias presentadas.
No obstante, los pensionistas del sistema de la Seguridad Social en su modalidad contributiva, que perciban ingresos por los conceptos indicados en cuantía superior a la cifra señalada en el párrafo primero de este apartado, tendrán derecho a un complemento por mínimos cuando la suma en cómputo anual de tales ingresos y de los correspondientes a la pensión ya revalorizada resulte inferior a la suma de 6.993,14 euros más el importe, en cómputo anual, de la cuantía mínima fijada para la clase de pensión de que se trate. En este caso, el complemento para mínimos consistirá en la diferencia entre los importes de ambas sumas, siempre que esta diferencia no determine para el interesado una percepción mensual conjunta de pensión y complemento por importe superior al de la cuantía mínima de pensión que corresponda en términos mensuales. A los solos efectos de garantía de complementos para mínimos, se equipararán a ingresos de trabajo las pensiones públicas que no estén a cargo de cualquiera de los regímenes públicos básicos de previsión social.
Las cantidades a tanto alzado y los pagos periódicos abonados, con carácter compensatorio, a los pensionistas españoles, al amparo del Acuerdo celebrado entre España y el Reino Unido, el 18 de septiembre de 2006, no se computarán a ningún efecto para el reconocimiento de los complementos para alcanzar la cuantía mínima de las pensiones.
Dos. Se presumirá que concurren los requisitos indicados en el número anterior cuando el interesado hubiera percibido durante el año 2011 ingresos por cuantía igual o inferior a 6.923,90 euros. Esta presunción podrá destruirse, en su caso, por las pruebas obtenidas por la Administración.
Tres. A efectos de lo previsto en este artículo, se considerará que existe cónyuge a cargo del titular de una pensión cuando aquél se halle conviviendo con el pensionista y dependa económicamente de él.
Se entenderá que existe dependencia económica cuando concurran las circunstancias siguientes:
a) Que el cónyuge del pensionista no sea, a su vez, titular de una pensión a cargo de un régimen básico público de previsión social, entendiendo comprendidos en dicho concepto los subsidios de garantía de ingresos mínimos y de ayuda por tercera persona, ambos de la Ley 13/1982, de 7 de abril, de Integración Social de los Minusválidos, y las pensiones asistenciales reguladas en la Ley 45/1960, de 21 de julio.
b) Que los rendimientos por cualquier naturaleza del pensionista y de su cónyuge, computados en la forma señalada en el apartado Uno de este artículo, resulten inferiores a 8.157,57 euros anuales.
Cuando la suma, en cómputo anual, de los rendimientos referidos en el párrafo anterior y del importe, también en cómputo anual, de la pensión que se vaya a complementar resulte inferior a la suma de 8.157,57 euros y de la cuantía anual de la pensión mínima con cónyuge a cargo de que se trate, se reconocerá un complemento igual a la diferencia, distribuido entre el número de mensualidades que corresponda.
Cuatro. A los efectos previstos en el apartado Uno de este artículo, los pensionistas del sistema de la Seguridad Social, en su modalidad contributiva, que tengan reconocido complemento por mínimos y hubiesen percibido durante el año 2011 ingresos de capital o trabajo personal que excedan de 6.923,90 euros, vendrán obligados a presentar declaración expresiva de la cuantía de dichos ingresos. El incumplimiento de esta obligación dará lugar al reintegro de las cantidades indebidamente percibidas por el pensionista, con los efectos y en la forma que reglamentariamente se determinen.
Cinco. Durante el año 2012, las cuantías mínimas de las pensiones del sistema de la Seguridad Social, en su modalidad contributiva, quedan fijadas, en cómputo anual, clase de pensión y requisitos concurrentes en el titular, en los importes siguientes:
|
Clase de pensión |
Titulares |
||
|
Con cónyuge a cargo – Euros/año |
Sin cónyuge: Unidad económica unipersonal – Euros/año |
Con cónyuge no a cargo – Euros/año |
|
|
Jubilación: |
|
|
|
|
Titular con sesenta y cinco años |
10.690,40 |
8.664,60 |
8.218,00 |
|
Titular menor de sesenta y cinco años |
10.018,40 |
8.104,60 |
7.658,00 |
|
Titular con 65 años procedente de gran invalidez |
16.035,60 |
12.997,60 |
12.327,00 |
|
Incapacidad Permanente: |
|
|
|
|
Gran invalidez |
16.035,60 |
12.997,60 |
12.327,00 |
|
Absoluta |
10.690,40 |
8.664,60 |
8.218,00 |
|
Total: Titular con sesenta y cinco años |
10.690,40 |
8.664,60 |
8.218,00 |
|
Total: Titular con edad entre sesenta y sesenta y cuatro años |
10.018,40 |
8.104,60 |
7.658,00 |
|
Total: Derivada de enfermedad común menor de sesenta años |
5.388,60 |
5.388,60 |
4.938,08 |
|
Parcial del régimen de accidentes de trabajo: Titular con sesenta y cinco años |
10.690,40 |
8.664,60 |
8.218,00 |
|
Viudedad: |
|
|
|
|
Titular con cargas familiares |
|
10.018,40 |
|
|
Titular con sesenta y cinco años o con discapacidad en grado igual o superior al 65 por 100 |
|
8.664,60 |
|
|
Titular con edad entre sesenta y sesenta y cuatro años |
|
8.104,60 |
|
|
Titular con menos de sesenta años |
|
6.559,00 |
|
|
|
|
|
|
|
Clase de pensión |
Euros/año |
|
Orfandad: |
|
|
Por beneficiario |
2.646,00 |
|
En la orfandad absoluta el mínimo se incrementará en 6.559,00 euros/año distribuidos, en su caso, entre los beneficiarios. |
|
|
Por beneficiario discapacitado menor de 18 años con una discapacidad en grado igual o superior al 65 por 100 |
5.206,60 |
|
En favor de familiares: |
|
|
Por beneficiario |
2.646,00 |
|
Si no existe viudo ni huérfano pensionistas: |
|
|
– Un solo beneficiario con sesenta y cinco años |
6.396,60 |
|
– Un solo beneficiario menor de sesenta y cinco años |
6.024,20 |
|
Varios beneficiarios: El mínimo asignado a cada uno de ellos se incrementará en el importe que resulte de prorratear 3.913,00 euros/año entre el número de beneficiarios. |
|
Otras disposiciones en materia de pensiones públicas
Artículo 47. Determinación inicial y revalorización de las pensiones no contributivas de la Seguridad Social.
Uno. Para el año 2012, la cuantía de las pensiones de jubilación e invalidez del sistema de la Seguridad Social, en su modalidad no contributiva, se fijará en 5.007,80 euros íntegros anuales.
Dos. Para el año 2012, se establece un complemento de pensión, fijado en 525 euros anuales, para el pensionista que acredite fehacientemente carecer de vivienda en propiedad y tener, como residencia habitual, una vivienda alquilada al pensionista cuyo propietario no tenga con él relación de parentesco hasta tercer grado, ni sea cónyuge o persona con la que constituya una unión estable y conviva con análoga relación de afectividad a la conyugal. En el caso de unidades familiares en las que convivan varios perceptores de pensiones no contributivas, sólo podrá percibir el complemento el titular del contrato de alquiler o, de ser varios, el primero de ellos.
Se autoriza al Gobierno a dictar las normas de desarrollo necesarias para regular el procedimiento de solicitud, reconocimiento y abono de este complemento, sin perjuicio de que el mismo surta efectos económicos desde el 1 de enero de 2012, o desde la fecha de reconocimiento de la pensión para aquellos pensionistas que vean reconocida la prestación durante 2012.
Artículo 48. Pensiones del extinguido Seguro Obligatorio de Vejez e Invalidez.
Uno. A partir del 1 de enero del año 2012, la cuantía de las pensiones del extinguido Seguro Obligatorio de Vejez e Invalidez, no concurrentes con otras pensiones públicas, queda fijada en cómputo anual en 5.539,80 euros.
A dichos efectos no se considerarán pensiones concurrentes la prestación económica reconocida al amparo de la Ley 3/2005, de 18 de marzo, a los ciudadanos de origen español desplazados al extranjero, durante su minoría de edad, como consecuencia de la guerra civil, ni la pensión percibida por los mutilados útiles o incapacitados de primer grado por causa de la pasada guerra civil española, cualquiera que fuese la legislación reguladora, ni el subsidio por ayuda de tercera persona previsto en la Ley 13/1982, de 7 de abril, de Integración Social de los Minusválidos, ni las pensiones extraordinarias derivadas de actos de terrorismo.
Dos. El importe de las pensiones de vejez o invalidez del extinguido Seguro Obligatorio de Vejez e Invalidez será, en cómputo anual, de 5.383,00 euros cuando concurran con pensiones de viudedad de alguno de los regímenes del sistema de la Seguridad Social, o con alguna de estas pensiones y, además, con cualquier otra pensión pública de viudedad, sin perjuicio de la aplicación, a la suma de los importes de todas ellas, del límite establecido en la disposición transitoria séptima del texto refundido de la Ley General de la Seguridad Social, salvo que los interesados tuvieran reconocidos importes superiores con anterioridad a 1 de septiembre de 2005, en cuyo caso se aplicarán las normas generales sobre revalorización, siempre que, por efecto de estas normas, la suma de las cuantías de las pensiones concurrentes siga siendo superior al mencionado límite.
Tres. Las pensiones del extinguido Seguro Obligatorio de Vejez e Invalidez no experimentarán revalorización en 2012 cuando entren en concurrencia con otras pensiones públicas diferentes a las mencionadas en el precedente apartado.
No obstante lo dispuesto en el párrafo anterior, cuando la suma en cómputo anual de todas las pensiones concurrentes, una vez revalorizadas, y las del referido Seguro Obligatorio de Vejez e Invalidez sea inferior a la cuantía fijada para la pensión de tal Seguro en el apartado Dos de este artículo, la pensión del Seguro Obligatorio de Vejez e Invalidez se revalorizará en un importe igual a la diferencia resultante entre ambas cantidades. Esta diferencia no tiene carácter consolidable, siendo absorbible con cualquier incremento que puedan experimentar las percepciones del interesado, ya sea en concepto de revalorizaciones o por reconocimiento de nuevas prestaciones de carácter periódico.
Cuatro. Cuando, para el reconocimiento de una pensión del extinguido Seguro Obligatorio de Vejez e Invalidez, se hayan totalizado períodos de seguro o de residencia cumplidos en otros países vinculados a España por norma internacional de Seguridad Social que prevea dicha totalización, el importe de la pensión prorrateada a cargo de España no podrá ser inferior al 50 por 100 de la cuantía de la pensión del Seguro Obligatorio de Vejez e Invalidez que en cada momento corresponda, según sean o no concurrentes.
Esta misma garantía se aplicará en relación con los titulares de otras pensiones distintas de las del extinguido Seguro Obligatorio de Vejez e Invalidez que opten por alguna de estas pensiones, siempre que en la fecha del hecho causante de la pensión que se venga percibiendo hubieran reunido todos los requisitos exigidos por dicho Seguro.
De las operaciones financieras
Uno. Se autoriza al Ministro de Economía y Competitividad para que incremente la Deuda del Estado, con la limitación de que el saldo vivo de la misma a 31 de diciembre del año 2012 no supere el correspondiente saldo a 1 de enero de 2012 en más de 35.325.404,19 miles de euros.
Dos. Este límite será efectivo al término del ejercicio, pudiendo ser sobrepasado en el curso del mismo, y quedará automáticamente revisado:
a) Por el importe de las modificaciones netas de créditos presupuestarios correspondientes a los capítulos I a VIII.
b) Por las desviaciones entre las previsiones de ingresos contenidas en la presente Ley y la evolución real de los mismos.
c) Por la diferencia entre los créditos presupuestarios totales de los capítulos I a VIII y el importe global de las obligaciones reconocidas de los citados capítulos en el ejercicio.
d) Por los anticipos de tesorería y la variación neta de las operaciones no presupuestarias previstas legalmente.
e) Por la variación neta en los derechos y las obligaciones del Estado reconocidos y pendientes de ingreso o pago.
Las citadas revisiones incrementarán o reducirán el límite señalado en el apartado anterior según supongan un aumento o una disminución, respectivamente, de la necesidad de financiación del Estado.
Artículo 50. Operaciones de crédito autorizadas a Organismos Públicos.
Uno. Se autoriza a los Organismos Públicos que figuran en el Anexo III de esta Ley a concertar operaciones de crédito durante el año 2012 por los importes que, para cada uno, figuran en el anexo citado.
Asimismo, se autoriza a las entidades públicas empresariales que figuran en ese mismo Anexo III a concertar operaciones de crédito durante el año 2012 por los importes que, para cada uno, figuran en dicho anexo. La autorización se refiere, en este caso, de acuerdo con lo establecido en el artículo 111.4 de la Ley General Presupuestaria, a las operaciones de crédito que no se concierten y cancelen dentro del año.
Dos. Los Organismos Públicos de Investigación dependientes del Ministerio de Economía y Competitividad (Instituto Nacional de Investigación y Tecnología Agraria y Alimentaria; Agencia Estatal Consejo Superior de Investigaciones Científicas; Instituto Geológico y Minero de España; Instituto de Salud Carlos III; Instituto de Astrofísica de Canarias; Instituto Español de Oceanografía; y Centro de Investigaciones Energéticas, Medioambientales y Tecnológicas), el Instituto Nacional de Técnica Aeroespacial Esteban Terradas, dependiente del Ministerio de Defensa, y la Universidad Nacional de Educación a Distancia, podrán concertar operaciones de crédito como consecuencia de los anticipos reembolsables que se les conceden con cargo a capítulo VIII del presupuesto del Ministerio de Economía y Competitividad o del Ministerio de Educación, Cultura y Deporte.
Esta autorización será aplicable únicamente a los anticipos que se concedan con el fin de facilitar la disponibilidad de fondos para el pago de la parte de los gastos que, una vez justificados, se financien con cargo al Fondo Europeo de Desarrollo Regional.
Tres. Los Organismos dependientes del Ministerio de Agricultura, Alimentación y Medio Ambiente que figuran en el citado Anexo III, con carácter previo a la concertación de las operaciones correspondientes y a fin de verificar el destino del endeudamiento, deberán solicitar autorización de la Secretaria de Estado de Presupuestos y Gastos, aportando un plan económico-financiero justificativo de la operación, incluidos los supuestos en que el endeudamiento se solicite para cubrir déficits de Tesorería que se produzcan por desfase entre los pagos que realice el Organismo en actuaciones cofinanciadas con Fondos Europeos y los retornos comunitarios correspondientes a dichos pagos.
Artículo 51. Información de la evolución de la Deuda del Estado al Ministerio de Economía y Competitividad y al Congreso de los Diputados y al Senado; y de las cuentas abiertas por el Tesoro en el Banco de España o en otras entidades financieras al Congreso de los Diputados y al Senado.
Los Organismos públicos que tienen a su cargo la gestión de la Deuda del Estado o asumida por éste, aun cuando lo asumido sea únicamente la carga financiera, remitirán a la Secretaría General del Tesoro y Política Financiera del Ministerio de Economía y Competitividad la siguiente información: trimestralmente, sobre los pagos efectuados y sobre la situación de la Deuda el día último del trimestre, y al comienzo de cada año, sobre la previsión de gastos financieros y amortizaciones para el ejercicio.
El Gobierno comunicará trimestralmente a las Comisiones de Presupuestos del Congreso de los Diputados y del Senado el saldo detallado de las operaciones financieras concertadas por el Estado y los Organismos Autónomos.
Asimismo, el Gobierno comunicará trimestralmente el número de cuentas abiertas por el Tesoro en el Banco de España o en otras entidades financieras, así como los importes y la evolución de los saldos.
De acuerdo con lo dispuesto en el artículo 53.2 de la Ley 9/2012, de 14 de noviembre, de reestructuración y resolución de entidades de crédito, el límite de recursos ajenos obtenidos por el FROB durante el ejercicio presupuestario de 2012, será de 120.000 millones de euros.
Avales Públicos y Otras Garantías
Artículo 52. Importe de los Avales del Estado.
Uno. [4] El importe máximo de los avales a otorgar por el Estado durante el ejercicio del año 2012 no podrá exceder de 313.278.560 miles de euros.
Dos. Dentro del total señalado en el apartado anterior, se reservan los siguientes importes:
a) 92.543.560 miles de euros para garantizar las obligaciones económicas exigibles a la sociedad denominada «Facilidad Europea de Estabilización Financiera», derivadas de las emisiones de instrumentos financieros, de la concertación de operaciones de préstamo y crédito, así como de cualesquiera otras operaciones de financiación que realice dicha sociedad de acuerdo con lo establecido en el Real Decreto-ley 9/2010, de 28 de mayo, por el que se autoriza a la Administración General del Estado al otorgamiento de avales a determinadas operaciones de financiación en el marco del Mecanismo Europeo de Estabilización Financiera de los Estados miembros de la Zona del Euro.
b) [5] 96.235.000 miles de euros para el otorgamiento de avales a las obligaciones económicas derivadas de las emisiones de bonos y obligaciones que realicen las entidades de crédito residentes en España con una actividad significativa en el mercado de crédito nacional, de los cuales 55.000.000 miles de euros se reservan para aquellos avales que se otorguen a partir de la entrada en vigor de esta Ley y que se regulan en el artículo 52 bis.
c) [6] 3.000.000 miles de euros para los avales destinados a garantizar valores de renta fija emitidos por fondos de titulización de activos que se regulan en el artículo 53.
d) 66.000.000 miles de euros para garantizar las obligaciones económicas exigibles al Fondo de Reestructuración Ordenada Bancaria, derivadas de las operaciones previstas en el artículo 2.5 del Real Decreto-ley 9/2009, de 26 de junio, sobre reestructuración bancaria y reforzamiento de los recursos propios de las entidades de crédito.
e) [7] 55.000.000 miles de euros para el otorgamiento de avales a las obligaciones económicas derivadas de las emisiones de obligaciones y valores que realice la Sociedad de Gestión de Activos Procedentes de la Reestructuración Bancaria a la que se refiere la Disposición adicional séptima de la Ley 9/2012, de 14 de noviembre, de reestructuración y resolución de entidades de crédito. El aval garantizará el principal de la emisión de los intereses ordinarios.
Tres. Dentro del importe de 500.000 miles de euros no reservados en el apartado anterior, se establece un límite máximo de 40.000 miles de euros para garantizar las obligaciones derivadas de operaciones de crédito concertadas por empresas navieras domiciliadas en España destinadas a la renovación y modernización de la flota mercante española mediante la adquisición por compra, por arrendamiento con opción a compra o por arrendamiento financiero con opción a compra, de buques mercantes nuevos, en construcción o usados cuya antigüedad máxima sea de cinco años.
Las solicitudes de aval que se presenten transcurridos seis meses desde la fecha de formalización de la adquisición del buque no podrán ser tenidas en cuenta.
La efectividad del aval que sea otorgado con anterioridad a la formalización de la adquisición del buque quedará condicionada a que dicha formalización se produzca dentro de los seis meses siguientes a la fecha de notificación del otorgamiento del aval.
El importe avalado no podrá superar el 35% del precio total del buque financiado.
Las condiciones de los préstamos asegurables bajo este sistema serán, como máximo, las establecidas en el Real Decreto 442/1994, de 11 de marzo, sobre primas y financiación a la construcción naval, o disposiciones posteriores que lo modifiquen.
En todo caso, la autorización de avales se basará en una evaluación de la viabilidad económico-financiera de la operación y del riesgo.
Las solicitudes, otorgamiento y condiciones de estos avales se regirán conforme a lo establecido en la presente Ley y en la Orden PRE/2986/2008, de 14 de octubre, por la que se publica el Acuerdo de la Comisión Delegada del Gobierno para Asuntos Económicos por el que se establece el procedimiento para la concesión de avales del Estado para la financiación de operaciones de crédito destinadas a la renovación y modernización de la flota mercante española, o en las disposiciones posteriores que la modifiquen.
Cuatro. [8] Se autoriza a la Secretaría General del Tesoro y Política Financiera para que, en la ejecución de los avales del Estado a los que se refieren los apartados dos.b) y dos.e) de este mismo artículo, el apartado dos.b) de la Ley 39/2010, de 22 de diciembre, de Presupuestos Generales del Estado para el año 2011 y el artículo 1 del Real Decreto-ley 7/2008, de 13 de octubre, de Medidas Urgentes en Materia Económico-Financiera en relación con el Plan de Acción Concertada de los Países de la Zona Euro, pueda efectuar los pagos correspondientes a las obligaciones garantizadas mediante operaciones de tesorería con cargo al concepto específico establecido a tal fin.
Con posterioridad a su realización, la Secretaría General del Tesoro y Política Financiera procederá a la aplicación definitiva al presupuesto de gastos de los pagos realizados en el ejercicio, salvo los efectuados en el mes de diciembre de cada año, que se aplicarán al presupuesto en el año siguiente.»
Artículo 52 bis. Avales para garantizar emisiones de bonos y obligaciones de las entidades de crédito. [9]
Uno. La Administración General del Estado podrá otorgar avales hasta el 15 de diciembre de 2012, por importe máximo de 55.000.000 miles de euros, a las obligaciones económicas derivadas de las emisiones de bonos y obligaciones nuevas que realicen las entidades de crédito con domicilio social en España y que, a juicio del Banco de España, sean solventes y presenten necesidades coyunturales de liquidez.
Para poder obtener el aval de la Administración General del Estado, la entidad solicitante deberá, además, alcanzar, individual o conjuntamente con el resto de entidades de su grupo consolidable, una cuota de, al menos, el uno por mil del total de la partida 2.4. «Préstamos y créditos. Otros sectores» correspondiente a Residentes en España del último estado UEM 1 (Balance resumido. Negocios en España) publicado en el Boletín Estadístico del Banco de España. Asimismo, en el caso de entidades de crédito con domicilio social en España que hayan cedido la gestión de su liquidez en el mercado interbancario de modo sistemático a otra entidad con la que tengan un acuerdo de compensación contractual, podrá solicitar el aval la entidad que tenga asignada dicha gestión.
Dentro de cada grupo consolidable, el aval de la Administración General del Estado se otorgará, en su caso, a las operaciones realizadas por las entidades solicitantes.
Dos. Con carácter previo al otorgamiento de aval se solicitará informe al Banco de España sobre el cumplimiento de los requisitos establecidos en el apartado anterior. El otorgamiento estará condicionado a la existencia de remanente de límite de aval en el momento de presentación de la solicitud.
El aval se otorgará con renuncia al beneficio de excusión del artículo 1830 del Código Civil y carácter irrevocable e incondicional, en los términos que establezcan las órdenes de otorgamiento. El aval garantizará el principal de la emisión y los intereses ordinarios.
Tres. De producirse la ejecución del aval, siempre que la misma se inste dentro de los 5 días naturales siguientes a la fecha de vencimiento de la obligación garantizada, el Estado satisfará una compensación a los titulares legítimos de los valores garantizados, sin perjuicio de las cantidades que deba abonar en virtud del aval. El importe de esta compensación será el resultante de aplicar al pago en el que consista la ejecución del aval el tipo de interés Euro Over Night Index Average publicado por el Banco de España o el que, en su caso, determine el Ministro de Economía y Competitividad, del día del vencimiento de la obligación garantizada por el número de días que transcurran entre esta fecha y la de pago efectivo por el avalista, sobre la base de un año de 360 días.
La Secretaría General del Tesoro y Política Financiera comunicará la ejecución del aval al Banco de España por si procediese adoptar alguna de las medidas contenidas, entre otras disposiciones, en la Ley 26/1988, de 29 de julio, sobre Disciplina e Intervención de las Entidades de Crédito.
Cuatro. Los avales otorgados por la Administración General del Estado devengarán, a favor de la misma, las siguientes comisiones:
a) El otorgamiento de aval devengará una comisión del 0,5% del total otorgado, que liquidará la Secretaría General del Tesoro y Política Financiera y cuyo pago deberá ser acreditado por la entidad con carácter previo a la formalización del aval por parte del Ministro de Economía y Competitividad.
b) Cada emisión avalada de bonos o de obligaciones devengará una comisión de emisión, cuyo pago deberá acreditar la entidad emisora antes de proceder a la emisión. Los importes satisfechos en concepto de comisión de otorgamiento de aval se deducirán íntegramente de esta comisión de emisión. Los criterios para el cálculo de las comisiones de emisión se establecerán por resolución de la Secretaría General del Tesoro y Política Financiera de acuerdo con las directrices para el cálculo de los precios de las garantías recogidas en la Comunicación de la Comisión Europea de 1 de diciembre de 2011 sobre la aplicación, a partir del 1 de enero de 2012, de las normas sobre ayudas estatales a las medidas de apoyo a los bancos en el contexto de la crisis financiera.
Cinco. Las solicitudes podrán presentarse ante la Secretaría General del Tesoro y Política Financiera antes del 5 de diciembre de 2012. Dicha Secretaría General del Tesoro y Política Financiera aprobará el modelo de solicitud mediante resolución
Artículo 53. Avales para garantizar valores de renta fija emitidos por Fondos de Titulización de activos.
Uno. El Estado podrá otorgar avales hasta una cuantía máxima, durante el ejercicio de 2012, de 3.000.000 miles de euros, con el objeto de garantizar valores de renta fija emitidos por fondos de titulización de activos constituidos al amparo de los convenios que suscriban la Administración General del Estado y las sociedades gestoras de fondos de titulización de activos inscritas en la Comisión Nacional del Mercado de Valores, con el fin de mejorar la financiación de la actividad productiva empresarial.
Los activos cedidos al fondo de titulización serán préstamos o créditos concedidos a todo tipo de empresas no financieras domiciliadas en España. No obstante, el activo cedido correspondiente a un mismo sector, de acuerdo con el nivel de división de la Clasificación Nacional de Actividades Económicas 2009, no podrá superar el 25 por ciento del total del activo cedido al fondo de titulización.
Los fondos de titulización de activos se podrán constituir con carácter abierto, en el sentido del artículo 4 del Real Decreto 926/1998, de 14 de mayo, por el que se regula los fondos de titulización de activos y las sociedades gestoras de fondos de titulización, por un período máximo de dos años desde su constitución, siempre y cuando los activos cedidos al fondo de titulización sean préstamos o créditos concedidos a partir del 1 de enero de 2008.
Para la constitución de un fondo de titulización, las entidades de crédito interesadas deberán ceder préstamos y créditos concedidos a todo tipo de empresas no financieras domiciliadas en España. Al menos, el 50 por ciento del saldo vivo de los préstamos y créditos cedidos deberán tener un plazo de amortización inicial no inferior a un año y haber sido concedidos a pequeñas y medianas empresas.
La entidad que ceda los préstamos y créditos deberá reinvertir la liquidez obtenida como consecuencia del proceso de titulización en préstamos o créditos concedidos a todo tipo de empresas no financieras domiciliadas en España, de las que, al menos, el 80 por ciento sean pequeñas y medianas empresas. La reinversión deberá realizarse, al menos, el 50 por ciento, en el plazo de un año a contar desde la efectiva disposición de la liquidez, y el resto en el plazo de dos años. A estos efectos, se entenderá por liquidez obtenida, el importe de los activos que la entidad cede al fondo de titulización en el momento de su constitución así como, en su caso, en las posteriores cesiones que se realicen como consecuencia del carácter abierto del fondo, durante el período anteriormente indicado de dos años.
Dos. El importe vivo acumulado de todos los avales otorgados por el Estado a valores de renta fija emitidos por los fondos de titulización de activos señalados en el apartado anterior no podrá exceder de 11.000.000 miles de euros a 31 de diciembre de 2012.
Tres. El otorgamiento de los avales señalados en el apartado 1 de este artículo deberá ser acordado por el Ministerio de Economía y Competitividad, con ocasión de la constitución del fondo y previa tramitación del preceptivo expediente.
Cuatro. Las Sociedades Gestoras de fondos de titulización de activos deberán remitir a la Secretaría General del Tesoro y Política Financiera la información necesaria para el control del riesgo asumido por parte del Estado en virtud de los avales, en particular la referente al volumen total del principal pendiente de amortización de los valores de renta fija emitidos por los fondos de titulización de activos y a la tasa de activos impagados o fallidos de la cartera titulizada.
Cinco. La constitución de los fondos de titulización de activos a que se refieren los apartados anteriores estará exenta de todo arancel notarial y, en su caso, registral.
Seis. Se autoriza a la Secretaría General del Tesoro y Política Financiera para que, en la ejecución de los avales del Estado a los que se refiere el presente artículo y los otorgados en ejercicios anteriores, pueda efectuar los pagos correspondientes a las obligaciones garantizadas mediante operaciones no presupuestarias con cargo al concepto específico que cree a tal fin.
Con posterioridad a su realización, la Secretaría General del Tesoro y Política Financiera procederá a la aplicación definitiva al presupuesto de gastos de los pagos realizados en el ejercicio, salvo los efectuados al final del ejercicio, que se aplicarán al presupuesto en el año siguiente.
Siete. Se faculta al titular del Ministerio de Economía y Competitividad para que establezca las normas y requisitos a los que se ajustarán los convenios a que hace mención el apartado 1 de este artículo.
Artículo 54. Avales de las entidades públicas empresariales y sociedades mercantiles estatales.
Se autoriza a la Sociedad Estatal de Participaciones Industriales a prestar avales en el ejercicio del año 2012, en relación con las operaciones de crédito que concierten y con las obligaciones derivadas de concursos de adjudicación en que participen durante el citado ejercicio las sociedades mercantiles en cuyo capital participe directa o indirectamente, hasta un límite máximo de 1.210.000 miles de euros.
Relaciones del Estado con el Instituto de Crédito Oficial
Artículo 55. Fondo para la Promoción del Desarrollo (FONPRODE).
Uno. La dotación al Fondo para la Promoción del Desarrollo ascenderá en el año 2012 a 285.230 miles de euros, con cargo a la aplicación presupuestaria 12.03.143A. 874 «Fondo para la Promoción del Desarrollo (FONPRODE)» que se destinarán a los fines previstos en el art. 2 de la Ley 36/2010, de 22 de octubre, del Fondo para la Promoción del Desarrollo.
Dos. El Consejo de Ministros podrá autorizar operaciones con cargo al FONPRODE por un importe de hasta 420.000 miles de euros a lo largo del año 2012. Dentro de este límite de 420.000 miles de euros, se podrán autorizar hasta 135.000 miles de euros en operaciones que por su carácter no reembolsable conlleven ajuste en el déficit público.
Tres. De acuerdo con lo establecido en el artículo 13.2 de la Ley 36/2010, de 22 de octubre, del Fondo para la Promoción del Desarrollo, se establecen los siguientes límites anuales:
Para las operaciones relacionadas en el artículo 2.1.a), b), c) y d): 135.000 miles de euros.
Para las operaciones a que se refiere el artículo 2.1.e): 285.000 miles de euros.
Quedan expresamente excluidas de estas limitaciones las operaciones de refinanciación de créditos concedidos con anterioridad con cargo al Fondo que se lleven a cabo en cumplimiento de los oportunos acuerdos bilaterales o multilaterales de renegociación de la deuda exterior de los países prestatarios, en los que España sea parte.
Cuatro. Serán recursos adicionales a la dotación prevista para el FONPRODE todos los retornos procedentes de sus activos y que tengan su origen en operaciones aprobadas a iniciativa del Ministerio de Asuntos Exteriores y de Cooperación. Serán igualmente recursos del fondo, los importes depositados en las cuentas corrientes del FONPRODE, así como aquellos importes fiscalizados y depositados en la Dirección General del Tesoro a nombre de FONPRODE con cargo a dotaciones presupuestarias de anteriores ejercicios, con independencia de su origen. Estos recursos podrán ser utilizados para atender cualquier compromiso, cuya aprobación con cargo al FONPRODE haya sido realizada de acuerdo con los procedimientos previstos en la normativa aplicable al Fondo.
Cinco. La compensación anual al ICO establecida en el artículo 14 de la Ley 13/2010, de 22 de octubre, del Fondo para la Promoción del Desarrollo, será efectuada con cargo a los recursos del propio FONPRODE, previa autorización por acuerdo del Consejo de Ministros, por los gastos en los que incurra en el desarrollo y ejecución de la función que se le encomienda.
Artículo 56. Fondo de Cooperación para Agua y Saneamiento.
La dotación al Fondo de Cooperación para Agua y Saneamiento a que se refiere la disposición adicional sexagésima primera de la Ley 51/2007, de 26 de diciembre, de Presupuestos Generales del Estado para 2008, ascenderá, en el año 2012 a 15.000 miles de euros y se destinará a los fines previstos en el apartado tres de dicha disposición adicional.
El Consejo de Ministros podrá autorizar operaciones con cargo al Fondo por un importe de hasta 15.000 miles de euros a lo largo del año 2012.
El Gobierno informará al Congreso y al Senado durante el primer semestre del año, de las operaciones autorizadas por el Consejo de Ministros con cargo a este Fondo del año anterior.
Artículo 57. Fondo para la Internacionalización de la Empresa (FIEM).
Uno. La dotación al Fondo para la Internacionalización de la empresa ascenderá en el año 2012 a 261.000 miles de euros con cargo a la aplicación presupuestaria 27.09.431A.871 «Fondo para la Internacionalización de la empresa (FIEM)», que se destinarán a los fines previstos en el artículo 4 de la Ley 11/2010 de 28 de junio, de reforma del sistema de apoyo financiero a la internacionalización de la empresa española.
Dos. Se podrán autorizar operaciones con cargo al FIEM por un importe de hasta 500.000 miles de euros a lo largo del año 2012.
Quedan expresamente excluidas de esta limitación las operaciones de refinanciación de créditos concedidos con anterioridad con cargo al Fondo que se lleven a cabo en cumplimiento de los oportunos acuerdos bilaterales o multilaterales de renegociación de la deuda exterior de los países prestatarios, en los que España sea parte.
El Consejo de Ministros podrá autorizar proyectos individuales de especial relevancia para la internacionalización atendiendo a su importe, acordando en su caso la imputación de parte del proyecto dentro del límite previsto en el párrafo anterior, quedando los sucesivos importes del proyecto para imputación en ejercicios posteriores, dentro de los límites previstos en las correspondientes leyes de presupuestos anuales.
Durante el año 2012 no se podrán autorizar con cargo al FIEM operaciones de carácter no reembolsable.
Tres. Serán recursos adicionales a la dotación prevista para el FIEM, los retornos que tengan lugar durante el ejercicio económico 2012 y que tengan su origen en operaciones del FIEM o en operaciones aprobadas con cargo al Fondo de Ayuda al Desarrollo, a iniciativa del Ministerio de Economía y Competitividad.
Cuatro. La compensación anual al ICO establecida en el artículo 11.4 de la Ley 11/2010, de 28 de junio, de Reforma del sistema de apoyo financiero a la internacionalización de la empresa española, será efectuada con cargo a los recursos del propio FIEM, previa autorización por acuerdo del Consejo de Ministros, por los gastos en los que incurra en el desarrollo y ejecución de la función que se le encomienda.
Cinco. El Gobierno informará anualmente a las Cortes Generales y al Consejo Económico y Social de las operaciones, proyectos y actividades autorizadas con cargo al FIEM, de sus objetivos y beneficiarios de la financiación, condiciones financieras y evaluaciones, así como sobre el desarrollo de las operaciones en curso a lo largo del periodo contemplado.
Artículo 58. Reembolsos del Estado al Instituto de Crédito Oficial.
Uno. Reembolsos del Estado al Instituto de Crédito Oficial como consecuencia de la gestión de sistema CARI. El Estado reembolsará durante el año 2012 al Instituto de Crédito Oficial tanto las cantidades que éste hubiera satisfecho a las instituciones financieras en pago de las operaciones de ajuste de intereses previstas en la Ley 11/1983, de 16 de agosto, de Medidas financieras de estímulo a la exportación, como los costes de gestión de dichas operaciones en que aquél haya incurrido.
Para este propósito, la dotación para el año 2012 al sistema C.A.R.I (Convenio de Ajuste Recíproco de Intereses), será la que figure en la partida presupuestaria 27.09.431A.444.
En el caso de que existan saldos positivos del sistema a favor del Instituto de Crédito Oficial a 31 de diciembre del año 2012, una vez deducidos los costes de gestión en los que haya incurrido el ICO, éstos se ingresarán en Tesoro.
Dentro del conjunto de operaciones de ajuste de intereses aprobadas a lo largo del ejercicio 2012, el importe de los créditos a la exportación a que se refiere el artículo 4.2 del Reglamento aprobado por el Real Decreto 677/1993, de 7 de mayo, que podrán ser aprobados durante el año 2012, asciende a 480.000 miles de euros.
Con la finalidad de optimizar la gestión financiera de las operaciones de ajuste recíproco de intereses, el Instituto de Crédito Oficial podrá, con cargo a los mismos ingresos y dotaciones señaladas en el párrafo anterior y conforme a sus Estatutos y normas de actuación, concertar por sí o a través de agentes financieros de intermediación, operaciones de intercambio financiero que tengan por objeto cubrir el riesgo que para el Tesoro pueda suponer la evolución de los tipos de interés, previo informe favorable de la Secretaría General del Tesoro y Política Financiera y autorización de la Dirección General de Comercio e Inversiones del Ministerio de Economía y Competitividad.
Dos. Reembolsos del Estado al Instituto de Crédito Oficial como consecuencia de otras actividades:
En los supuestos de intereses subvencionados por el Estado, en operaciones financieras instrumentadas a través del Instituto de Crédito Oficial, los acuerdos del Consejo de Ministros o de la Comisión Delegada del Gobierno para Asuntos Económicos incluirán información acerca de la reserva de créditos en los Presupuestos Generales del Estado.
Artículo 59. Adquisición de acciones y participaciones de Organismos Financieros Multilaterales.
Uno. Durante el año 2012 el límite máximo de las operaciones de adquisición de acciones y participaciones de Organismos Financieros Multilaterales o de aportaciones a fondos constituidos en los mismos, con impacto en déficit público y financiadas con cargo a las aplicaciones presupuestarias 27.04.923O.869 y 27.06.923P.869 «De Organismos Financieros Multilaterales» será de 125.000 miles de euros.
Dos. A efectos del cumplimiento del límite previsto en el apartado anterior la Secretaría General del Tesoro y Política Financiera y la Dirección General de Análisis Macroeconómico y Economía Internacional acompañarán a las propuestas de financiación con cargo a dichas aplicaciones presupuestarias un informe sobre su impacto en el déficit público, que será elaborado previa la correspondiente solicitud por la Intervención General de la Administración del Estado.
Tres. Trimestralmente el Ministerio de Economía y Competitividad informará al Ministerio de Hacienda y Administraciones Públicas sobre la ejecución de las operaciones realizadas a efectos de verificar el cumplimiento del límite regulado en el apartado uno.
Impuesto sobre la Renta de las Personas Físicas
Artículo 60. Coeficientes de actualización del valor de adquisición.
Uno. A efectos de lo previsto en el apartado 2 del artículo 35 de la Ley 35/2006, de 28 de noviembre, del Impuesto sobre la Renta de las Personas Físicas y de modificación parcial de las leyes de los Impuestos sobre Sociedades, sobre la Renta de no Residentes y sobre el Patrimonio, para las transmisiones de bienes inmuebles no afectos a actividades económicas que se efectúen durante el año 2012, los coeficientes de actualización del valor de adquisición serán los siguientes:
|
Año de adquisición |
Coeficiente |
|
1994 y anteriores |
1,3037 |
|
1995 |
1,3773 |
|
1996 |
1,3302 |
|
1997 |
1,3037 |
|
1998 |
1,2784 |
|
1999 |
1,2554 |
|
2000 |
1,2313 |
|
2001 |
1,2071 |
|
2002 |
1,1834 |
|
2003 |
1,1603 |
|
2004 |
1,1375 |
|
2005 |
1,1151 |
|
2006 |
1,0933 |
|
2007 |
1,0719 |
|
2008 |
1,0509 |
|
2009 |
1,0303 |
|
2010 |
1,0201 |
|
2011 |
1,0100 |
|
2012 |
1,0000 |
No obstante, cuando las inversiones se hubieran efectuado el 31 de diciembre de 1994, será de aplicación el coeficiente 1,3773.
La aplicación de un coeficiente distinto de la unidad exigirá que la inversión hubiese sido realizada con más de un año de antelación a la fecha de la transmisión del bien inmueble.
Dos. A efectos de la actualización del valor de adquisición prevista en el apartado anterior, los coeficientes aplicables a los bienes inmuebles afectos a actividades económicas serán los previstos para el Impuesto sobre Sociedades en el artículo 62 de esta Ley.
Tres. Tratándose de elementos patrimoniales actualizados de acuerdo con lo previsto en el artículo 5 del Real Decreto-ley 7/1996, de 7 de junio, sobre medidas urgentes de carácter fiscal y de fomento y liberalización de la actividad económica, se aplicarán las siguientes reglas:
1.ª Los coeficientes de actualización a que se refiere el apartado anterior se aplicarán sobre el precio de adquisición y sobre las amortizaciones contabilizadas correspondientes al mismo, sin tomar en consideración el importe del incremento neto del valor resultante de las operaciones de actualización.
2.ª La diferencia entre las cantidades determinadas por la aplicación de lo establecido en el número anterior se minorará en el importe del valor anterior del elemento patrimonial.
Para determinar el valor anterior del elemento patrimonial actualizado se tomarán los valores que hayan sido considerados a los efectos de aplicar los coeficientes de actualización.
3.ª El importe que resulte de las operaciones descritas en el número anterior se minorará en el incremento neto de valor derivado de las operaciones de actualización previstas en el Real Decreto-ley 7/1996, siendo la diferencia positiva así determinada el importe de la depreciación monetaria.
4.ª La ganancia o pérdida patrimonial será el resultado de minorar la diferencia entre el valor de transmisión y el valor contable en el importe de la depreciación monetaria a que se refiere el número anterior.
Artículo 61. Gravamen complementario a la cuota íntegra estatal para la reducción del déficit público en los ejercicios 2012 y 2013.
Con efectos desde 1 de enero de 2012, se añade una disposición adicional trigésima quinta en la Ley 35/2006, de 28 de noviembre, del Impuesto sobre la Renta de las Personas Físicas y de modificación parcial de las leyes de los Impuestos sobre Sociedades, sobre la Renta de no Residentes y sobre el Patrimonio, que queda redactada de la siguiente forma:
«Disposición adicional trigésima quinta. Gravamen complementario a la cuota íntegra estatal para la reducción del déficit público en los ejercicios 2012 y 2013.
1. En los períodos impositivos 2012 y 2013, la cuota íntegra estatal a que se refiere el artículo 62 de esta Ley se incrementará en los siguientes importes:
a) El resultante de aplicar a la base liquidable general los tipos de la siguiente escala:
|
Base liquidable general – Hasta euros |
Incremento en cuota íntegra estatal – Euros |
Resto base liquidable general – Hasta euros |
Tipo aplicable – Porcentaje |
|
0 |
0 |
17.707,20 |
0,75 |
|
17.707,20 |
132,80 |
15.300,00 |
2 |
|
33.007,20 |
438,80 |
20.400,00 |
3 |
|
53.407,20 |
1.050,80 |
66.593,00 |
4 |
|
120.000,20 |
3.714,52 |
55.000,00 |
5 |
|
175.000,20 |
6.464,52 |
125.000,00 |
6 |
|
300.000,20 |
13.964,52 |
En adelante |
7 |
La cuantía resultante se minorará en el importe derivado de aplicar a la parte de la base liquidable general correspondiente al mínimo personal y familiar a que se refiere el artículo 56 de esta Ley, la escala prevista en esta letra a).
Cuando el contribuyente satisfaga anualidades por alimentos a sus hijos por decisión judicial y el importe de aquéllas sea inferior a la base liquidable general, aplicará la escala prevista en esta letra a) separadamente al importe de las anualidades por alimentos y al resto de la base liquidable general. La cuantía total resultante se minorará en el importe derivado de aplicar la escala prevista en esta letra a) a la parte de la base liquidable general correspondiente al mínimo personal y familiar incrementado en 1.600 euros anuales, sin que el resultado de esta minoración pueda resultar negativo.
b) El resultante de aplicar a la base liquidable del ahorro, en la parte que no corresponda, en su caso, con el mínimo personal y familiar a que se refiere el artículo 56 de esta Ley, los tipos de la siguiente escala:
|
Base liquidable del ahorro – Hasta euros |
Incremento en cuota íntegra estatal – Euros |
Resto base liquidable del ahorro – Hasta euros |
Tipo aplicable – Porcentaje |
|
0 |
0 |
6.000 |
2 |
|
6.000,00 |
120 |
18.000 |
4 |
|
24.000,00 |
840 |
En adelante |
6 |
2. En los períodos impositivos 2012 y 2013, la cuota de retención a que se refieren los apartados 1 y 2 del artículo 85 del Reglamento del Impuesto sobre la Renta de las Personas Físicas, se incrementará en el importe resultante de aplicar a la base para calcular el tipo de retención los tipos previstos en la siguiente escala:
|
Base para calcular el tipo de retención – Hasta euros |
Cuota de retención – Euros |
Resto base para calcular el tipo de retención – Hasta euros |
Tipo aplicable – Porcentaje |
|
0 |
0 |
17.707,20 |
0,75 |
|
17.707,20 |
132,80 |
15.300,00 |
2 |
|
33.007,20 |
438,80 |
20.400,00 |
3 |
|
53.407,20 |
1.050,80 |
66.593,00 |
4 |
|
120.000,20 |
3.714,52 |
55.000,00 |
5 |
|
175.000,20 |
6.464,52 |
125.000,00 |
6 |
|
300.000,20 |
13.964,52 |
En adelante |
7 |
La cuantía resultante se minorará en el importe derivado de aplicar al importe del mínimo personal y familiar para calcular el tipo de retención a que se refiere el artículo 84 del Reglamento del Impuesto, la escala prevista en este apartado, sin que el resultado de esta minoración pueda resultar negativo.
Cuando el perceptor de rendimientos del trabajo satisfaga anualidades por alimentos en favor de los hijos por decisión judicial, siempre que su importe sea inferior a la base para calcular el tipo de retención, se aplicará la escala prevista en este apartado separadamente al importe de dichas anualidades y al resto de la base para calcular el tipo de retención. La cuantía total resultante se minorará en el importe derivado de aplicar la escala prevista en este apartado al importe del mínimo personal y familiar para calcular el tipo de retención incrementado en 1.600 euros anuales, sin que el resultado de esta minoración pueda resultar negativo.
En ningún caso, cuando se produzcan regularizaciones en los citados períodos impositivos, el nuevo tipo de retención aplicable podrá ser superior al 52 por ciento. El citado porcentaje será el 26 por ciento cuando la totalidad de los rendimientos del trabajo se hubiesen obtenido en Ceuta y Melilla y se beneficien de la deducción prevista en el artículo 68.4 de esta Ley.
Reglamentariamente podrán modificarse las cuantías y porcentajes previstos en este apartado.
3. Las retenciones e ingresos a cuenta a practicar sobre los rendimientos del trabajo que se satisfagan o abonen durante el mes de enero de 2012, correspondientes a dicho mes, y a los que resulte de aplicación el procedimiento general de retención a que se refieren los artículos 80.1.1.º y 82 del Reglamento del Impuesto sobre la Renta de las Personas Físicas, deberán realizarse sin tomar en consideración lo dispuesto en el apartado 2 anterior.
En los rendimientos que se satisfagan o abonen a partir del 1 de febrero de 2012, siempre que no se trate de rendimientos correspondientes al mes de enero, el pagador deberá calcular el tipo de retención tomando en consideración lo dispuesto en el apartado 2 anterior, practicándose la regularización del mismo, si procede, de acuerdo con lo señalado en el Reglamento del Impuesto sobre la Renta de las Personas Físicas, en los primeros rendimientos del trabajo que se satisfaga o abone.
4. En los períodos impositivos 2012 y 2013, los porcentajes de pagos a cuenta del 19 por ciento previstos en el artículo 101 de esta Ley y el porcentaje del ingreso a cuenta a que se refiere el artículo 92.8 de esta Ley, se elevan al 21 por ciento.
Asimismo, durante los períodos a que se refiere el párrafo anterior, el porcentaje de retención del 35 por ciento previsto en el apartado 2 del artículo 101 de esta Ley, se eleva al 42 por ciento.»
Artículo 62. Coeficientes de corrección monetaria.
Uno. Con efectos para los períodos impositivos que se inicien durante 2012, los coeficientes previstos en el artículo 15.9.a) del texto refundido de la Ley del Impuesto sobre Sociedades, aprobado por el Real Decreto Legislativo 4/2004, de 5 de marzo, en función del momento de adquisición del elemento patrimonial transmitido, serán los siguientes:
|
|
Coeficiente |
|
Con anterioridad a 1 de enero de 1984 |
2,2946 |
|
En el ejercicio 1984 |
2,0836 |
|
En el ejercicio 1985 |
1,9243 |
|
En el ejercicio 1986 |
1,8116 |
|
En el ejercicio 1987 |
1,7258 |
|
En el ejercicio 1988 |
1,6487 |
|
En el ejercicio 1989 |
1,5768 |
|
En el ejercicio 1990 |
1,5151 |
|
En el ejercicio 1991 |
1,4633 |
|
En el ejercicio 1992 |
1,4309 |
|
En el ejercicio 1993 |
1,4122 |
|
En el ejercicio 1994 |
1,3867 |
|
En el ejercicio 1995 |
1,3312 |
|
En el ejercicio 1996 |
1,2679 |
|
En el ejercicio 1997 |
1,2396 |
|
En el ejercicio 1998 |
1,2235 |
|
En el ejercicio 1999 |
1,2150 |
|
En el ejercicio 2000 |
1,2089 |
|
En el ejercicio 2001 |
1,1839 |
|
En el ejercicio 2002 |
1,1696 |
|
En el ejercicio 2003 |
1,1499 |
|
En el ejercicio 2004 |
1,1389 |
|
En el ejercicio 2005 |
1,1238 |
|
En el ejercicio 2006 |
1,1017 |
|
En el ejercicio 2007 |
1,0781 |
|
En el ejercicio 2008 |
1,0446 |
|
En el ejercicio 2009 |
1,0221 |
|
En el ejercicio 2010 |
1,0100 |
|
En el ejercicio 2011 |
1,0100 |
|
En el ejercicio 2012 |
1,0000 |
Dos. Los coeficientes se aplicarán de la siguiente manera:
a) Sobre el precio de adquisición o coste de producción, atendiendo al año de adquisición o producción del elemento patrimonial. El coeficiente aplicable a las mejoras será el correspondiente al año en que se hubiesen realizado.
b) Sobre las amortizaciones contabilizadas, atendiendo al año en que se realizaron.
Tres. Tratándose de elementos patrimoniales actualizados de acuerdo con lo previsto en el artículo 5 del Real Decreto-ley 7/1996, de 7 de junio, los coeficientes se aplicarán sobre el precio de adquisición y sobre las amortizaciones contabilizadas correspondientes al mismo, sin tomar en consideración el importe del incremento neto de valor resultante de las operaciones de actualización.
La diferencia entre las cantidades determinadas por la aplicación de lo establecido en el apartado anterior se minorará en el importe del valor anterior del elemento patrimonial y al resultado se aplicará, en cuanto proceda, el coeficiente a que se refiere la letra c) del apartado 9 del artículo 15 del texto refundido de la Ley del Impuesto sobre Sociedades.
El importe que resulte de las operaciones descritas en el párrafo anterior se minorará en el incremento neto de valor derivado de las operaciones de actualización previstas en el Real Decreto-ley 7/1996, siendo la diferencia positiva así determinada el importe de la depreciación monetaria a que hace referencia el apartado 9 del artículo 15 del texto refundido de la Ley del Impuesto sobre Sociedades.
Para determinar el valor anterior del elemento patrimonial actualizado se tomarán los valores que hayan sido considerados a los efectos de aplicar los coeficientes establecidos en el apartado uno.
Artículo 63. Pago fraccionado del Impuesto sobre Sociedades.
Respecto de los períodos impositivos que se inicien durante el año 2012, el porcentaje a que se refiere el apartado 4 del artículo 45 del texto refundido de la Ley del Impuesto sobre Sociedades, aprobado por el Real Decreto Legislativo 4/2004, de 5 de marzo, será el 18 por ciento para la modalidad de pago fraccionado prevista en el apartado 2 del mismo. Las deducciones y bonificaciones a las que se refiere dicho apartado incluirán todas aquellas otras que le fueren de aplicación al sujeto pasivo.
Para la modalidad prevista en el apartado 3 del artículo 45 del texto refundido de la Ley del Impuesto sobre Sociedades, el porcentaje será el resultado de multiplicar por cinco séptimos el tipo de gravamen redondeado por defecto.
Estarán obligados a aplicar la modalidad a que se refiere el párrafo anterior los sujetos pasivos cuyo volumen de operaciones, calculado conforme a lo dispuesto en el artículo 121 de la Ley 37/1992, de 28 de diciembre, del Impuesto sobre el Valor Añadido, haya superado la cantidad de 6.010.121,04 euros durante los doce meses anteriores a la fecha en que se inicien los períodos impositivos dentro del año 2012.
A efectos de la aplicación de la modalidad de pago fraccionado prevista en el apartado 3 del artículo 45 del texto refundido de la Ley del Impuesto sobre Sociedades, deberá tenerse en cuenta lo dispuesto en el artículo 9.Primero.Uno del Real Decreto-ley 9/2011, de 19 de agosto, de medidas para la mejora de la calidad y cohesión del sistema nacional de salud, de contribución a la consolidación fiscal, y de elevación del importe máximo de los avales del Estado para 2011.
Artículo 64. Porcentajes de retención o ingreso a cuenta en los ejercicios 2012 y 2013.
Con efectos desde 1 de enero de 2012 y vigencia indefinida, se añade una disposición adicional decimocuarta en el texto refundido de la Ley del Impuesto sobre Sociedades, aprobado por el Real Decreto Legislativo 4/2004, de 5 de marzo, que queda redactada de la siguiente forma:
«Disposición adicional decimocuarta. Porcentajes de retención o ingreso a cuenta en los ejercicios 2012 y 2013.
Desde el 1 de enero de 2012 y hasta el 31 de diciembre de 2013, ambos inclusive, el porcentaje de retención o ingreso a cuenta del 19 por ciento a que se refiere la letra a) del apartado 6 del artículo 140 de esta Ley se eleva al 21 por 100.»
Impuesto sobre la Renta de no Residentes
Con efectos desde la entrada en vigor de esta Ley y vigencia indefinida, se modifica la letra h) del apartado 1 del artículo 14 del texto refundido de la Ley del Impuesto sobre la Renta de no Residentes, aprobado por el Real Decreto Legislativo 5/2004, de 5 de marzo, que queda redactada de la siguiente forma:
«h) Los beneficios distribuidos por las sociedades filiales residentes en territorio español a sus sociedades matrices residentes en otros Estados miembros de la Unión Europea o a los establecimientos permanentes de estas últimas situados en otros Estados miembros, cuando concurran los siguientes requisitos:
1.º Que ambas sociedades estén sujetas y no exentas a alguno de los tributos que gravan los beneficios de las entidades jurídicas en los Estados miembros de la Unión Europea, mencionados en el artículo 2.c) de la Directiva 90/435/CEE del Consejo, de 23 de julio de 1990, relativa al régimen aplicable a las sociedades matrices y filiales de Estados miembros diferentes, y los establecimientos permanentes estén sujetos y no exentos a imposición en el Estado en el que estén situados.
2.º Que la distribución del beneficio no sea consecuencia de la liquidación de la sociedad filial.
3.º Que ambas sociedades revistan alguna de las formas previstas en el anexo de la Directiva 90/435/CEE del Consejo, de 23 de julio de 1990, relativa al régimen aplicable a las sociedades matrices y filiales de Estados miembros diferentes, modificada por la Directiva 2003/123/CE del Consejo, de 22 de diciembre de 2003.
Tendrá la consideración de sociedad matriz aquella entidad que posea en el capital de otra sociedad una participación directa o indirecta de, al menos, el 5 por ciento. Esta última tendrá la consideración de sociedad filial. La mencionada participación deberá haberse mantenido de forma ininterrumpida durante el año anterior al día en que sea exigible el beneficio que se distribuya o, en su defecto, que se mantenga durante el tiempo que sea necesario para completar un año. En este último caso, la cuota tributaria ingresada será devuelta una vez cumplido dicho plazo.
También tendrá la consideración de sociedad matriz aquella entidad que habiendo tenido el mencionado porcentaje de participación pero, sin haberse transmitido la participación, este porcentaje tenido se haya reducido hasta un mínimo del 3 por ciento como consecuencia de que la sociedad filial haya realizado una operación acogida al régimen fiscal especial establecido en el Capítulo VIII del Título VII del texto refundido de la Ley del Impuesto sobre Sociedades, aprobado por Real Decreto Legislativo 4/2004, de 5 de marzo, o una operación en el ámbito de ofertas públicas de adquisición de valores. Esta consideración se mantendrá dentro del plazo de tres años desde la realización de la operación en tanto que en el ejercicio correspondiente a la distribución de los dividendos no se transmita totalmente la participación o ésta quede por debajo del porcentaje mínimo exigido del 3 por ciento.
La residencia se determinará con arreglo a la legislación del Estado miembro que corresponda, sin perjuicio de lo establecido en los convenios para evitar la doble imposición.
No obstante lo previsto anteriormente, el Ministro de Hacienda y Administraciones Públicas podrá declarar, a condición de reciprocidad, que lo establecido en esta letra h) sea de aplicación a las sociedades filiales que revistan una forma jurídica diferente de las previstas en el anexo de la directiva y a los dividendos distribuidos a una sociedad matriz que posea en el capital de una sociedad filial residente en España una participación directa o indirecta de, al menos, el 5 por ciento, o el 3 por ciento en el caso de una operación acogida al régimen fiscal especial establecido en el Capítulo VIII del Título VII del texto refundido de la Ley del Impuesto sobre Sociedades, aprobado por Real Decreto Legislativo 4/2004, de 5 de marzo, o una operación en el ámbito de ofertas públicas de adquisición de valores, siempre que se cumplan las restantes condiciones establecidas en esta letra h).
Lo establecido en esta letra h) no será de aplicación cuando la mayoría de los derechos de voto de la sociedad matriz se posea, directa o indirectamente, por personas físicas o jurídicas que no residan en Estados miembros de la Unión Europea, excepto cuando aquélla realice efectivamente una actividad empresarial directamente relacionada con la actividad empresarial desarrollada por la sociedad filial o tenga por objeto la dirección y gestión de la sociedad filial mediante la adecuada organización de medios materiales y personales o pruebe que se ha constituido por motivos económicos válidos y no para disfrutar indebidamente del régimen previsto en esta letra h).
Lo dispuesto en esta letra h) se aplicará igualmente a los beneficios distribuidos por las sociedades filiales residentes en territorio español a sus sociedades matrices residentes en los Estados integrantes del Espacio Económico Europeo o a los establecimientos permanentes de estas últimas situados en otros Estados integrantes, cuando concurran los siguientes requisitos:
1.º Los Estados integrantes del Espacio Económico Europeo donde residan las sociedades filiales hayan suscrito con España un convenio para evitar la doble imposición internacional con cláusula de intercambio de información o un acuerdo de intercambio de información en materia tributaria.
2.º Se trate de sociedades sujetas y no exentas a un tributo equivalente a los que gravan los beneficios de las entidades jurídicas en los Estados miembros de la Unión Europea, mencionados en el artículo 2.c) de la Directiva 90/435/CEE del Consejo, de 23 de julio de 1990, relativa al régimen aplicable a las sociedades matrices y filiales de Estados miembros diferentes, y los establecimientos permanentes estén sujetos y no exentos a imposición en el Estado en el que estén situados.
3.º Las sociedades matrices residentes en los Estados integrantes del Espacio Económico Europeo revistan alguna forma equivalente a las previstas en el anexo de la Directiva 90/435/CEE del Consejo, de 23 de julio de 1990, relativa al régimen aplicable a las sociedades matrices y filiales de Estados miembros diferentes, modificada por la Directiva 2003/123/CE del Consejo, de 22 de diciembre de 2003.
4.º Se cumplan los restantes requisitos establecidos en esta letra h).»
Artículo 66. Tipo de gravamen en los ejercicios 2012 y 2013.
Se añade una disposición adicional tercera en el texto refundido de la Ley del Impuesto sobre la Renta de no Residentes, aprobado por el Real Decreto Legislativo 5/2004, de 5 marzo, que queda redactada de la siguiente forma:
«Disposición adicional tercera. Tipo de gravamen del Impuesto en los ejercicios 2012 y 2013.
Desde el 1 de enero de 2012 y hasta el 31 de diciembre de 2013, ambos inclusive, los tipos de gravamen del 19 por ciento a que se refieren los artículos 19.2 y 25.1.f) de esta Ley se elevan al 21 por 100.
Asimismo, durante el período a que se refiere el párrafo anterior, el tipo de gravamen del 24 por ciento previsto en el artículo 25.1.a) de esta Ley se eleva al 24,75 por ciento.»
Impuesto sobre el Valor Añadido
Artículo 67. Adquisiciones intracomunitarias de gas, electricidad, calor y frío.
Con efectos desde la entrada en vigor de esta Ley y vigencia indefinida, se modifica la letra g) del número 1.º del artículo 13 de la Ley 37/1992, de 28 de diciembre, del Impuesto sobre el Valor Añadido, que queda redactada de la siguiente forma:
«g) Las adquisiciones de bienes que se correspondan con las entregas de gas a través de una red de gas natural situada en el territorio de la Comunidad o de cualquier red conectada a dicha red, las entregas de electricidad o las entregas de calor o de frío a través de las redes de calefacción o de refrigeración que se entiendan realizadas en el territorio de aplicación del impuesto de acuerdo con el apartado siete del artículo 68.»
Artículo 68. Servicios de restauración y catering.
Con efectos desde la entrada en vigor de esta Ley y vigencia indefinida, se modifica la letra A) del número 5.º del apartado uno del artículo 70 de la Ley 37/1992, de 28 de diciembre, del Impuesto sobre el Valor Añadido, que queda redactada de la siguiente forma:
«5.ºA) Los de restauración y catering en los siguientes supuestos:
a) Los prestados a bordo de un buque, de un avión o de un tren, en el curso de la parte de un transporte de pasajeros realizado en la Comunidad cuyo lugar de inicio se encuentre en el territorio de aplicación del Impuesto.
Cuando se trate de un transporte de ida y vuelta, el trayecto de vuelta se considerará como un transporte distinto.
b) Los restantes servicios de restauración y catering cuando se presten materialmente en el territorio de aplicación del Impuesto.»
Artículo 69. Sujeto pasivo en las adquisiciones intracomunitarias de gas, electricidad, calor y frío.
Con efectos desde la entrada en vigor de esta Ley y vigencia indefinida, se modifica el número 4.º del apartado uno del artículo 84 de la Ley 37/1992, de 28 de diciembre, del Impuesto sobre el Valor Añadido, que queda redactado de la siguiente forma:
«4.º Sin perjuicio de lo dispuesto en los números anteriores, los empresarios o profesionales, así como las personas jurídicas que no actúen como empresarios o profesionales, que sean destinatarios de entregas de gas y electricidad o las entregas de calor o de frío a través de las redes de calefacción o de refrigeración que se entiendan realizadas en el territorio de aplicación del impuesto conforme a lo dispuesto en el apartado siete del artículo 68, siempre que la entrega la efectúe un empresario o profesional no establecido en el citado territorio y le hayan comunicado el número de identificación que a efectos del Impuesto sobre el Valor Añadido tengan asignado por la Administración española.»
Impuesto sobre Transmisiones Patrimoniales y Actos Jurídicos Documentados
Artículo 70. Escala por transmisiones y rehabilitaciones de grandezas y títulos nobiliarios.
Con efectos desde la entrada en vigor de esta Ley, la escala a que hace referencia el párrafo primero del artículo 43 del texto refundido de la Ley del Impuesto sobre Transmisiones Patrimoniales y Actos Jurídicos Documentados, aprobado por el Real Decreto Legislativo 1/1993, de 24 de septiembre, será la siguiente:
|
Escala |
Transmisiones directas – Euros |
Transmisiones transversales – Euros |
Rehabilitaciones y reconocimiento de títulos extranjeros – Euros |
|
1.º Por cada título con grandeza |
2.620 |
6.567 |
15.745 |
|
2.º Por cada grandeza sin título |
1.873 |
4.695 |
11.240 |
|
3.º Por cada título sin grandeza |
746 |
1.873 |
4.506 |
Artículo 71. Modificación de las definiciones de gasolina sin plomo.
Con efectos desde la entrada en vigor de esta Ley, se modifica el epígrafe 1.2.1 de la Tarifa 1.ª del Impuesto sobre Hidrocarburos, contenido en el artículo 50.1 de la Ley 38/1992, de 28 de diciembre, de Impuestos Especiales, que queda redactado de la siguiente forma:
«Epígrafe 1.2.1 Gasolinas sin plomo de 98 I.O. o de octanaje superior: 431,92 euros por 1.000 litros.»
Artículo 72. Adaptación a la normativa comunitaria.
Con efectos desde la entrada en vigor de esta Ley, se modifica el epígrafe 1.11 de la Tarifa 1.ª del Impuesto sobre Hidrocarburos, contenido en el artículo 50.1 de la Ley 38/1992, de 28 de diciembre, de Impuestos Especiales, que queda redactado de la siguiente forma:
«Epígrafe 1.11 Queroseno para uso general: 306 euros por 1.000 litros.»
Uno. Se elevan, a partir de la entrada en vigor de esta Ley, los tipos de cuantía fija de las tasas de la Hacienda estatal hasta la cuantía que resulte de la aplicación del coeficiente 1,01 al importe exigible durante el año 2011, teniendo en cuenta lo dispuesto por el artículo 83.Uno de la Ley 39/2010, de 22 de diciembre, de Presupuestos Generales del Estado para el año 2011.
Se exceptúan de lo previsto en el párrafo anterior las tasas que hubieran sido creadas u objeto de actualización específica por normas dictadas en el año 2011.
Las tasas exigibles por la Jefatura Central de Tráfico se ajustarán, una vez aplicado el coeficiente anteriormente indicado, al múltiplo de 20 céntimos de euro más cercano; cuando el importe a ajustar sea múltiplo de 10 céntimos de euro se elevará al múltiplo de 20 céntimos de euro inmediato superior a aquel.
Dos. Se consideran tipos de cuantía fija aquellos que no se determinen por un porcentaje de la base o cuya base no se valore en unidades monetarias.
Tres. Se mantienen para el año 2012 los tipos y cuantías fijas establecidos en el apartado 4 del artículo 3 del Real Decreto-ley 16/1977, de 25 de febrero, por el que se regulan los aspectos penales, administrativos y fiscales de los juegos de suerte, envite o azar, en el importe exigible durante el año 2011, de acuerdo con lo establecido en el artículo 83.Cuatro de la Ley 39/2010, de 22 de diciembre, de Presupuestos Generales del Estado para el año 2011.
Artículo 74. Tasas en materia de telecomunicaciones.
Para el año 2012, los parámetros y porcentajes que en las tasas en materia de telecomunicaciones deben fijarse anualmente en la Ley de Presupuestos Generales del Estado, son los establecidos en el artículo 9 del Real Decreto-ley 20/2011, de 30 de diciembre, de medidas urgentes en materia presupuestaria, tributaria y financiera para la corrección del déficit público.
Artículo 75. Tasa del Instituto de Contabilidad y Auditoría de Cuentas por emisión de informes de auditoría de cuentas.
Con efectos desde la entrada en vigor de esta Ley y vigencia indefinida, se modifica el apartado 4 del artículo 44 del texto refundido de la Ley de Auditoría de Cuentas aprobado mediante Real Decreto Legislativo 1/2011, de 1 de julio, que pasa a tener la siguiente redacción:
«4. La cuota tributaria de esta tasa consistirá en una cantidad fija de 94,20 euros por cada informe de auditoría emitido y 188,40 euros por cada informe de auditoría sobre una Entidad de Interés Público en el caso de que el importe de los honorarios facturados por el informe de auditoría sea inferior o igual a 30.000 euros.
Dicha cuantía fija será de 188,40 euros por cada informe de auditoría emitido y 376,80 euros por cada informe de auditoría sobre una Entidad de Interés Público, en el caso de que el importe de los honorarios facturados por el informe de auditoría sea superior a 30.000 euros.
A estos efectos, se entiende por Entidad de Interés Público lo establecido en el artículo 2.5 del texto refundido de la Ley de Auditoría de Cuentas aprobado por Real Decreto Legislativo 1/2011 de 1 de julio.»
Artículo 76. Tasa aproximación.
No obstante lo dispuesto en el artículo 73, se mantienen para el año 2012 las cuantías de la tasa de aproximación en el importe exigible durante el año 2011 de acuerdo con lo establecido en el artículo 86 de la Ley 39/2010, de 22 de diciembre, de Presupuestos Generales del Estado para el año 2011, modificadas, con efectos desde el 8 de junio de 2011, por la Ley 1/2011, de 4 de marzo, apartados veinticinco y veintiséis.
Artículo 77. Cuantías básicas de las tasas aplicables al sistema portuario de interés general.
De acuerdo con lo previsto en la disposición adicional vigésima segunda del Texto Refundido de la Ley de Puertos del Estado y de la Marina Mercante, aprobado por Real Decreto Legislativo 2/2011, de 5 de septiembre, las cuantías básicas de las tasas del buque, del pasaje, de la mercancía, de las embarcaciones deportivas y de recreo, de la tasa por utilización de la zona de tránsito, de la tasa de ayudas a la navegación y de la tarifa fija por el servicio de recepción de desechos generados por buques, establecidas en la citada norma, se mantienen sin actualización alguna, sin perjuicio del régimen de actualización propio establecido en la referida norma para la tasa de ocupación y la tasa de actividad.
Artículo 78. Coeficientes correctores de aplicación a las tasas del buque, del pasaje y de la mercancía en los puertos de interés general.
Los coeficientes correctores previstos en el artículo 166 del Texto Refundido de la Ley de Puertos del Estado y de la Marina Mercante, aprobado por Real Decreto Legislativo 2/2011, de 5 de septiembre, a aplicar por las Autoridades Portuarias a las tasas del buque, de la mercancía y del pasaje, serán los indicados en el siguiente cuadro:
|
Autoridad portuaria |
Tasa buque |
Tasa mercancía |
Tasa pasaje |
|
A Coruña |
1,30 |
1,30 |
1,05 |
|
Alicante |
1,30 |
1,30 |
1,30 |
|
Almería |
1,20 |
1,20 |
1,20 |
|
Avilés |
1,20 |
1,10 |
1,00 |
|
Bahía de Algeciras |
1,00 |
1,00 |
0,98 |
|
Bahía de Cádiz |
1,18 |
1,18 |
1,10 |
|
Baleares |
1,00 |
0,95 |
1,00 |
|
Barcelona |
1,00 |
1,00 |
1,00 |
|
Bilbao |
1,00 |
1,00 |
1,00 |
|
Cartagena |
0,95 |
1,00 |
0,80 |
|
Castellón |
1,00 |
1,10 |
1,00 |
|
Ceuta |
1,30 |
1,30 |
1,30 |
|
Ferrol San Cibrao |
1,10 |
1,03 |
0,92 |
|
Gijón |
1,30 |
1,30 |
1,10 |
|
Huelva |
1,00 |
0,98 |
0,87 |
|
Las Palmas |
1,20 |
1,23 |
1,30 |
|
Málaga |
1,20 |
1,30 |
1,30 |
|
Marín y Ría de Pontevedra |
1,10 |
1,10 |
1,00 |
|
Melilla |
1,30 |
1,30 |
1,30 |
|
Motril |
1,30 |
1,30 |
1,10 |
|
Pasajes |
1,20 |
1,10 |
1,00 |
|
Sta. Cruz de Tenerife |
1,20 |
1,30 |
1,30 |
|
Santander |
1,00 |
1,00 |
1,00 |
|
Sevilla |
1,18 |
1,18 |
1,10 |
|
Tarragona |
0,95 |
1,00 |
0,80 |
|
Valencia |
1,17 |
1,15 |
1,00 |
|
Vigo |
1,10 |
1,20 |
1,00 |
|
Villagarcía |
1,20 |
1,20 |
1,00 |
Artículo 79. Bonificaciones aplicables en los puertos de interés general a las tasas de ocupación, del buque, del pasaje y de la mercancía.
Las bonificaciones previstas en los artículos 182 y 245 del Texto Refundido de la Ley de Puertos del Estado y de la Marina Mercante, aprobado por Real Decreto Legislativo 2/2011, de 5 de septiembre, a aplicar por las Autoridades Portuarias a las tasas de ocupación, del buque, de la mercancía y del pasaje y, en su caso, sus condiciones de aplicación, serán las indicadas en el Anexo IX de esta Ley.
Los volúmenes de tráfico portuario que se contemplan en dicho Anexo, cuando se utilicen para determinar el inicio de la aplicación de una bonificación o para establecer el tipo porcentual aplicable en función de su evolución, habrán de computarse desde el 1 de enero del presente año, sin perjuicio de que la bonificación resultante en cada caso habrá de aplicarse a las tasas que se devenguen por las operaciones portuarias que se realicen a partir de la fecha de entrada en vigor de esta Ley, salvo que expresamente se determine lo contrario en dicho Anexo.
Artículo 80. Actualización de los precios básicos del canon de control de vertidos.
Con efectos desde la entrada en vigor de esta Ley y vigencia indefinida, de conformidad con lo previsto en el apartado 3 del artículo 113 del texto refundido de la Ley de Aguas, aprobado por Real Decreto Legislativo 1/2001, de 20 de julio, el precio básico por metro cúbico para el agua residual urbana se fija en 0,01653 euros y para el agua residual industrial en 0,04132 euros.
Artículo 81. Tasa por la solicitud de inscripción de diferentes actos en el Registro administrativo especial de mediadores de seguros, corredores de reaseguros y de sus altos cargos.
Con efectos desde la entrada en vigor de esta Ley y vigencia indefinida, se modifica el apartado 4 de la disposición adicional cuarta de la Ley 26/2006, de 17 de julio, de mediación de seguros y reaseguros privados, que queda redactado en los siguientes términos:
«4. La cuantía de la tasa será:
a) Por la inscripción de un agente de seguros exclusivo o de un auxiliar-asesor, persona física, una cuota fija de 13 euros.
b) Por la inscripción de un agente de seguros vinculado, de un corredor de seguros o de reaseguros, personas físicas, una cuota fija de 69 euros.
c) Por la inscripción de una sociedad de agencia de seguros o de un operador de banca-seguros, ya sean exclusivos o vinculados, de una sociedad de correduría de seguros o de reaseguros o de un auxiliar-asesor persona jurídica, una cuota fija de 162 euros.
d) Una cuota fija de 13 euros por cada alto cargo por la inscripción de cargos de administración y de dirección responsables de las actividades de mediación de seguros o de reaseguros de las sociedades de agencia de seguros o de los operadores de banca-seguros, ya sean exclusivos o vinculados, de correduría de seguros o de correduría de reaseguros, y por la inscripción de cargos de administración y de dirección de los auxiliares-asesores.
e) Por la inscripción de cualquier otro acto inscribible o por la modificación de los inscritos, una cuota fija de 13 euros por cada uno de ellos.
f) Por la expedición de certificados relativos a la información incluida en el mencionado registro, una cuota fija de 13 euros.»
Revisión cuatrienal del ámbito subjetivo de aplicación de los modelos de financiación
Uno. En virtud de lo dispuesto en el artículo 126 del texto refundido de la Ley reguladora de las Haciendas Locales, aprobado por Real Decreto Legislativo 2/2004, de 5 de marzo, a 1 de enero de 2012 procede revisar el conjunto de municipios que se incluirán en los ámbitos subjetivos de aplicación de los artículos 111 y 122 de la mencionada norma, teniendo en cuenta la población de derecho según el Padrón de la población municipal vigente a 1 de enero de 2012 y aprobado oficialmente por el Gobierno.
Dos. En virtud de lo dispuesto en los artículos 122, 125 y 126 del texto refundido de la Ley reguladora de las Haciendas Locales, aprobado por Real Decreto Legislativo 2/2004, de 5 de marzo, a 1 de enero de 2012 se debe revisar el conjunto de municipios que tendrán la consideración de municipios turísticos, teniendo en cuenta la población de derecho en los términos citados en el apartado anterior.
Se considerará el año 2012 como ejercicio inicial de referencia a efectos de la aplicación del artículo 125.4 del mencionado texto refundido a aquellos municipios que a 1 de enero de 2012 cumplan, por vez primera, las condiciones del apartado 1 de dicho precepto.
Artículo 83. Determinación del Fondo Complementario de Financiación del año base 2004 de los municipios que se incluirán por vez primera en el modelo de cesión de recaudación de impuestos del Estado.
Uno. Para cada uno de los municipios a los que se refiere este precepto la participación en el Fondo Complementario de Financiación correspondiente al año 2012 se calculará deduciendo el importe correspondiente a la cesión del rendimiento recaudatorio de impuestos estatales determinado con arreglo a lo establecido en los artículos 86, 87, 88 y 89 de la participación total que resulta de incrementar la participación en tributos del Estado del año 2011 en el índice de evolución establecido con arreglo a lo dispuesto en el artículo 121 del texto refundido de la Ley reguladora de las Haciendas Locales, aprobado por Real Decreto Legislativo 2/2004, de 5 de marzo:
PIE2012m = PIE2011m × IE2012/2011
PFC2012m = PIE2012m – PIRPF2012m – PIVA2012m – ∑PIIEE(h)2012m
Representando:
PIE2011m y PIE2012m la participación total en los ingresos del Estado correspondiente al municipio m en el año 2011, último en el que se le ha aplicado el modelo definido en los artículos 122 a 124 del citado texto refundido, y en el año 2012, primero en el que se le aplicará el modelo de cesión de la recaudación de impuestos estatales, respectivamente, sin incluir las compensaciones derivadas de la reforma del Impuesto sobre Actividades Económicas.
IE2012/2011 el índice de evolución de los ingresos tributarios del Estado entre los años 2011 y 2012.
PFC2012m la participación del municipio m en el Fondo Complementario de Financiación en el año 2012, sin incluir las compensaciones derivadas de la reforma del Impuesto sobre Actividades Económicas.
PIRPF2012m, PIVA2012m y PIIEE(h)2012m importes de los rendimientos recaudatorios cedidos al municipio m en relación con los Impuestos sobre la Renta de las Personas Físicas, sobre el Valor Añadido y con el conjunto de Impuestos Especiales sobre Alcohol y Bebidas Alcohólicas, sobre las Labores del Tabaco y sobre Hidrocarburos, correspondientes al año 2012 y determinados con arreglo a lo dispuesto en los artículos 115, 116 y 117 del texto refundido de la Ley reguladora de las Haciendas Locales, aprobado por Real Decreto Legislativo 2/2004, de 5 de marzo.
Dos. La participación en el Fondo Complementario de Financiación correspondiente al año base 2004 se calculará a partir de la participación en el Fondo Complementario de Financiación del año 2012 aplicando la siguiente fórmula:
PFC2004m = PFC2012m / IE2012/2004
Siendo:
PFC2004m y PFC2012m, la Participación en el Fondo Complementario de Financiación del municipio m en los años 2004 y 2012, respectivamente, sin considerar las compensaciones derivadas de la reforma del Impuesto sobre Actividades Económicas.
IE2012/2004 el índice de evolución de los ingresos tributarios del Estado entre el año base 2004 y el año 2012.
Artículo 84. Determinación de la participación total en los tributos del Estado del año base 2004 de todos los municipios no incluidos el 1 de enero de 2012 en el modelo de cesión de la recaudación de impuestos estatales.
Uno. A los efectos de la aplicación del modelo de participación en los tributos del Estado a los municipios no incluidos el 1 de enero de 2012 en el modelo de cesión de la recaudación de impuestos estatales, la participación total del año base 2004 correspondiente a todos ellos se determinará con arreglo a lo dispuesto en los apartados siguientes.
Dos. La participación total en los tributos del Estado del año base 2004 de los municipios incluidos, en dicho ejercicio, en el ámbito subjetivo del artículo 122 del texto refundido de la Ley reguladora de las Haciendas Locales aprobado por Real Decreto Legislativo 2/2004, de 5 de marzo, teniendo en cuenta lo dispuesto en el artículo 85 de la Ley 51/2007, de 26 de diciembre, de Presupuestos Generales del Estado para el año 2008, se disminuirá en la parte que corresponda a los municipios que, como consecuencia de la revisión establecida en el artículo 82 de la presente Ley, pasen a estar incluidos a partir del 1 de enero de 2012 en el modelo de cesión de rendimientos recaudatorios de impuestos del Estado.
A estos efectos, se considerará la participación total que les corresponda como consecuencia de la liquidación definitiva del año 2011, en aplicación del modelo de financiación definido en los artículos 122 a 124 del texto refundido de la Ley reguladora de las Haciendas Locales, aprobado por Real Decreto Legislativo 2/2004, de 5 de marzo, sin considerar las compensaciones derivadas de la reforma del Impuesto sobre Actividades Económicas. Dicha participación total se convertirá a valores del año base 2004 aplicando el índice de evolución correspondiente según el artículo 123 del texto refundido de la Ley reguladora de las Haciendas Locales aprobado por Real Decreto Legislativo 2/2004, de 5 de marzo.
Tres. Asimismo la participación total en los tributos del Estado del año base 2004 de los municipios incluidos, en dicho ejercicio, en el ámbito subjetivo del artículo 122 del texto refundido de la Ley reguladora de las Haciendas Locales aprobado por Real Decreto Legislativo 2/2004, de 5 de marzo, teniendo en cuenta lo dispuesto en el artículo 85 de la Ley 51/2007, de 26 de diciembre, de Presupuestos Generales del Estado para el año 2008, se incrementará en la parte que corresponda a los municipios que, como consecuencia de la revisión establecida en el artículo 82 de la presente Ley, pasen de estar incluidos en el modelo de cesión de recaudación de impuestos del Estado, al regulado en los artículos 122 a 124 del texto refundido de la Ley reguladora de las Haciendas Locales.
Para ello se calculará la financiación total obtenida por dichos municipios en 2011 mediante la suma de la que corresponda a cada uno de ellos con arreglo a la siguiente fórmula:
PIE2011m = PFC2011m + PIRPF2011m + PIVA2011m + ∑PIIEE(h)2011m
Representando:
PIE2011m la participación total en los tributos del Estado correspondiente al municipio m en el último año de aplicación del modelo anterior, año 2011, sin considerar las compensaciones derivadas de la reforma del Impuesto sobre Actividades Económicas.
PFC2011m la participación del municipio m en el Fondo Complementario de Financiación en el año 2011, sin considerar las compensaciones derivadas de la reforma del Impuesto sobre Actividades Económicas.
PIRPF2011m, PIVA2011m y PIIEE(h)2011m importes de los rendimientos cedidos al municipio m en relación con los Impuestos sobre la Renta de las Personas Físicas, sobre el Valor Añadido y con el conjunto de Impuestos Especiales sobre Alcohol y Bebidas Alcohólicas, sobre las Labores del Tabaco y sobre Hidrocarburos, correspondientes al año 2011 y determinados con arreglo a lo dispuesto en los artículos 115, 116 y 117 del texto refundido de la Ley reguladora de las Haciendas Locales, aprobado por Real Decreto Legislativo 2/2004, de 5 de marzo, así como los artículos 100 a 103 y la disposición adicional trigésima novena de la Ley 39/2010, de 22 de diciembre, de Presupuestos Generales del Estado para el año 2011.
Una vez aplicada esta fórmula, se calculará la participación total de los municipios que pasen al modelo regulado en los artículos 122 a 124 del texto refundido de la Ley reguladora de las Haciendas Locales en el año base 2004 aplicando la siguiente relación:
PIE2004m = PIE2011m / IE2011/2004
Representando:
PIE2004m y PIE2011m la participación total en los ingresos del Estado correspondiente al municipio m en el año base 2004 de aplicación del modelo y en el año 2011, respectivamente, sin considerar las compensaciones derivadas de la reforma del Impuesto sobre Actividades Económicas.
IE2011/2004 el índice de evolución de los ingresos tributarios del Estado entre los años 2004 y 2011.
Liquidación definitiva de la participación en tributos del Estado correspondiente al año 2010
Artículo 85. Régimen jurídico y saldos deudores.
Uno. Una vez conocida la variación de los ingresos tributarios del Estado del año 2010 respecto de 2004, y los demás datos necesarios, se procederá al cálculo de la liquidación definitiva de la participación en tributos del Estado, correspondiente al ejercicio 2010, en los términos de los artículos 111 a 124 y 135 a 146 del texto refundido de la Ley Reguladora de las Haciendas Locales, aprobado por Real Decreto Legislativo 2/2004, de 5 de marzo, teniendo además en cuenta las normas recogidas en los artículos 92 a 95, 97 y 98, 100 a 103 y 105 a 107 de la Ley 26/2009, de 23 de diciembre, de Presupuestos Generales del Estado para el año 2010.
Dos. Los saldos deudores que se pudieran derivar de la liquidación a la que se refiere el apartado anterior, en el componente de financiación que no corresponda a cesión de rendimientos recaudatorios en impuestos estatales, serán reembolsados por las Entidades Locales afectadas mediante compensación con cargo a las entregas a cuenta que, en concepto de participación en los tributos del Estado definida en la Sección 4.ª y en la Subsección 1.ª de la Sección 6.ª de este Capítulo, se perciban con posterioridad a la mencionada liquidación, en un periodo máximo de tres años, mediante retenciones trimestrales equivalentes al 25 por ciento de una entrega mensual, salvo que, aplicando este criterio, se exceda el plazo señalado, en cuyo caso se ajustará la frecuencia y la cuantía de las retenciones correspondientes al objeto de que no se produzca esta situación.
Tres. Cuando las retenciones citadas en este artículo concurran con las reguladas en el artículo 111 tendrán carácter preferente frente a aquellas y no computarán para el cálculo de los porcentajes establecidos en el apartado dos del citado artículo.
Cuatro. Si el importe de las liquidaciones definitivas a que se refiere el apartado dos de este artículo fuera a favor del Estado, se reflejará como derecho en el capítulo IV del Presupuesto de Ingresos del Estado.
Cinco. El importe de la liquidación definitiva de las compensaciones derivadas de la reforma del Impuesto sobre Actividades Económicas a favor de las Comunidades Autónomas uniprovinciales de Cantabria, Madrid y la Rioja podrán ser objeto de integración en las cuantías que les correspondan en aplicación del sistema de financiación de las Comunidades Autónomas de régimen común y de las Ciudades con Estatuto de Autonomía, por acuerdo de la respectiva Comisión Mixta, previo informe de la Subcomisión de Régimen Económico, Financiero y Fiscal de la Comisión Nacional de Administración Local, mediante las modificaciones y ajustes que procedan en los respectivos créditos presupuestarios.
Cesión a favor de los municipios de la recaudación de impuestos estatales en el año 2012
Artículo 86. Cesión de rendimientos recaudatorios del Impuesto sobre la Renta de las Personas Físicas: Determinación de las entregas a cuenta y de la liquidación definitiva.
Uno. Los municipios incluidos en el ámbito subjetivo del artículo 111 del texto refundido de la Ley Reguladora de las Haciendas Locales aprobado por Real Decreto Legislativo 2/2004, de 5 de marzo, participarán en la recaudación líquida que se obtenga en 2012 mediante doce entregas mensuales a cuenta de la liquidación definitiva. El importe total de estas entregas a cuenta se efectuará mediante la siguiente operación:
ECIRPFm = 0,016875 × CL2009m × IA2012/2009 × 0,95
Siendo:
ECIRPFm: Importe anual de entregas a cuenta por cesión de rendimientos recaudatorios del Impuesto sobre la Renta de las Personas Físicas del municipio m.
CL2009m: Cuota líquida estatal del Impuesto sobre la Renta de las Personas Físicas en el municipio m en el año 2009, último conocido.
IA2012/2009: Índice de actualización de la cuota líquida estatal entre el año 2009, último conocido, y el año 2012. Este índice es el resultado de dividir el importe de la previsión presupuestaria, para 2012, por retenciones, pagos a cuenta y pagos fraccionados, entre el importe de los derechos liquidados por estos conceptos, correspondientes al año 2009, último del que se conocen las cuotas líquidas de los municipios.
El importe que se obtenga en concepto de entregas a cuenta, según la fórmula anterior, se hará efectivo a cada municipio, tramitándose como devoluciones de ingresos en el concepto del Impuesto sobre la Renta de las Personas Físicas.
Dos. La liquidación definitiva se determinará por la diferencia entre las entregas a cuenta percibidas y el valor definitivo de la cesión de la cuota líquida correspondiente a cada municipio, determinada en los términos del artículo 115 del texto refundido de la Ley Reguladora de las Haciendas Locales aprobado por Real Decreto Legislativo 2/2004, de 5 de marzo, y se aplicará, a estos efectos, el porcentaje de cesión que, en su caso, se establezca en norma con rango de Ley o en la Ley de Presupuestos Generales del Estado para el año 2014, teniendo en cuenta el rendimiento cedido a favor de las Comunidades Autónomas fijado en la Ley 22/2009, de 18 de diciembre, por la que se regula el sistema de financiación de las Comunidades Autónomas de régimen común y Ciudades con Estatuto de Autonomía y se modifican determinadas normas tributarias.
Artículo 87. Cesión de la recaudación líquida del Impuesto sobre el Valor Añadido: Determinación de las entregas a cuenta y de la liquidación definitiva.
Uno. Los municipios a los que se refiere el artículo precedente participarán en la recaudación líquida que se obtenga, por el Impuesto sobre el Valor Añadido, mediante la determinación de doce entregas mensuales a cuenta de la liquidación definitiva.
La determinación para cada municipio del importe total de estas entregas a cuenta se efectuará mediante la siguiente operación:
ECIVAm = PCIVA* × RPIVA × ICPi × (Pm / Pi) × 0,95
Siendo:
PCIVA*: Porcentaje de cesión de rendimientos recaudatorios del Impuesto sobre el Valor Añadido a favor de los municipios, que, para estas entregas a cuenta, será del 2,3266 por ciento.
ECIVAm: Importe anual de las entregas a cuenta del municipio m, en concepto de cesión de la recaudación de Impuesto sobre el Valor Añadido prevista para el año 2012.
RPIVA: Importe de la previsión presupuestaria de la recaudación líquida que corresponde al Estado del Impuesto sobre el Valor Añadido para el año 2012.
ICPi: Índice provisional de consumo de la Comunidad Autónoma i para el año 2012. A estos efectos se tendrá en cuenta el último dato disponible, que corresponde al utilizado para el cálculo de la liquidación definitiva del año 2009.
Pm y Pi: Poblaciones del municipio m y de la Comunidad Autónoma i respectiva. A estos efectos, se considerará la población de derecho según el Padrón de la población municipal vigente a 1 de enero de 2012 y aprobado oficialmente por el Gobierno.
El importe que se obtenga en concepto de entregas a cuenta, según la fórmula anterior, se hará efectivo a cada municipio, tramitándose como devoluciones de ingresos en el concepto del Impuesto sobre el Valor Añadido.
Dos. La liquidación definitiva se determinará por la diferencia entre las entregas a cuenta percibidas y el valor definitivo de la cesión de la recaudación líquida por IVA que resulte de la aplicación de lo dispuesto en el artículo 116 del texto refundido de la Ley Reguladora de las Haciendas Locales aprobado por Real Decreto Legislativo 2/2004, de 5 de marzo. A estos efectos, se aplicará el porcentaje de cesión que, en su caso, se establezca en norma con rango de Ley o en la Ley de Presupuestos Generales del Estado para el año 2014, teniendo en cuenta el porcentaje de cesión a favor de las Comunidades Autónomas fijado en la Ley 22/2009, de 18 de diciembre, por la que se regula el sistema de financiación de las Comunidades Autónomas de régimen común y Ciudades con Estatuto de Autonomía y se modifican determinadas normas tributarias.
Artículo 88. Cesión de la recaudación líquida por Impuestos Especiales sobre el alcohol y bebidas alcohólicas: Determinación de las entregas a cuenta y de la liquidación definitiva.
Uno. Los municipios a los que se refiere el artículo 86, participarán en la recaudación líquida que se obtenga, por los Impuestos sobre la Cerveza, sobre el Vino y Bebidas Fermentadas, sobre Productos Intermedios y sobre el Alcohol y Bebidas Derivadas, mediante la determinación de doce entregas mensuales a cuenta de la liquidación definitiva.
La determinación para cada municipio del importe total de estas entregas a cuenta se efectuará mediante la siguiente operación:
ECIIEE(h)m = PCIIEE* × RPIIEE(h) × ICPi(h) × (Pm / Pi) × 0,95
Siendo:
PCIIEE*: Porcentaje de cesión de rendimientos recaudatorios de los Impuestos Especiales sobre el Alcohol y Bebidas Derivadas, que, para estas entregas a cuenta, será del 2,9220 por ciento.
ECIIEE(h)m: Importe anual de las entregas a cuenta del municipio m, en concepto de cesión de la recaudación del Impuesto Especial h de los señalados en el primer párrafo de este apartado prevista en el año 2012.
RPIIEE(h): Importe de la previsión presupuestaria de la recaudación líquida que corresponde al Estado del Impuesto Especial h de los señalados en el primer párrafo de este apartado para el año 2012.
ICPi(h): Índice provisional de consumo de la Comunidad Autónoma i a la que pertenece el municipio m, elaborado, para el año 2012, a efectos de la asignación del Impuesto Especial h de los señalados en el primer párrafo de este apartado. A estos efectos se tendrán en cuenta los últimos datos disponibles, que corresponden a los utilizados para el cálculo de la liquidación definitiva del año 2009.
Pm y Pi: Poblaciones del municipio m y de la Comunidad Autónoma i respectiva. A estos efectos, se considerará la población de derecho según el Padrón de la población municipal vigente a 1 de enero de 2012 y aprobado oficialmente por el Gobierno.
El importe que se obtenga en concepto de entregas a cuenta, según la fórmula anterior, se hará efectivo a cada municipio, tramitándose como devoluciones de ingresos en el concepto relativo a cada uno de los Impuestos Especiales señalados en el primer párrafo de este apartado.
Dos. La liquidación definitiva se determinará por la diferencia entre las entregas a cuenta percibidas y el valor definitivo de la cesión de la recaudación líquida por los Impuestos Especiales señalados en el primer párrafo del apartado anterior que resulte de la aplicación de lo dispuesto en los apartados 1 y 2 del artículo 117 del texto refundido de la Ley Reguladora de las Haciendas Locales, aprobado por Real Decreto Legislativo 2/2004, de 5 de marzo. A estos efectos, se aplicará el porcentaje de cesión que, en su caso, se establezca en norma con rango de Ley o en la Ley de Presupuestos Generales del Estado para el año 2014, teniendo en cuenta el porcentaje de cesión a favor de las Comunidades Autónomas fijado en la Ley 22/2009, de 18 de diciembre, por la que se regula el sistema de financiación de las Comunidades Autónomas de régimen común y Ciudades con Estatuto de Autonomía y se modifican determinadas normas tributarias.
Artículo 89. Cesión de la recaudación líquida por Impuestos Especiales sobre Hidrocarburos y sobre las Labores del Tabaco: Determinación de las entregas a cuenta y de la liquidación definitiva.
Uno. Los municipios a los que se refiere el artículo 86 participarán en la recaudación líquida que se obtenga, por los Impuestos sobre Hidrocarburos y sobre las Labores del Tabaco, mediante la determinación de doce entregas mensuales a cuenta de la liquidación definitiva.
El cálculo para cada municipio del importe total de estas entregas a cuenta se efectuará mediante la siguiente operación:
ECIIEE(k)m = PCIIEE* × RPIIEE(k) × IPm(k) × 0,95
Siendo:
PCIIEE*: Porcentaje de cesión de rendimientos recaudatorios de los Impuestos Especiales sobre Hidrocarburos y sobre las Labores del Tabaco, que, para estas entregas a cuenta, será del 2,9220 por ciento.
ECIIEE(k)m: Importe anual de las entregas a cuenta del municipio m, en concepto de cesión de la recaudación del Impuesto Especial k de los señalados en el primer párrafo de este apartado prevista en el año 2012.
RPIIEE(k): Importe de la previsión presupuestaria de la recaudación líquida que corresponde al Estado del Impuesto Especial k de los señalados en el primer párrafo de este apartado para el año 2012.
IPm(k): Índice provisional, para el año 2012, referido al municipio m, de entregas de gasolinas, gasóleos y fuelóleos, y el de ventas a expendedurías de tabaco, ponderadas ambas por los correspondientes tipos impositivos. A estos efectos se considerará índice provisional el que corresponda al último año disponible.
El importe que se obtenga en concepto de entregas a cuenta, según la fórmula anterior, se hará efectivo a cada municipio, tramitándose como devoluciones de ingresos en el concepto relativo a cada uno de los Impuestos Especiales señalados en el primer párrafo de este apartado.
Dos. La liquidación definitiva se determinará por la diferencia entre las entregas a cuenta percibidas y el valor definitivo de la cesión de la recaudación líquida por los Impuestos Especiales señalados en el primer párrafo del apartado anterior que resulte de la aplicación de lo dispuesto en el artículo 117 del texto refundido de la Ley Reguladora de las Haciendas Locales aprobado por Real Decreto Legislativo 2/2004, de 5 de marzo. A estos efectos, se aplicará el porcentaje de cesión que, en su caso, se establezca en norma con rango de Ley o en la Ley de Presupuestos Generales del Estado para el año 2014, teniendo en cuenta el porcentaje de cesión a favor de las Comunidades Autónomas fijado en la Ley 22/2009, de 18 de diciembre, por la que se regula el sistema de financiación de las Comunidades Autónomas de régimen común y Ciudades con Estatuto de Autonomía y se modifican determinadas normas tributarias.
Participación de los municipios en los tributos del Estado
Participación de los municipios en el Fondo Complementario de Financiación
Artículo 90. Determinación de las entregas a cuenta.
Uno. El importe total de las entregas a cuenta de la participación de cada municipio incluido en el ámbito subjetivo del artículo 111 del texto refundido de la Ley Reguladora de las Haciendas Locales aprobado por Real Decreto Legislativo 2/2004, de 5 de marzo, en el Fondo Complementario de Financiación correspondiente a 2012, se reconocerá con cargo al crédito específico consignado en la Sección 36, Servicio 21, Secretaría General de Coordinación Autonómica y Local. Entidades Locales, Programa 942 M Transferencias a Entidades Locales por participación en los ingresos del Estado.
Dos. El citado importe será el 95 por ciento del Fondo Complementario de Financiación del año base 2004 multiplicado por el índice de evolución correspondiente según el artículo 121 del texto refundido de la Ley Reguladora de las Haciendas Locales aprobado por Real Decreto Legislativo 2/2004, de 5 de marzo.
Tres. A la cuantía calculada según el apartado anterior para cada municipio, se le añadirá el 95 por ciento de las compensaciones por mermas de ingresos derivadas de la reforma del Impuesto sobre Actividades Económicas siguientes:
a) Definitiva, de la disposición adicional décima de la Ley 51/2002, de 27 de diciembre, de Reforma de la Ley Reguladora de las Haciendas Locales, actualizada en los mismos términos que los ingresos tributarios del Estado en 2012 respecto a 2004.
b) Adicional, regulada en la disposición adicional segunda de la Ley 22/2005, de 18 de noviembre, actualizada en los mismos términos que los ingresos tributarios del Estado en 2012 respecto a 2006.
Cuatro. Las entregas a cuenta de la participación en el Fondo Complementario de Financiación para el ejercicio 2012 serán abonadas mediante pagos mensuales equivalentes a la doceava parte del importe total que resulte de la aplicación de las normas recogidas en los apartados anteriores.
Artículo 91. Liquidación definitiva.
Uno. La práctica de la liquidación definitiva del Fondo Complementario de Financiación del año 2012 a favor de los municipios, se realizará con cargo al crédito que se dote en la Sección 36, Servicio 21, Secretaría General de Coordinación Autonómica y Local. Entidades Locales, Programa 942M, Transferencias a Entidades Locales por participación en los ingresos del Estado, Concepto 468, relativo a la liquidación definitiva de años anteriores y compensaciones derivadas del nuevo sistema de financiación, con arreglo a las reglas contenidas en los artículos 119 y 121 del texto refundido de la Ley Reguladora de las Haciendas Locales aprobado por Real Decreto Legislativo 2/2004, de 5 de marzo.
Dos. A la cuantía calculada para cada municipio en los términos del apartado anterior, se le añadirán las compensaciones por mermas de ingresos derivadas de la reforma del Impuesto sobre Actividades Económicas siguientes:
a) Definitiva, de la disposición adicional décima de la Ley 51/2002, de 27 de diciembre, de Reforma de la Ley Reguladora de las Haciendas Locales, actualizada en los mismos términos que los ingresos tributarios del Estado en 2012 respecto a 2004.
b) Adicional, regulada en la disposición adicional segunda de la Ley 22/2005, de 18 de noviembre, actualizada en los mismos términos que los ingresos tributarios del Estado en 2012 respecto a 2006.
Tres. La liquidación definitiva se determinará por la diferencia entre los importes de las entregas a cuenta calculadas con arreglo a lo dispuesto en el artículo anterior y de la participación definitiva calculada en los términos de los apartados anteriores.
Participación del resto de municipios
Artículo 92. Participación de los municipios en los tributos del Estado para el ejercicio 2012.
Uno. El importe total destinado a pagar las entregas a cuenta a los municipios incluidos en el ámbito subjetivo del artículo 122 del texto refundido de la Ley Reguladora de las Haciendas Locales, aprobado por Real Decreto Legislativo 2/2004, de 5 de marzo, será el equivalente al 95 por ciento de su participación total en los tributos del Estado para el año base 2004, multiplicado por el índice de evolución correspondiente según el artículo 123 del texto refundido de la Ley Reguladora de las Haciendas Locales aprobado por Real Decreto Legislativo 2/2004, de 5 de marzo, y se reconocerá con cargo al crédito específico consignado en la Sección 36, Servicio 21, Secretaría General de Coordinación Autonómica y Local. Entidades Locales, Programa 942M, Transferencias a Entidades Locales por participación en los ingresos del Estado.
Dos. La práctica de la liquidación definitiva correspondiente al año 2012 a favor de los municipios antes citados se realizará con arreglo a las reglas contenidas en los artículos 123 y 124 del texto refundido de la Ley Reguladora de las Haciendas Locales aprobado por Real Decreto Legislativo 2/2004, de 5 de marzo, y con cargo al crédito que se dote en el Concepto 468, relativo a la liquidación definitiva de años anteriores y compensaciones derivadas del nuevo sistema de financiación, incluido en la Sección, Servicio y Programa citados en el apartado anterior.
Tres. El importe total que resulte de la aplicación de las reglas contenidas en los apartados anteriores, se distribuirá de acuerdo con los siguientes criterios:
a) Como regla general, cada ayuntamiento percibirá una cantidad igual a la resultante de la liquidación definitiva de la participación en los tributos del Estado del año 2003, calculada con arreglo a lo dispuesto en los apartados dos, tres, cuatro y cinco del artículo 65 de la Ley 52/2002, de 30 de diciembre, de Presupuestos Generales del Estado para el año 2003.
b) El resto se distribuirá proporcionalmente a las diferencias positivas entre la cantidad que cada ayuntamiento obtendría de un reparto en función de las variables y porcentajes que a continuación se mencionan y las cantidades previstas en el párrafo anterior. A estos efectos, las variables y porcentajes a aplicar serán los siguientes:
1. El 75 por ciento en función del número de habitantes de derecho de cada municipio, según el Padrón de la población municipal vigente a 31 de diciembre de 2012 y aprobado oficialmente por el Gobierno, ponderado por los siguientes coeficientes, según estratos de población:
|
Estrato |
Número de habitantes |
Coeficientes |
|
1 |
De más de 50.000 |
1,40 |
|
2 |
De 20.001 a 50.000 |
1,30 |
|
3 |
De 5.001 a 20.000 |
1,17 |
|
4 |
Hasta 5.000 |
1,00 |
2. El 12,5 por ciento en función del esfuerzo fiscal medio de cada municipio en el ejercicio 2010 ponderado por el número de habitantes de derecho de cada municipio, según el Padrón municipal vigente a 31 de diciembre de 2012 y oficialmente aprobado por el Gobierno.
A estos efectos, se considera esfuerzo fiscal municipal en el año 2010 el resultante de la aplicación de la fórmula siguiente:
Efm = [∑ a(RcO/RPm)] × Pi
En el desarrollo de esta fórmula se tendrán en cuenta los siguientes criterios:
A) El factor a representa el peso medio relativo de cada tributo en relación con la recaudación líquida total obtenida en el ejercicio económico de 2010, durante el período voluntario, por el Impuesto sobre Bienes Inmuebles, por el Impuesto sobre Actividades Económicas, excluidas las cantidades percibidas como consecuencia de la distribución de las cuotas nacionales y provinciales del Impuesto sobre Actividades Económicas y el recargo provincial atribuible a las respectivas Diputaciones Provinciales, y por el Impuesto sobre Vehículos de Tracción Mecánica, para todos los municipios integrados en esta forma de financiación.
B) La relación RcO/RPm se calculará, para cada uno de los tributos citados en el párrafo precedente y en relación a cada municipio, de la siguiente manera:
i. En el Impuesto sobre Bienes Inmuebles urbanos o rústicos, multiplicando el factor a por el tipo impositivo real fijado por el Pleno de la Corporación para el período de referencia, dividido por 0,4 ó 0,3, respectivamente, que representan los tipos mínimos exigibles en cada caso y dividiéndolo a su vez por el tipo máximo potencialmente exigible en cada municipio. A estos efectos, se aplicarán los tipos de gravamen real y máximo, según lo dispuesto en los apartados 1 y 3 del artículo 72 del texto refundido de la Ley Reguladora de las Haciendas Locales aprobado por Real Decreto Legislativo 2/2004, de 5 de marzo.
El resultado así obtenido en el Impuesto sobre Bienes Inmuebles urbanos se ponderará por la razón entre la base imponible media por habitante de cada Ayuntamiento y la base imponible media por habitante del estrato en el que se encuadre, incluyendo, en su caso, la que corresponda a los bienes inmuebles de características especiales. A estos efectos, se deberá tener en cuenta lo dispuesto en la disposición adicional novena del texto refundido de la Ley Reguladora de las Haciendas Locales, aprobado por Real Decreto Legislativo 2/2004, de 5 de marzo, y que, además, los tramos de población se identificarán con los utilizados para la distribución del 75 por ciento asignado a la variable población.
ii. En el Impuesto sobre Actividades Económicas, multiplicando el factor a por el importe del Padrón municipal del impuesto incluida la incidencia de la aplicación del coeficiente de situación a que se refiere el artículo 87 del texto refundido de la Ley Reguladora de las Haciendas Locales aprobado por el Real Decreto Legislativo 2/2004, de 5 de marzo, vigente en el período impositivo de 2010, y dividiéndolo por la suma de las cuotas mínimas fijadas en las tarifas del impuesto, en relación con cada supuesto de sujeción al mismo, y ponderadas por los coeficientes recogidos en el artículo 86 de la misma norma.
iii. En el Impuesto sobre Vehículos de Tracción Mecánica, multiplicando el factor a por 1.
iv. La suma ∑a(RcO/RPm) se multiplicará por el factor Pi, siendo éste su población de derecho deducida del Padrón municipal vigente a 31 de diciembre de 2012 y aprobado oficialmente por el Gobierno.
C) El coeficiente de esfuerzo fiscal medio por habitante, para cada municipio, en ningún caso podrá ser superior al quíntuplo del menor valor calculado del coeficiente de esfuerzo fiscal medio por habitante de los ayuntamientos incluidos en el estrato de población superior a 50.000 habitantes.
3. El 12,5 por ciento en función del inverso de la capacidad tributaria. Se entenderá como capacidad tributaria la resultante de la relación existente entre las bases imponibles medias del Impuesto sobre Bienes Inmuebles urbanos por habitante de cada Ayuntamiento y la del estrato en el que este se encuadre, ponderada por la relación entre la población de derecho de cada municipio y la población total de los incluidos en esta modalidad de participación, deducidas del Padrón municipal vigente a 31 de diciembre de 2012 y aprobado oficialmente por el Gobierno. A estos efectos, los tramos de población se identificarán con los utilizados para la distribución del 75 por ciento asignado a la variable población.
Para el cálculo de esta variable se tendrán en cuenta los datos relativos a las bases imponibles del Impuesto sobre Bienes Inmuebles de naturaleza urbana y de características especiales, de las entidades locales, correspondientes al ejercicio 2010.
Cuatro. En la cuantía que resulte de la aplicación de las normas del apartado anterior, se le añadirán las compensaciones por mermas de ingresos derivadas de la reforma del Impuesto sobre Actividades Económicas siguientes:
a) Definitiva, de la disposición adicional décima de la Ley 51/2002, de 27 de diciembre, de Reforma de la Ley Reguladora de las Haciendas Locales, actualizada en los mismos términos que los ingresos tributarios del Estado en 2012 respecto a 2004.
b) Adicional, regulada en la disposición adicional segunda de la Ley 22/2005, de 18 de noviembre, actualizada en los mismos términos que los ingresos tributarios del Estado en 2012 respecto a 2006.
Cinco. La participación de los municipios turísticos se determinará con arreglo al apartado 4 del artículo 125 del texto refundido de la Ley Reguladora de las Haciendas Locales aprobado por Real Decreto Legislativo 2/2004, de 5 de marzo, y a lo dispuesto en los apartados tres y cuatro anteriores. El importe de la cesión así calculada no podrá suponer, en ningún caso, minoración de la participación que resulte de la aplicación de los apartados tres y cuatro del presente artículo. Se considerarán municipios turísticos los que cumplan las condiciones recogidas en el apartado 1 del mencionado artículo 125, referidas a 1 de enero de 2012.
Seis. Para los municipios turísticos resultantes de la revisión efectuada a 1 de enero de 2008, la cesión de la recaudación de los Impuestos sobre Hidrocarburos y sobre las Labores del Tabaco calculada para el año base 2004, a que hace referencia el artículo 125.4 del texto refundido de la Ley Reguladora de las Haciendas Locales aprobado por Real Decreto Legislativo 2/2004, de 5 de marzo, será el resultado de dividir la cesión de la recaudación líquida de los Impuestos sobre Hidrocarburos y sobre las Labores del Tabaco correspondiente a cada municipio en el ejercicio 2008 por la evolución de los ingresos tributarios del Estado en este último respecto de 2004.
Artículo 93. Entregas a cuenta.
Uno. Las entregas a cuenta de la participación en los tributos del Estado para el ejercicio de 2012 a que se refiere el artículo anterior serán abonadas a los ayuntamientos mediante pagos mensuales equivalentes a la doceava parte del respectivo crédito.
Dos. La participación individual de cada municipio se determinará de acuerdo con los criterios establecidos para la distribución de la liquidación definitiva, con las siguientes variaciones:
a) Se empleará la población del Padrón Municipal vigente y oficialmente aprobado por el Gobierno a 1 de enero del año 2012. Las variables esfuerzo fiscal e inverso de la capacidad tributaria se referirán a los datos de la última liquidación definitiva practicada. En todo caso, se considerará como entrega mínima a cuenta de la participación en los tributos del Estado para cada municipio una cantidad igual al 95 por ciento de la participación total definitiva correspondiente al año 2003, calculada con arreglo a lo dispuesto en los apartados dos, tres, cuatro y cinco del artículo 65 de la Ley 52/2002, de 30 de diciembre, de Presupuestos Generales del Estado para el año 2003.
b) A la cuantía calculada según el párrafo anterior para cada municipio, se le añadirá el 95 por ciento de las compensaciones por mermas de ingresos derivadas de la reforma del Impuesto sobre Actividades Económicas siguientes:
1. Definitiva, de la disposición adicional décima de la Ley 51/2002, de 27 de diciembre, de Reforma de la Ley Reguladora de las Haciendas Locales, actualizada en los mismos términos que los ingresos tributarios del Estado en 2012 respecto a 2004.
2. Adicional, regulada en la disposición adicional segunda de la Ley 22/2005, de 18 de noviembre, actualizada en los mismos términos que los ingresos tributarios del Estado en 2012 respecto a 2006.
Tres. La participación individual de cada municipio turístico se determinará de acuerdo con el apartado anterior. El importe resultante se reducirá en la cuantía de la cesión de la recaudación de los Impuestos sobre Hidrocarburos y sobre las Labores del Tabaco calculada en el año base 2004, incrementada en los mismos términos que la previsión de crecimiento de los ingresos tributarios del Estado en 2012 respecto de 2004, sumándose al resultado anterior la cesión que, por aquellos impuestos, les correspondiese, en concepto de entregas a cuenta en 2012, aplicando las normas del apartado uno del artículo 89 de esta Ley, sin que, en ningún caso, la cuantía a transferir sea inferior a la calculada con arreglo a lo dispuesto en el apartado anterior.
Cesión a favor de las provincias, comunidades autónomas uniprovinciales, cabildos y consejos insulares, de la recaudación de impuestos estatales
Artículo 94. Cesión de rendimientos recaudatorios del Impuesto sobre la Renta de las Personas Físicas: Determinación de las entregas a cuenta y de la liquidación definitiva.
Uno. Las provincias y entes asimilados incluidos en el ámbito subjetivo del artículo 135 del texto refundido de la Ley Reguladora de las Haciendas Locales aprobado por Real Decreto Legislativo 2/2004, de 5 de marzo, participarán en la recaudación líquida que se obtenga en 2012, mediante el pago de doce entregas mensuales a cuenta de la liquidación definitiva.
El cálculo global de la cuantía de estas entregas a cuenta se efectuará mediante la siguiente operación:
ECIRPFp = 0,009936 × CL2009p × IA2012/2009 × 0,95
Siendo:
ECIRPFp: Importe anual de entregas a cuenta por cesión de rendimientos recaudatorios del Impuesto sobre la Renta de las Personas Físicas de la entidad provincial o asimilada p.
CL2009p: Cuota líquida estatal del Impuesto sobre la Renta de las Personas Físicas en el ámbito de la entidad provincial o asimilada p en el año 2009, último conocido.
IA2012/2009: Índice de actualización de la cuota líquida estatal entre el año 2009, último conocido, y el año 2012. Este índice es el resultado de dividir el importe de la previsión presupuestaria, para 2012, por retenciones, pagos a cuenta y pagos fraccionados, entre el importe de los derechos liquidados por estos conceptos, correspondientes al año 2009, último del que se conocen las cuotas líquidas en el ámbito de la entidad provincial o asimilada.
El importe que se obtenga en concepto de entregas a cuenta, según la fórmula anterior, se hará efectivo a cada provincia o entidad asimilada mediante transferencia por doceavas partes mensuales, tramitándose como devoluciones de ingresos en el concepto del Impuesto sobre la Renta de las Personas Físicas.
Dos. La liquidación definitiva se determinará por la diferencia entre las entregas a cuenta percibidas y el valor definitivo de la cesión de la cuota líquida correspondiente a cada provincia o ente asimilado, determinada en los términos del artículo 137 del texto refundido de la Ley Reguladora de las Haciendas Locales aprobado por Real Decreto Legislativo 2/2004, de 5 de marzo, y se aplicará, a estos efectos, el porcentaje de cesión que, en su caso, se establezca en norma con rango de Ley o en la Ley de Presupuestos Generales del Estado para el año 2014, teniendo en cuenta el rendimiento cedido a favor de las Comunidades Autónomas fijado en la Ley 22/2009, de 18 de diciembre, por la que se regula el sistema de financiación de las Comunidades Autónomas de régimen común y Ciudades con Estatuto de Autonomía y se modifican determinadas normas tributarias.
Artículo 95. Cesión de la recaudación líquida del Impuesto sobre el Valor Añadido: Determinación de las entregas a cuenta y de la liquidación definitiva.
Uno. Las provincias y entes asimilados a los que se refiere el artículo precedente participarán en la recaudación líquida que se obtenga, por el Impuesto sobre el Valor Añadido, mediante la determinación de doce entregas mensuales a cuenta de la liquidación definitiva.
La determinación, para cada una de aquellas entidades, de la cuantía global de estas entregas a cuenta se efectuará mediante la siguiente operación:
ECIVAp = PCIVA** × RPIVA × ICPi × (Pp/Pi) × 0,95
Siendo:
PCIVA**: Porcentaje de cesión de rendimientos recaudatorios del Impuesto sobre el Valor Añadido a favor de las provincias y entes asimilados, que, para estas entregas a cuenta, será del 1,3699 por ciento.
ECIVAp: Importe anual de las entregas a cuenta de la provincia o entidad asimilada p, en concepto de cesión de la recaudación de Impuesto sobre el Valor Añadido prevista en el año 2012.
RPIVA: Importe de la previsión presupuestaria de la recaudación líquida correspondiente al Estado del Impuesto sobre el Valor Añadido para el año 2012.
ICPi: Índice provisional de consumo de la Comunidad Autónoma i para el año 2012. A estos efectos se tendrán en cuenta los últimos datos disponibles, que corresponden a los utilizados para el cálculo de la liquidación definitiva del año 2009.
Pp y Pi: Poblaciones de la provincia o ente asimilado p y de la Comunidad Autónoma i respectiva. A estos efectos, se considerará la población de derecho según el padrón de la población municipal vigente a 1 de enero de 2012 y aprobado oficialmente por el Gobierno.
El importe que se obtenga en concepto de entregas a cuenta, según la fórmula anterior, se hará efectivo a cada provincia o entidad asimilada, tramitándose como devoluciones de ingresos en el concepto de Impuesto sobre el Valor Añadido.
Dos. La liquidación definitiva se determinará por la diferencia entre las entregas a cuenta percibidas y el valor definitivo de la cesión de la recaudación líquida del Impuesto sobre el Valor Añadido que resulte de la aplicación de lo dispuesto en el artículo 138 del texto refundido de la Ley Reguladora de las Haciendas Locales aprobado por Real Decreto Legislativo 2/2004, de 5 de marzo. A estos efectos, se aplicará el porcentaje de cesión que, en su caso, se establezca en norma con rango de Ley o en la Ley de Presupuestos Generales del Estado para el año 2014, teniendo en cuenta el porcentaje de cesión a favor de las Comunidades Autónomas fijado en la Ley 22/2009, de 18 de diciembre, por la que se regula el sistema de financiación y se modifican determinadas normas tributarias.
Artículo 96. Cesión de la recaudación líquida por Impuestos Especiales sobre el alcohol y bebidas alcohólicas: Determinación de las entregas a cuenta y de la liquidación definitiva.
Uno. Las entidades incluidas en el ámbito subjetivo del artículo 135 del texto refundido de la Ley Reguladora de las Haciendas Locales aprobado por Real Decreto Legislativo 2/2004, de 5 de marzo, participarán en la recaudación líquida que se obtenga, por los Impuestos sobre la Cerveza, sobre el Vino y Bebidas Fermentadas, sobre Productos Intermedios y sobre el Alcohol y Bebidas Derivadas, mediante la determinación de doce entregas mensuales a cuenta de la liquidación definitiva.
El cálculo, para cada provincia o ente asimilado, de la cuantía global de estas entregas a cuenta se efectuará mediante la siguiente operación:
ECIIEE(h)p = PCIIEE** × RPIIEE(h) × ICPi (h) × (Pp / Pi) × 0,95
Siendo:
PCIIEE**: Porcentaje de cesión de rendimientos recaudatorios de los Impuestos Especiales sobre el Alcohol y Bebidas Derivadas a favor de las provincias y entes asimilados, que, para estas entregas a cuenta, será del 1,7206 por ciento.
ECIIEE(h)p: Importe anual de las entregas a cuenta de la provincia o ente asimilado p, en concepto de cesión de la recaudación del Impuesto Especial h de los señalados en el primer párrafo de este apartado prevista en el año 2012.
RPIIEE(h): Importe de la previsión presupuestaria de la recaudación líquida correspondiente al Estado del Impuesto Especial h de los señalados en el primer párrafo de este apartado para el año 2012.
ICPi(h): Índice provisional de consumo de la Comunidad Autónoma i a la que pertenece la provincia o entidad asimilada p, elaborado, para el año 2012, a efectos de la asignación del Impuesto Especial h de los señalados en el primer párrafo de este apartado. A estos efectos se tendrán en cuenta los últimos datos disponibles, que corresponden a los utilizados para el cálculo de la liquidación definitiva del año 2009.
Pp y Pi: Poblaciones de la provincia o entidad asimilada p y de la Comunidad Autónoma i respectiva. A estos efectos, se considerará la población de derecho según el Padrón de la población municipal vigente a 1 de enero de 2012 y aprobado oficialmente por el Gobierno.
El importe que se obtenga en concepto de entregas a cuenta, según la fórmula anterior, se hará efectivo a cada provincia o entidad asimilada, tramitándose como devoluciones de ingresos en el concepto relativo a cada uno de los Impuestos Especiales señalados en el primer párrafo de este apartado.
Dos. La liquidación definitiva se determinará por la diferencia entre las entregas a cuenta percibidas y el valor definitivo de la cesión de la recaudación líquida por los Impuestos Especiales señalados en el primer párrafo del apartado anterior que resulte de la aplicación del artículo 139 del texto refundido de la Ley Reguladora de las Haciendas Locales aprobado por Real Decreto Legislativo 2/2004, de 5 de marzo. A estos efectos, se aplicará el porcentaje de cesión que, en su caso, se establezca en norma con rango de Ley o en la Ley de Presupuestos Generales del Estado para el año 2014, teniendo en cuenta el porcentaje de cesión a favor de las Comunidades Autónomas fijado en la Ley 22/2009, de 18 de diciembre, por la que se regula el sistema de financiación de las Comunidades Autónomas de régimen común y Ciudades con Estatuto de Autonomía y se modifican determinadas normas tributarias.
Artículo 97. Cesión de la recaudación líquida por Impuestos Especiales sobre Hidrocarburos y sobre las Labores del Tabaco: Determinación de las entregas a cuenta y de la liquidación definitiva.
Uno. Las provincias y entes asimilados incluidos en el ámbito subjetivo del artículo 135 del texto refundido de la Ley Reguladora de las Haciendas Locales aprobado por Real Decreto Legislativo 2/2004, de 5 de marzo, participarán en la recaudación líquida que se obtenga, por los Impuestos sobre Hidrocarburos y sobre las Labores del Tabaco, mediante la determinación de doce entregas mensuales a cuenta de la liquidación definitiva.
El cálculo, para cada provincia o entidad asimilada, del importe total de estas entregas a cuenta se efectuará mediante la siguiente operación:
ECIIEE(k)p = PCIIEE** × RPIIEE(k) × IPp(k) × 0,95
Siendo:
PCIIEE**: Porcentaje de cesión de rendimientos recaudatorios de los Impuestos Especiales sobre Hidrocarburos y sobre las Labores del Tabaco a favor de las provincias y entes asimilados, que, para estas entregas a cuenta, será del 1,7206 por ciento.
ECIIEE(k)p: Importe anual de las entregas a cuenta de la provincia o ente asimilado p, en concepto de cesión de la recaudación del Impuesto Especial k de los señalados en el primer párrafo de este apartado prevista en el año 2012.
RPIIEE(k): Importe de la previsión presupuestaria de la recaudación líquida correspondiente al Estado del Impuesto Especial k de los señalados en el primer párrafo de este apartado para el año 2012.
IPp(k): Índice provisional, para el año 2012, referido a la provincia o ente asimilado p, de entregas de gasolinas, gasóleos y fuelóleos, y el de ventas a expendedurías de tabaco, ponderadas ambas por los correspondientes tipos impositivos. A estos efectos se tendrán en cuenta datos correspondientes al último año disponible.
El importe que se obtenga en concepto de entregas a cuenta, según la fórmula anterior, se hará efectivo a cada entidad, tramitándose como devoluciones de ingresos en el concepto relativo a cada uno de los Impuestos Especiales señalados en el primer párrafo de este apartado.
Dos. La liquidación definitiva se determinará por la diferencia entre las entregas a cuenta percibidas y el valor definitivo de la cesión de la recaudación líquida por los Impuestos Especiales señalados en el artículo anterior, que resulte de la aplicación del artículo 139 del texto refundido de la Ley Reguladora de las Haciendas Locales aprobado por Real Decreto Legislativo 2/2004, de 5 de marzo. A estos efectos, se aplicará el porcentaje de cesión que, en su caso, se establezca en norma con rango de Ley o en la Ley de Presupuestos Generales del Estado para el año 2014, teniendo en cuenta el porcentaje de cesión a favor de las Comunidades Autónomas fijado en la Ley 22/2009, de 18 de diciembre, por la que se regula el sistema de financiación de las Comunidades Autónomas de régimen común y Ciudades con Estatuto de Autonomía y se modifican determinadas normas tributarias.
Participación de las provincias, comunidades autónomas uniprovinciales y consejos y cabildos insulares en los tributos del Estado
Participación en el Fondo Complementario de Financiación
Artículo 98. Determinación de las entregas a cuenta.
Uno. El importe total de las entregas a cuenta de la participación de cada provincia y entidad asimilada incluida en el ámbito subjetivo del vigente artículo 135 del texto refundido de la Ley Reguladora de las Haciendas Locales aprobado por Real Decreto Legislativo 2/2004, de 5 de marzo, en el Fondo Complementario de Financiación correspondiente a 2012, se reconocerá con cargo al crédito Transferencias a las Diputaciones y Cabildos Insulares. Entregas a cuenta a las Diputaciones y Cabildos Insulares, por su participación en los ingresos de los capítulos I y II del Presupuesto del Estado, por recursos no susceptibles de cesión a las Comunidades Autónomas, consignado en la Sección 36, Servicio 21, Secretaría General de Coordinación Autonómica y Local. Entidades Locales, Programa 942M, Transferencias a Entidades Locales por participación en los ingresos del Estado.
Dos. El citado importe será el 95 por ciento del Fondo Complementario de Financiación del año 2004 aplicando el índice de evolución correspondiente según el artículo 121 del texto refundido de la Ley Reguladora de las Haciendas Locales, aprobado por el Real Decreto Legislativo 2/2004, de 5 de marzo.
Tres. A la cuantía calculada según el apartado anterior, se le añadirá el 95 por ciento de las compensaciones por mermas de ingresos derivadas de la reforma del Impuesto sobre Actividades Económicas siguientes:
a) Definitiva, de la disposición adicional décima de la Ley 51/2002, de 27 de diciembre, de Reforma de la Ley Reguladora de las Haciendas Locales, incrementada en los mismos términos que los ingresos tributarios del Estado en 2012 respecto a 2004.
b) Adicional, regulada en la disposición adicional segunda de la Ley 22/2005, de 18 de noviembre, incrementada en los mismos términos que los ingresos tributarios del Estado en 2012 respecto a 2006.
Cuatro. Las entregas a cuenta de la participación en el Fondo Complementario de Financiación para el ejercicio 2012 serán abonadas a las entidades locales a las que se refiere este artículo, mediante pagos mensuales equivalentes a la doceava parte del importe total que resulte de la aplicación de las normas recogidas en los apartados anteriores.
Artículo 99. Liquidación definitiva.
Uno. La práctica de la liquidación definitiva del Fondo Complementario de Financiación del año 2012 a favor de las provincias y entidades asimiladas, se realizará con cargo al crédito que se dote en la Sección 36, Servicio 21, Secretaría General de Coordinación Autonómica y Local. Entidades Locales, Programa 942M, Transferencias a Entidades Locales por participación en los ingresos del Estado, Concepto 468, relativo a la liquidación definitiva de años anteriores y compensaciones derivadas del nuevo sistema de financiación, con arreglo a las reglas contenidas en los artículos 141 y 143 del texto refundido de la Ley Reguladora de las Haciendas Locales aprobado por Real Decreto Legislativo 2/2004, de 5 de marzo.
Dos. La cuantía anterior se incrementará, en su caso, en el importe de las compensaciones por mermas de ingresos derivadas de la reforma del Impuesto sobre Actividades Económicas siguientes:
a) Definitiva, de la disposición adicional décima de la Ley 51/2002, de 27 de diciembre, de Reforma de la Ley Reguladora de las Haciendas Locales, actualizada en los mismos términos que los ingresos tributarios del Estado en 2012 respecto a 2004.
b) Adicional, regulada en la disposición adicional segunda de la Ley 22/2005, de 18 de noviembre, actualizada en los mismos términos que los ingresos tributarios del Estado en 2012 respecto a 2006.
El importe de la liquidación definitiva de las compensaciones anteriores a favor de las Comunidades Autónomas uniprovinciales de Cantabria, Madrid y La Rioja, podrán ser objeto de integración en las cuantías que les corresponden en aplicación del sistema de financiación de las Comunidades Autónomas de régimen común y de las Ciudades con Estatuto de Autonomía, por acuerdo de la respectiva Comisión Mixta, previo informe de la Subcomisión de Régimen Económico, Financiero y Fiscal de la Comisión Nacional de Administración Local, mediante las modificaciones y ajustes que procedan en los respectivos créditos presupuestarios.
Tres. La liquidación definitiva se determinará por la diferencia entre la suma de los importes de las entregas a cuenta calculadas con arreglo a lo dispuesto en el artículo anterior y de la participación definitiva calculada en los términos de los apartados anteriores.
Participación en el fondo de aportación a la asistencia sanitaria
Artículo 100. Determinación de las entregas a cuenta.
Uno. Para el mantenimiento de los centros sanitarios de carácter no psiquiátrico de las Diputaciones, Comunidades Autónomas uniprovinciales no insulares y Consejos y Cabildos Insulares se asigna, con cargo al crédito Transferencias a las Diputaciones y Cabildos Insulares. Entregas a cuenta a las Diputaciones y Cabildos Insulares por su participación en los ingresos de los Capítulos I y II del Presupuesto del Estado por recursos no susceptibles de cesión a las Comunidades Autónomas consignado en la Sección 36, Servicio 21, Secretaría General de Coordinación Autonómica y Local. Entidades Locales, Programa 942M, Transferencias a Entidades Locales por participación en los ingresos del Estado, la cantidad de 566,39 millones de euros en concepto de entregas a cuenta. Las entregas a cuenta de la participación en este fondo para el año 2012 serán abonadas a las Diputaciones Provinciales, Comunidades Autónomas uniprovinciales no insulares, Cabildos y Consejos Insulares mediante pagos mensuales equivalentes a la doceava parte del crédito. La asignación para el mantenimiento de los centros sanitarios se realizará en proporción a las cuantías percibidas por este concepto en la liquidación definitiva de la participación en tributos del Estado del año 2004, y se librará simultáneamente con las entregas a cuenta de la participación en el Fondo Complementario de Financiación regulado en la Subsección anterior.
Dos. Cuando la gestión económica y financiera de los centros hospitalarios, en los términos previstos en la Ley 14/1986, de 25 de abril, General de Sanidad, se transfiera a las correspondientes Comunidades Autónomas, se asignará a dichas entidades las entregas a cuenta de la participación del ente transferidor del servicio, pudiendo ser objeto de integración en su participación en los tributos del Estado por acuerdo de la respectiva Comisión Mixta, previo informe de la Subcomisión de Régimen Económico, Financiero y Fiscal de la Comisión Nacional de Administración Local, mediante las modificaciones y ajustes que procedan en los respectivos créditos presupuestarios.
Artículo 101. Liquidación definitiva.
Uno. La práctica de la liquidación definitiva de la asignación del fondo de aportación a la asistencia sanitaria del año 2012, correspondiente a las Provincias, Comunidades Autónomas uniprovinciales no insulares e Islas, se realizará con cargo al crédito que se dote en la Sección 36, Servicio 21, Secretaría General de Coordinación Autonómica y Local. Entidades Locales, Programa 942M, Transferencias a Entidades Locales por participación en los ingresos del Estado, Concepto 468, relativo a la liquidación definitiva de años anteriores y compensaciones derivadas del nuevo sistema de financiación, con arreglo a las reglas contenidas en los artículos 143 y 144 del texto refundido de la Ley Reguladora de las Haciendas Locales aprobado por Real Decreto Legislativo 2/2004, de 5 de marzo, tomando como base de cálculo las cuantías que, por este concepto, resultaron de la liquidación definitiva de la participación en tributos del Estado del año 2004.
Dos. Cuando la gestión económica y financiera de los centros hospitalarios, en los términos previstos en la Ley 14/1986, de 25 de abril, General de Sanidad, se transfiera a las correspondientes Comunidades Autónomas, se procederá en la misma medida a asignar a dichas entidades la participación del ente transferidor del servicio en el citado fondo.
Artículo 102. Participación de los Territorios Históricos del País Vasco y Navarra en los tributos del Estado.
Uno. La participación de los municipios del País Vasco y de Navarra en los tributos del Estado se fijará con arreglo a las normas contenidas en la Subsección 2.ª, de la Sección 4.ª de este Capítulo, en el marco del Concierto y Convenio Económico, respectivamente.
Dos. La participación de las Diputaciones Forales del País Vasco y de la Comunidad Foral de Navarra en los tributos del Estado se determinará según lo establecido en el artículo 146 del texto refundido de la Ley Reguladora de las Haciendas Locales aprobado por Real Decreto Legislativo 2/2004, de 5 de marzo, en el marco del Concierto y Convenio Económico, respectivamente.
Artículo 103. Participación de las entidades locales de las Islas Canarias en los tributos del Estado.
Uno. La cesión de rendimientos recaudatorios en impuestos estatales a favor de los municipios de las Islas Canarias incluidos en el ámbito subjetivo de aplicación del artículo 111 del texto refundido de la Ley Reguladora de las Haciendas Locales aprobado por Real Decreto Legislativo 2/2004, de 5 de marzo, así como de los Cabildos Insulares, se ajustará a lo dispuesto en el artículo 158 de esta última norma.
Dos. La participación en el Fondo Complementario de Financiación de las entidades locales citadas en el apartado anterior se determinará con arreglo a lo dispuesto en la Subsección 1.ª, de la Sección 4.ª, y en la Subsección 1.ª, de la Sección 6.ª, de este capítulo, teniendo en consideración lo dispuesto en el mencionado artículo 158 de aquella norma.
Tres. La participación del resto de municipios de las Islas Canarias en los tributos del Estado se determinará mediante la aplicación de las normas contenidas en la Subsección 2.ª, de la Sección 4.ª, de este capítulo y con arreglo a la misma proporción que los municipios de régimen común.
Artículo 104. Participación de las Ciudades de Ceuta y de Melilla en los tributos del Estado.
Uno. Las Ciudades de Ceuta y de Melilla, en cuanto entidades asimiladas a los municipios, participarán en los tributos del Estado con arreglo a las normas generales contenidas en este Capítulo.
Dos. Las Ciudades de Ceuta y de Melilla, en cuanto entidades asimiladas a las provincias, participarán en los tributos del Estado según lo establecido en el artículo 146 del texto refundido de la Ley Reguladora de las Haciendas Locales aprobado por Real Decreto Legislativo 2/2004, de 5 de marzo.
Compensaciones, subvenciones y ayudas
Artículo 105. Subvenciones a las Entidades locales por servicios de transporte colectivo urbano.
Uno. Para dar cumplimiento a lo previsto en la disposición adicional quinta del texto refundido de la Ley reguladora de las Haciendas Locales aprobado por Real Decreto Legislativo 2/2004, de 5 de marzo, con cargo a los créditos de la Sección 32, Servicio 02, Secretaría General de Coordinación Autonómica y Local. Entidades Locales, Programa 942N, Otras aportaciones a Entidades Locales, concepto 462, figura un crédito por importe de 51,05 millones de euros destinado a subvencionar el servicio de transporte colectivo urbano prestado por las Entidades locales que reúnan los requisitos que se especifican en el siguiente apartado.
Dos. En la distribución del crédito podrán participar las Entidades locales que dispongan de un servicio de transporte público colectivo urbano interior, cualquiera que sea la forma de gestión, que cumplan los siguientes requisitos:
a) Tener más de 50.000 habitantes de derecho, según el Padrón municipal vigente a 1 de enero de 2011 y aprobado oficialmente por el Gobierno.
b) Tener más de 20.000 habitantes de derecho, según las cifras de población del Padrón municipal vigente a 1 de enero de 2011 y aprobado oficialmente por el Gobierno, en los que concurran simultáneamente que el número de unidades urbanas censadas en el catastro inmobiliario urbano sea superior a 36.000 en la fecha señalada.
c) Los municipios que, aun no reuniendo alguna de las condiciones anteriores, sean capitales de provincia.
d) Se exceptúan los municipios que, cumpliendo los requisitos anteriores, participen en un sistema de financiación alternativo del servicio de transporte público urbano interior, en el que aporte financiación la Administración General del Estado. Esta excepción será, en todo caso, de aplicación al Convenio de colaboración instrumentado en el ámbito territorial de las Islas Canarias y los contratos programas concertados con el Consorcio Regional de Transportes de Madrid y la Autoridad del Transporte Metropolitano de Barcelona.
Tres. La dotación presupuestaria, una vez satisfechas las obligaciones de pago correspondientes a sentencias judiciales firmes del mismo concepto, se distribuirá conforme a los siguientes criterios, que se aplicarán con arreglo a los datos de gestión económica y financiera que se deduzcan del modelo al que se refiere el apartado seis del presente artículo:
A. El 5 por ciento del crédito en función de la longitud de la red municipal en trayecto de ida y expresada en kilómetros. Las líneas circulares que no tengan trayecto de ida y vuelta se computarán por la mitad.
B. El 5 por ciento del crédito en función de la relación viajeros/habitantes de derecho de cada municipio ponderada por la razón del número de habitantes citado dividido por 50.000. La cifra de habitantes de derecho será la de población del Padrón municipal vigente a 1 de enero de 2011 y oficialmente aprobado por el Gobierno.
C. El 90 por ciento del crédito en función del déficit medio por título de transporte emitido, con arreglo al siguiente procedimiento:
a) El importe a subvencionar a cada municipio vendrá dado por el resultado de multiplicar el número de títulos de transporte por la subvención correspondiente a cada uno de dichos títulos.
b) La subvención correspondiente a cada título se obtendrá aplicando a su déficit medio las cuantías y porce.ntajes definidos en la escala siguiente:
1.er tramo: el importe del déficit medio por título de transporte, de cada municipio, que no supere el 12,5 por ciento del déficit medio global se subvencionará al 100 por cien.
2.º tramo: el importe del déficit medio por título de transporte, de cada municipio, que exceda del tramo anterior y no supere el 25 por ciento del déficit medio global se subvencionará al 55 por ciento.
3.er tramo: el importe del déficit medio por título de transporte, de cada municipio, que exceda del tramo anterior y no supere el 50 por ciento del déficit medio global se subvencionará al 27 por ciento.
4.º tramo: el importe del déficit medio por título de transporte, de cada municipio, que exceda del tramo anterior y no supere el 100 por ciento del déficit medio global se subvencionará con el porcentaje de financiación que resulte de dividir el resto del crédito no atribuido a los tramos anteriores entre el total del déficit incluido en este tramo, considerando todos los municipios que tengan derecho a subvención.
5.º tramo: el importe del déficit medio por título de transporte, de cada municipio, que exceda del déficit medio global no será objeto de subvención.
El porcentaje de financiación del 4.º tramo de la escala no podrá exceder del 27 por ciento. El exceso de crédito que pudiera resultar de la aplicación de esta restricción se distribuirá proporcionalmente a la financiación obtenida por cada municipio, correspondiente a los tramos 2.º y 3.º
En ningún caso, de la aplicación de estas normas se podrá reconocer una subvención que, en términos globales, exceda del 90 por ciento del crédito disponible. Si se produjera esta circunstancia se ajustará de forma sucesiva, en la proporción necesaria el porcentaje correspondiente a los tramos 3.º, 2.º y, en su caso, 1.º, en la forma dispuesta en el tramo 4.º, hasta agotar el citado crédito.
c) El déficit medio de cada municipio será el resultado de dividir el déficit de explotación entre el número de títulos de transporte. El déficit medio global será el resultado de dividir la suma de los déficit de todos los municipios que tengan derecho a la subvención entre el total de títulos de transporte de dichos municipios.
d) El importe de la subvención por título vendrá dada por la suma de la cuantía a subvencionar en cada tramo, que se obtendrá multiplicando la parte del déficit medio incluida en cada tramo por el porcentaje de financiación aplicable en dicho tramo.
El déficit de explotación estará determinado por el importe de las pérdidas de explotación que se deduzca de las cuentas de pérdidas y ganancias de las empresas o entidades que presten el servicio de transporte público, elaboradas con arreglo al Plan de Contabilidad y a las normas y principios contables generalmente aceptados que, en cada caso, resulten de aplicación, con los siguientes ajustes:
a') En cuanto a los gastos de explotación se excluirán aquellos que se refieran a tributos, con independencia del sujeto activo de la relación jurídico-tributaria.
b') En cuanto a los gastos e ingresos de explotación se excluirán aquellos que tengan su origen en la prestación de servicios o realización de actividades ajenas a la del transporte público urbano por la que se solicita la subvención. Asimismo, se excluirán cualesquiera subvenciones y aportaciones que reconozca, a favor de la empresa o entidad que preste el servicio de transporte público urbano, el Ayuntamiento en cuyo término municipal se realice la prestación.
c') En todo caso se deducirán del déficit para el cálculo de la financiación correspondiente a este apartado los importes atribuidos como subvención por los criterios de longitud de la red y relación viajeros/habitantes de derecho.
Cuatro. Las subvenciones deberán destinarse a financiar la prestación de este servicio.
Cinco. Para los Ayuntamientos del País Vasco y Navarra, la subvención que les corresponda se corregirá en la misma proporción aplicable a su participación en tributos del Estado.
Seis. Antes del 1 de julio del año 2012, con el fin de distribuir el crédito destinado a subvencionar la prestación de los servicios de transporte público colectivo urbano, las respectivas Entidades locales deberán facilitar, en la forma que se determine por los órganos competentes del Ministerio de Hacienda y Administraciones Públicas, la siguiente documentación:
1. En todos los casos, el número de kilómetros de calzada de la red en trayecto de ida, el número de viajeros al año, el número de plazas ofertadas al año, recaudación y precios medios referidos al ejercicio 2011, según el modelo definido por la Secretaría General de Coordinación Autonómica y Local.
2. Tratándose de servicios realizados por la propia entidad u organismo autónomo dependiente en régimen de gestión directa, documento detallado de las partidas de ingresos y gastos imputables al servicio de transporte y del déficit o resultado real producido en el ejercicio 2011, según el modelo definido por la Secretaría General de Coordinación Autonómica y Local.
3. Tratándose de servicios realizados en régimen de gestión directa por una sociedad mercantil municipal o de empresas o particulares que presten el servicio en régimen de concesión o cualquier otra modalidad de gestión indirecta, se adjuntarán las cuentas anuales con su correspondiente informe de auditoría.
Asimismo, los administradores deberán elaborar un documento en el que se detallen las partidas de ingresos y gastos del servicio de transporte y del déficit o resultado real producido en el ejercicio 2011, y los criterios de imputación de los referidos ingresos y gastos, según el modelo definido por la Secretaría General de Coordinación Autonómica y Local.
Deberá ser objeto de revisión por un auditor el documento con las partidas de ingresos y gastos imputables al servicio y del déficit o resultado real producido en el ejercicio 2011 y los criterios de imputación de los ingresos y gastos, entendiendo que está auditado cuando dicha información esté incluida en la Memoria de las Cuentas Anuales y éstas hayan sido auditadas.
4. En cualquier caso, el documento oficial en el que se recojan, actualizados, los acuerdos reguladores de las condiciones financieras en que la actividad se realiza.
5. En todos los casos, justificación de encontrarse el ayuntamiento solicitante de la subvención y la empresa, organismo o entidad que preste el servicio, al corriente en el cumplimiento de sus obligaciones tributarias y con la Seguridad Social.
6. Certificación del Interventor de la aplicación del importe recibido como subvención al transporte colectivo urbano en el ejercicio inmediato anterior a la finalidad prevista en el apartado cuatro del artículo 119 de la Ley 39/2010, de 22 de diciembre, de Presupuestos Generales del Estado para el año 2011.
A los Ayuntamientos que no cumplieran con el envío de la documentación en la forma prevista en este artículo no se les reconocerá el derecho a percibir la ayuda destinada a financiar el servicio de transporte público colectivo de viajeros por causa de interés general y con el fin de evitar perjuicios financieros a los demás perceptores.
7. Las subvenciones que se concedan a partir del ejercicio 2013 (que corresponderán a los servicios de transporte colectivo urbano prestados durante el año 2012) tendrán en cuenta criterios medioambientales. El Plan de Medidas Urgentes para la Estrategia Española de cambio climático y energía limpia contempla la incorporación de criterios de eficiencia energética para la concesión de subvenciones al transporte público urbano. Esta medida, definida en el Plan de Activación de Ahorro y Eficiencia Energética ejecutado por el Ministerio de Industria, Energía y Turismo a través del IDAE, consiste en establecer un mecanismo de valoración de la eficiencia energética aplicada a los sistemas de transporte público, que permita evaluar de forma homogénea los avances producidos, y tenerlos en cuenta para la distribución de estas ayudas.
A este respecto, una parte de la subvención se repartirá en función de la puntuación obtenida en el cumplimiento de criterios medioambientales, que, a título indicativo, serán los que figuran en el cuadro que se indica a continuación, teniendo en cuenta que el importe que se distribuya por este concepto reducirá la cuantía del importe a repartir en concepto de déficit de explotación.
|
Municipios gran población |
Resto de municipios |
Puntuación |
||
|
Criterios |
Ratio cumplimiento |
Criterios |
Ratio cumplimiento |
|
|
Porcentaje autobuses urbanos GNC/GLP/BIOCOMBUSTIBLES. |
> 20 % |
Porcentaje autobuses urbanos GNC/GLP/BIOCOMBUSTIBLES. |
> 5 % |
20 |
|
Incremento en el n.º total de viajeros respecto al año anterior. |
> 1 % |
Incremento en el n.º total de viajeros respecto al año anterior. |
SI/NO |
15 |
|
Plazas-km ofertadas en transporte público: incremento con respecto a la media de los tres años anteriores. |
> 1 % |
Plazas-km ofertadas en transporte público: incremento con respecto al año anterior. |
SI/NO |
15 |
|
Existencia de vehículos eléctricos o híbridos en la flota de autobuses. |
SI/NO |
Existencia de vehículos eléctricos o híbridos en la flota de autobuses. |
SI/NO |
10 |
|
% Autobuses con accesibilidad a PMR. |
>50 % |
% Autobuses con accesibilidad a PMR. |
>20 % |
10 |
|
Densidad de las líneas de autobús urbano (km/1000 hab.). |
> 2 |
Densidad de las líneas de autobús urbano (km/1000 hab.). |
> 1 |
10 |
|
Incremento en n.º de viajes de TP respecto a la media de los tres años anteriores. |
> 1 % |
Incremento en n.º de viajes de TP respecto al año anterior. |
SI/NO |
5 |
|
Red de carriles bici: n.º de habitantes por km de carril bici. |
< 8000 |
Red de carriles bici: n.º de habitantes por km de carril bici. |
< 6000 |
3 |
|
Longitud carriles bus (% s/ longitud total de la red). |
>2 % |
Existen carriles bus. |
SI/NO |
3 |
|
Porcentaje de conductores Bus Urbano formados (%). |
> 20 % |
Porcentaje de conductores Bus Urbano formados (%). |
> 15 % |
3 |
|
Paradas con información en tiempo real de llegada de autobuses (%/sobre total de paradas). |
> 3 % |
Paradas con información en tiempo real de llegada de autobuses (%/sobre total de paradas). |
> 3 % |
3 |
|
Capacitación en Gestión de flotas con criterios de eficiencia energética (n.º personas formadas/100 vehículos). |
> 1 |
Capacitación en Gestión de flotas con criterios de eficiencia energética(n.º personas formadas/100 vehículos). |
> o = 1 |
3 |
|
Total |
100 |
|||
Artículo 106. Compensación a los Ayuntamientos de los beneficios fiscales concedidos a las personas físicas o jurídicas en los tributos locales.
Para dar cumplimiento a lo previsto en el artículo 9 del texto refundido de la Ley reguladora de las Haciendas Locales aprobado por Real Decreto Legislativo 2/2004, de 5 de marzo, se dota en la Sección 32, Servicio 02, Secretaría General de Coordinación Autonómica y Local. Entidades Locales, Programa 942N, Otras aportaciones a Entidades Locales, subconcepto 461.00 del vigente Presupuesto de Gastos del Estado un crédito con la finalidad de compensar los beneficios fiscales en tributos locales de exacción obligatoria que se puedan conceder por el Estado mediante Ley y en los términos previstos en el apartado dos del citado artículo 9.
Las solicitudes de compensación serán objeto de comprobación previa a su pago, en el caso del Impuesto sobre Actividades Económicas con la información existente en las bases de datos de la matrícula de dicho impuesto, y en el caso del Impuesto sobre Bienes Inmuebles en las bases de datos del Catastro Inmobiliario.
A dichos efectos, la Agencia Estatal de Administración Tributaria del Estado y la Dirección General del Catastro del Ministerio de Hacienda y Administraciones Públicas, facilitarán la intercomunicación informática con la Secretaría General de Coordinación Autonómica y Local.
Se autoriza al Ministerio de Hacienda y Administraciones Públicas a dictar las normas necesarias para el establecimiento del procedimiento a seguir en cada caso, con el fin de proceder a la compensación, en favor de los municipios, de las deudas tributarias efectivamente condonadas y de las exenciones legalmente concedidas.
Artículo 107. Otras compensaciones y subvenciones a las Entidades locales.
Uno. Con cargo a los créditos consignados en la Sección 32, Servicio 02, Secretaría General de Coordinación Autonómica y Local. Entidades Locales, Programa 942N, Otras aportaciones a Entidades Locales, subconcepto 461.01, se hará efectiva la compensación de las cuotas del Impuesto sobre Vehículos de Tracción Mecánica objeto de condonación en el año 2012, como consecuencia de la aplicación de los beneficios fiscales establecidos en el vigente Convenio de Cooperación para la Defensa con los Estados Unidos, de fecha 1 de diciembre de 1988.
El cálculo de la cantidad a compensar se realizará con arreglo a los Convenios suscritos con los ayuntamientos afectados.
Dos. Con cargo a los créditos de la Sección 32, Servicio 02, Secretaría General de Coordinación Autonómica y Local. Entidades Locales, Programa 942N, Otras aportaciones a Entidades Locales, concepto 463, se concede una ayuda de 8 millones de euros para su asignación a las Ciudades de Ceuta y de Melilla, destinada a los costes de funcionamiento de las plantas desalinizadoras instaladas para el abastecimiento de agua.
Las ayudas a las que se refiere el párrafo anterior, se harán efectivas en la forma que se establezca en el instrumento regulador correspondiente, que para el otorgamiento de subvenciones nominativas establece el artículo 28 de la Ley 38/2003, de 17 de noviembre, General de Subvenciones, y el real Decreto 887/2006, de 21 de julio, por el que se aprueba su Reglamento de desarrollo.
La anterior cuantía se repartirá entre las Ciudades de Ceuta y Melilla en función del número de habitantes de derecho de cada municipio, según el Padrón de la población municipal vigente a 1 de enero del ejercicio inmediatamente anterior. A la Ciudad de Ceuta le corresponden 4,12 millones de euros y a la de Melilla 3,88 millones de euros.
Artículo 108. Anticipos a favor de los Ayuntamientos por desfases en la gestión recaudatoria de los tributos locales.
Uno. Cuando por circunstancias relativas a la emisión de los padrones no se pueda liquidar el Impuesto sobre Bienes Inmuebles antes del 1 de agosto del año 2012, los ayuntamientos afectados podrán percibir del Tesoro Público anticipos a cuenta del mencionado impuesto, a fin de salvaguardar sus necesidades mínimas de tesorería, previa autorización del Pleno de la respectiva corporación.
Tales anticipos serán concedidos a solicitud de los respectivos municipios, previo informe de la Dirección General del Catastro y serán tramitados y resueltos por la Secretaría General de Coordinación Autonómica y Local.
En la tramitación de los expedientes se tendrán en cuenta los siguientes condicionamientos:
a) Los anticipos no podrán exceder del 75 por ciento del importe de la recaudación previsible como imputable a cada padrón.
b) El importe anual a anticipar a cada corporación mediante esta fórmula no excederá del doble de la última anualidad percibida por la misma en concepto de participación en los tributos del Estado.
c) En ningún caso podrán solicitarse anticipos correspondientes a más de dos períodos impositivos sucesivos con referencia a un mismo tributo.
d) Las Diputaciones Provinciales, Cabildos y Consejos Insulares y Comunidades Autónomas uniprovinciales y otros organismos públicos recaudadores que, a su vez, hayan realizado anticipos a los Ayuntamientos de referencia, en la forma prevista en el artículo 149.2 del texto refundido de la Ley Reguladora de las Haciendas Locales aprobado por Real Decreto Legislativo 2/2004, de 5 de marzo, podrán ser perceptores de la cuantía que corresponda del anticipo, hasta el importe de lo efectivamente anticipado y con el fin de poder cancelar en todo o en parte las correspondientes operaciones de tesorería, previa la oportuna justificación.
e) Una vez dictada la correspondiente resolución definitiva, los anticipos se librarán por su importe neto a favor de los Ayuntamientos o entidades a que se refiere la letra d) anterior por cuartas partes mensuales, a partir del día 1 de septiembre de cada año, y se suspenderán las correlativas entregas en el mes siguiente a aquel en que se subsanen las deficiencias señaladas en el párrafo primero de este apartado.
Los anticipos concedidos con arreglo a lo dispuesto en este apartado, estarán sometidos, en su caso, a las mismas retenciones previstas en la disposición adicional cuarta del texto refundido de la Ley Reguladora de las Haciendas Locales aprobado por Real Decreto Legislativo 2/2004, de 5 de marzo, y serán reintegrados por las respectivas entidades locales una vez recibido informe de la Dirección General del Catastro comunicando la rectificación de los mencionados padrones.
Dos. Mediante resolución de la Secretaría General de Coordinación Autonómica y Local se podrán conceder a los Ayuntamientos, en caso de urgente y extraordinaria necesidad de tesorería, anticipos a reintegrar dentro del ejercicio corriente con cargo a su participación en los tributos del Estado. Para la concesión de estos anticipos se deberán cumplir los siguientes requisitos:
a) Acuerdo del Pleno de la Corporación, autorizando a su Presidente la solicitud del anticipo y fijando los términos de tal solicitud.
b) Informe de la Intervención municipal en el que se concrete la situación económico-financiera de la Entidad Local que justifique con precisión la causa extraordinaria que hace necesario el anticipo.
c) Informe de la Tesorería municipal de la previsión de ingresos y los gastos del ejercicio correspondiente.
Normas instrumentales en relación con las disposiciones incluidas en este capítulo
Artículo 109. Normas de gestión presupuestaria de determinados créditos a favor de las Entidades locales.
Uno. Se autoriza al Ministerio de Hacienda y Administraciones Públicas a comprometer gastos con cargo al ejercicio de 2013, hasta un importe máximo equivalente a la doceava parte de los créditos consignados en el Presupuesto para 2012, destinados a satisfacer las entregas a cuenta de la participación en tributos del Estado a favor de los Ayuntamientos y Diputaciones Provinciales o entes asimilados, del mes de enero de 2013. Las diferencias que pudieran surgir en relación con la determinación de las entregas a cuenta definitivas imputables al mencionado ejercicio serán objeto de ajuste en las entregas a cuenta del mes de febrero del ejercicio citado.
Dos. Los expedientes de gasto y las órdenes de pago conjuntas que se expidan a efectos de cumplir los compromisos que se establecen en los artículos precedentes del presente capítulo se tramitarán, simultáneamente, a favor de las Corporaciones locales afectadas, y su cumplimiento, en cuanto a la disposición efectiva de fondos, podrá realizarse con cargo a las cuentas de acreedores no presupuestarios que, a estos fines, están habilitadas en la Secretaría General del Tesoro y Política Financiera, de forma que se produzca el pago conjunto y simultáneo de las respectivas obligaciones a todos los perceptores en razón de la fecha de las correspondientes resoluciones y en igualdad de condiciones.
Se declaran de urgente tramitación:
Los expedientes de modificación de crédito con relación a los compromisos señalados.
Los expedientes de gasto, vinculados a los compromisos de referencia, a que se refiere la Orden de 27 de diciembre de 1995.
A estos efectos, deberán ser objeto de acumulación las distintas fases del procedimiento de gestión presupuestaria, adoptándose en igual medida procedimientos especiales de registro contable de las respectivas operaciones.
Tres. En los supuestos previstos en el apartado anterior, cuando proceda la tramitación de expedientes de ampliación de crédito y a los efectos previstos en el artículo 54 de la Ley 47/2003, de 26 de noviembre, General Presupuestaria, las solicitudes de incrementos de crédito se justificarán, en todo caso, en base a las peticiones adicionales formuladas por las Entidades Locales afectadas.
Cuatro. Los créditos incluidos en el Presupuesto de Gastos a los fines señalados en el apartado uno anterior se podrán transferir con la periodicidad necesaria a la cuenta extrapresupuestaria correspondiente, habilitada a estos efectos en la Secretaría General del Tesoro y Política Financiera. Este procedimiento se podrá aplicar al objeto de materializar el pago simultáneo de las obligaciones que se deriven de la participación de las Entidades locales en los tributos del Estado, tanto en concepto de entregas a cuenta como de liquidación definitiva, así como para proceder al pago simultáneo de las obligaciones que traigan causa de las solicitudes presentadas por las Corporaciones locales, una vez se dicten las resoluciones pertinentes que den origen al reconocimiento de dichas obligaciones por parte del Estado.
Artículo 110. Información a suministrar por las Corporaciones locales.
Uno. Con el fin de proceder a la liquidación definitiva de la participación de los Ayuntamientos en los tributos del Estado, correspondiente a 2012 las respectivas Corporaciones locales deberán facilitar, antes del 30 de junio del año 2012, en la forma que se determine por los órganos competentes del Ministerio de Hacienda y Administraciones Públicas, la siguiente documentación:
1. Una certificación comprensiva de la recaudación líquida obtenida en 2010 por el Impuesto sobre Bienes Inmuebles, por el Impuesto sobre Actividades Económicas y por el Impuesto sobre Vehículos de Tracción Mecánica. En el Impuesto sobre Bienes Inmuebles se especificará la recaudación correspondiente a los bienes inmuebles de características especiales.
2. Una certificación comprensiva de las bases imponibles deducidas de los padrones del año 2010, así como de las altas producidas en los mismos, correspondientes al Impuesto sobre Bienes Inmuebles, urbanos, y de los tipos exigibles en el municipio en los tributos que se citan en el párrafo precedente. En relación con el Impuesto sobre Bienes Inmuebles se especificará la información tributaria correspondiente a los bienes inmuebles de características especiales. Además, se especificarán las reducciones que se hubieren aplicado en 2010, a las que se refiere la disposición adicional novena del texto refundido de la Ley Reguladora de las Haciendas Locales, aprobado por Real Decreto Legislativo 2/2004, de 5 de marzo.
3. Una certificación de las cuotas exigibles en el Impuesto sobre Actividades Económicas en 2010, incluida la incidencia de la aplicación del coeficiente a que se refiere el artículo 86 del texto refundido de la Ley Reguladora de las Haciendas Locales aprobado por Real Decreto Legislativo 2/2004, de 5 de marzo, vigentes en aquel período impositivo.
Dos. El procedimiento de remisión de la documentación en papel podrá sustituirse por la transmisión electrónica de la información en los modelos habilitados para tal fin, siempre que el soporte utilizado para el envío incorpore la firma electrónica del Interventor o, en su caso, del titular del órgano de la Corporación local que tenga atribuida la función de contabilidad.
La firma electrónica reconocida, entendida en los términos previstos por la Ley 59/2003, de 19 de diciembre, de firma electrónica, tendrá respecto de los datos transmitidos por la Entidad local el mismo valor que la firma manuscrita en relación con los consignados en papel, por lo que su aplicación en la transmisión electrónica de la información eximirá de la obligación de remitir la citada documentación en soporte papel.
Tres. Por la Secretaría General de Coordinación Autonómica y Local se procederá a dictar la correspondiente resolución estableciendo los modelos que contengan el detalle de la información necesaria, así como la regulación del procedimiento para la presentación telemática de la documentación y la firma electrónica de la misma.
Cuatro. A los municipios que, estando en el ámbito de aplicación de la Subsección 2.ª de la Sección 4.ª de este capítulo, no aportaran la documentación que se determina en las condiciones señaladas anteriormente se les aplicará, en su caso, un módulo de ponderación equivalente al 60 por ciento del esfuerzo fiscal medio aplicable al municipio con menor coeficiente por este concepto, dentro del tramo de población en que se encuadre, a efectos de practicar la liquidación definitiva de su participación en los tributos del Estado para el año 2012.
Artículo 111. Retenciones a practicar a las Entidades locales en aplicación de la disposición adicional cuarta del texto refundido de la Ley Reguladora de las Haciendas Locales aprobado por Real Decreto Legislativo 2/2004, de 5 de marzo.
Uno. Previa solicitud del órgano competente que tenga atribuida legalmente la gestión recaudatoria, de acuerdo con la normativa específica aplicable, la Secretaría General de Coordinación Autonómica y Local aplicará las retenciones que deban practicarse en la participación de los municipios y provincias en los tributos del Estado.
Si concurrieran en la retención deudas derivadas de tributos del Estado y deudas por cuotas de la Seguridad Social y conceptos de recaudación conjunta con las mismas, y la cuantía de todas ellas superase la cantidad retenida, aquella se prorrateará en función de los importes de éstas.
Dos. El importe de la retención será el 50 por ciento de la cuantía asignada a la respectiva entidad local, tanto en cada entrega a cuenta como en la liquidación definitiva anual correspondiente a la participación en los tributos del Estado, excepto cuando la cuantía de la deuda sea inferior a esa cantidad.
Cuando se trate de deudas derivadas de tributos del Estado que hayan sido legalmente repercutidos, de ingresos a cuenta correspondientes a retribuciones en especie, de cantidades retenidas o que se hubieran debido retener a cuenta de cualquier impuesto, o de cotizaciones sociales que hayan sido o hubieran debido ser objeto de retención, la retención a practicar será del 100 por ciento de la cuantía asignada a la respectiva entidad local, tanto en cada entrega a cuenta como en la liquidación definitiva anual correspondiente a la participación en los tributos del Estado, excepto cuando la cuantía de la deuda sea inferior a esa cantidad.
Tres. La cuantía a retener en el conjunto del ejercicio podrá reducirse cuando se justifique la existencia de graves desfases de tesorería generados por la prestación de aquellas obligaciones relativas:
a) Al cumplimiento regular de las obligaciones de personal;
b) A la prestación de los servicios públicos obligatorios en función del número de habitantes del municipio;
c) A la prestación de servicios sociales, protección civil y extinción de incendios, para cuya realización no se exija contraprestación alguna en forma de precio público o tasa equivalente al coste del servicio realizado.
En ningún caso podrá establecerse un porcentaje de retención inferior al 25 por ciento de la entrega a cuenta.
No será aplicable la reducción de retenciones a aquellas entidades locales que se hayan integrado en consorcios de saneamiento financiero del que formen parte instituciones de otras administraciones públicas.
En los procedimientos de reducción del porcentaje de retención, la Secretaría General de Coordinación Autonómica y Local dictará la resolución correspondiente, teniendo en cuenta la situación financiera de la entidad y la necesidad de garantizar la prestación de los servicios públicos obligatorios. Para ello, la entidad local deberá aportar, con carácter imprescindible y no exclusivo:
– Certificado expedido por los órganos de recaudación de las Entidades acreedoras por el que se acredite haber atendido el pago de las obligaciones corrientes en los doce meses precedentes al mes inmediato anterior a la fecha de solicitud de la certificación;
– Informe de la situación financiera actual suscrito por el Interventor local que incluya el cálculo del remanente de tesorería a la fecha de solicitud de la reducción del porcentaje de retención y ponga de manifiesto los términos en los que dicha situación afecta al cumplimiento de las obligaciones recogidas en el párrafo primero del presente apartado;
– Plan de Saneamiento, aprobado por el Pleno, que incluya el ejercicio en curso.
En la resolución se fijará el período de tiempo en que el porcentaje de retención habrá de ser reducido, sin que quepa la extensión de este más allá de la finalización del ejercicio En todo caso, tal reducción estará condicionada a la aprobación por la entidad local de un plan de saneamiento, o a la verificación del cumplimento de otro en curso.
Cuatro. Cuando la deuda nazca como consecuencia del reintegro de anticipos de financiación a cargo del Tesoro Público, la retención habrá de adecuarse a las condiciones fijadas en la resolución de concesión del correspondiente anticipo, ya sea mediante la cancelación total del débito en forma singular, o en retenciones sucesivas hasta la definitiva extinción de éste.
Cinco. Las resoluciones declarando la extinción de las deudas con cargo a las cantidades que se hayan retenido corresponderán, en cada caso, al órgano legalmente competente que tenga atribuida la gestión recaudatoria, de acuerdo con la normativa específica aplicable, produciendo sus efectos, en la parte concurrente de la deuda, desde el momento en que se efectuó la retención.
Seis. Las normas contenidas en este artículo serán de aplicación en los supuestos de deudas contraídas por las Entidades Locales con el Instituto de Crédito Oficial, por la línea de crédito instruida por este último a las que se refiere la Sección Segunda del capítulo II del Real Decreto-ley 8/2011, de 1 de julio. Asimismo, serán de aplicación las normas de este precepto en los supuestos de deudas contraídas con el Fondo para la financiación de los pagos a proveedores, que pudieran derivarse de la aplicación del artículo 8 del Real Decreto-ley 7/2012, de 9 de marzo, por el que se crea el Fondo para la financiación de los pagos a proveedores.
Artículo 112. Financiación de instituciones del municipio de Barcelona.
En el marco de la Ley 1/2006, de 13 de marzo, por la que se regula el Régimen Especial del Municipio de Barcelona, con cargo al Concepto 461, al Ayuntamiento de Barcelona para la financiación de instituciones culturales del municipio, de acuerdo con el convenio que se suscriba en el ámbito de la Comisión de Colaboración Interadministrativa, del Programa 334A, Promoción y cooperación cultural, del Servicio 13, Dirección General de Políticas e Industrias Culturales y del Libro, de la Sección 18, Ministerio de Educación, Cultura y Deporte, de los Presupuestos Generales del Estado para el año 2012, se podrán reconocer obligaciones hasta un montante global de 3.600 miles de euros para la financiación de instituciones con amplia proyección y relevancia del Municipio de Barcelona.
Para la materialización de las transferencias destinadas a financiar las instituciones citadas en el apartado anterior deberá suscribirse previamente el correspondiente Convenio en el ámbito de la Comisión de Colaboración Interadministrativa creada con arreglo a lo dispuesto en el artículo 5 de la Ley 1/2006, de 13 de marzo, por la que se regula el Régimen Especial del Municipio de Barcelona.
Artículo 113. Procedimientos de suministro de información de los presupuestos, previsiones contables y liquidaciones de las Entidades Locales.
El procedimiento de remisión de la información que las entidades locales o sus dependientes incluidas en el ámbito subjetivo de la normativa de estabilidad presupuestaria, deben suministrar al Ministerio de Hacienda y Administraciones Públicas, relativa a sus presupuestos, liquidaciones o, en su caso, estados contables, se realizará, en todo caso, mediante transmisión telemática, utilizando los modelos habilitados para tal fin en la página web de este Ministerio, dentro de la Oficina Virtual para la Coordinación Financiera con las Entidades Locales, modelos XBRL o formulario electrónico de cumplimentación manual, incorporando firma electrónica del responsable o titular del Órgano de la Entidad local que tenga atribuida la competencia de elaboración o presentación de la información objeto de comunicación.
Artículo 114. Entregas a cuenta del Fondo de Suficiencia Global.
Los créditos presupuestarios destinados a hacer efectivas las entregas a cuenta del Fondo de Suficiencia Global establecidas en el artículo 20 de la Ley 22/2009, de 18 de diciembre, por la que se regula el sistema de financiación de las Comunidades Autónomas de régimen común y Ciudades con Estatuto de Autonomía y se modifican determinadas normas tributarias, una vez tenidas en cuenta las regularizaciones del Fondo de Suficiencia Global del año base en los términos previstos en el artículo 10 de la citada Ley, las revisiones, correcciones y demás preceptos aplicables a las mismas son, para cada Comunidad Autónoma y Ciudad con Estatuto de Autonomía, los que se incluyen en los correspondientes Servicios de la Sección 36 «Sistemas de financiación de Entes Territoriales», Programa 941M «Transferencias a Comunidades Autónomas por participación en los ingresos del Estado», concepto 451 «Fondo de Suficiencia Global».
Artículo 115. Liquidación definitiva de los recursos del Sistema de Financiación de las Comunidades Autónomas y Ciudades con Estatuto de Autonomía y participación en los Fondos de Convergencia.
Uno. De conformidad con lo que establece el apartado 2 del artículo 11 de la Ley 22/2009, de 18 de diciembre, cuando se conozcan los valores definitivos en el año 2012 de todos los recursos correspondientes al año 2010 regulados en el Título I de la citada Ley, se practicará la liquidación de dicho ejercicio. De acuerdo con lo previsto en el apartado 3 del citado artículo 11, en ese momento se efectuará igualmente la liquidación de los Fondos de Convergencia Autonómica regulados en el Título II de la citada Ley correspondientes a 2010.
La determinación del importe de la liquidación definitiva del año 2010 de cada uno de los recursos del sistema y de los Fondos de Convergencia Autonómica se calculará, en aplicación de lo dispuesto en la disposición transitoria primera de la Ley 22/2009, de 18 de diciembre, conforme a las siguientes reglas:
a) Se calculará la cuantía total obtenida por cada Comunidad Autónoma o Ciudad con Estatuto de Autonomía por pagos efectuados en el año 2010 que, conforme lo indicado en el apartado 5 de la disposición transitoria primera de la Ley 22/2009, de 18 de diciembre, incluye las entregas a cuenta de los recursos del sistema reguladas en la Ley 21/2001, de 27 de diciembre, los anticipos recibidos por las Comunidades Autónomas de régimen común y Ciudades con Estatuto de Autonomía, con cargo a los Presupuestos Generales del Estado para 2010, a cuenta de los fondos y recursos adicionales previstos en el Título I de la Ley 22/2009, de 18 de diciembre, los pagos por los servicios transferidos indicados en la letra g) del apartado 2 del artículo 5 de la Ley 22/2009, de 18 de diciembre, los pagos recibidos por la dotación complementaria para la financiación de la asistencia sanitaria y por la dotación de compensación de insularidad previstos en la letra h) del apartado 2 del artículo 5 de la citada ley y, en su caso, los pagos recibidos por los servicios traspasados por el Instituto Social de la Marina, previstos en la letra i) del apartado 2 del artículo 5 de la citada Ley.
b) En cumplimiento de lo previsto en el artículo 20 in fine y en las disposiciones transitorias primera y cuarta de la Ley 22/2009, de 18 de diciembre, para determinar las liquidaciones definitivas de los recursos tributarios sujetos a liquidación se deducirá del rendimiento definitivo de cada uno de ellos, calculado de acuerdo con la Ley 22/2009, de 18 de diciembre, el importe de los pagos enumerados en la letra a) anterior que sea equivalente al importe de las entregas a cuenta realizadas en el año 2010, para cada uno de los recursos tributarios, que fueron determinadas con arreglo a la Ley 21/2001, de 27 de diciembre.
c) La liquidación definitiva de la Transferencia del Fondo de Garantía de Servicios Públicos Fundamentales de cada Comunidad Autónoma se determinará deduciendo de su valor definitivo, calculado de acuerdo con la Ley 22/2009, de 18 de diciembre, el importe de los pagos enumerados en la letra a) anterior necesario para que el importe de esta liquidación equivalga a la cifra resultante de distribuir los recursos adicionales del artículo 6 de la Ley 22/2009, de 18 de diciembre, en función de la población ajustada de la Comunidad Autónoma en 2010, determinada con arreglo a lo previsto en el artículo 19 de la Ley 22/2009, de 18 de diciembre.
d) La liquidación definitiva del Fondo de Suficiencia Global de cada Comunidad Autónoma o Ciudad con Estatuto de Autonomía se calculará deduciendo de su valor definitivo, calculado de acuerdo con la Ley 22/2009, de 18 de diciembre, la cuantía de los pagos enumerados en la letra a) anterior que no hayan sido deducidos en el cálculo de las liquidaciones del resto de los recursos del Título I de la Ley 22/2009, de 18 de diciembre, enumeradas en las letras b) y c) de este apartado.
e) Los importes de las participaciones en el Fondo de Cooperación y en el Fondo de Competitividad se determinarán para cada Comunidad o Ciudad con Estatuto de Autonomía según lo establecido en los artículos 23 y 24 y en la disposición adicional primera de la Ley 22/2009, de 18 de diciembre.
Dos. La liquidación definitiva conjunta de los recursos del sistema de financiación y de las participaciones en los Fondos de Convergencia Autonómica correspondiente a 2010 de cada Comunidad Autónoma y Ciudad con Estatuto de Autonomía, a la que se refiere el artículo 11.3 de la Ley 22/2009, de 18 de diciembre, estará compuesta por los importes de las liquidaciones definitivas de todos los recursos del sistema y de las participaciones en los fondos de convergencia autonómica enumeradas en el apartado uno del presente artículo y, en su caso, de la participación de cada Comunidad Autónoma en el importe de la garantía prevista en el apartado siete de este artículo, una vez deducido el importe de los anticipos correspondientes al año 2010, concedidos al amparo del artículo 64 de la Ley 22/2009, de 18 de diciembre y de la disposición transitoria segunda de la misma Ley, no incluidos en la letra a) del apartado uno anterior, y el importe de los pagos realizados en 2010 a cada Comunidad Autónoma por las recaudaciones de ingresos derivados del Impuesto sobre el Patrimonio, a los que se refiere el apartado 6 de la disposición transitoria primera de la Ley 22/2009, de 18 de diciembre.
Tres. En el supuesto de que el saldo global de la liquidación anterior fuera a favor de la Comunidad Autónoma o Ciudad con Estatuto de Autonomía, se realizarán los pagos de las liquidaciones positivas descontando de ellos, mediante compensación, el importe de las liquidaciones a favor del Estado, el importe de los anticipos correspondientes al año 2010, concedidos al amparo del artículo 64 de la Ley 22/2009, de 18 de diciembre y de la disposición transitoria segunda de la misma Ley, no incluidos en la letra a) del apartado uno anterior, y el importe de los pagos realizados en 2010 a cada Comunidad Autónoma por las recaudaciones de ingresos derivados del Impuesto sobre el Patrimonio, a los que se refiere el apartado 6 de la disposición transitoria primera de la Ley 22/2009, de 18 de diciembre.
Cuatro. En el supuesto de que el saldo global de la liquidación del apartado Dos fuera a favor del Estado, se realizarán, de acuerdo a lo establecido en el artículo 11.3 de la Ley 22/2009, de 18 de diciembre, los pagos de las liquidaciones a favor de la Comunidad descontando en ellos, por este mismo orden de prelación, el saldo a favor del Estado de la Transferencia del Fondo de Garantía, el de los tributos cedidos, el importe de los anticipos correspondientes al año 2010, concedidos al amparo del artículo 64 de la Ley 22/2009, de 18 de diciembre, de la disposición transitoria segunda de la misma Ley, no incluidos en la letra a) del apartado Uno anterior, y el importe de los pagos realizados en 2010 a cada Comunidad Autónoma por las recaudaciones de ingresos derivados del Impuesto sobre el Patrimonio, a los que se refiere el apartado 6 de la disposición transitoria primera de la Ley 22/2009, de 18 de diciembre, y el saldo del Fondo de Suficiencia Global.
Los saldos restantes de la liquidación que no hubieran podido ser objeto de compensación se compensarán conforme a lo previsto en el artículo 11.3 de la Ley 22/2009, de 18 de diciembre.
Cinco. Los ingresos derivados de compensar los pagos realizados en 2010 a cada Comunidad Autónoma por las recaudaciones de ingresos procedentes del Impuesto sobre el Patrimonio a que se refiere el apartado 6 de la disposición transitoria primera de la Ley 22/2009, de 18 de diciembre, y de compensar los anticipos correspondientes al año 2010, concedidos al amparo de la disposición transitoria segunda de la Ley 22/2009, de 18 de diciembre, no incluidos en la letra a) del apartado uno anterior, según lo señalado en los apartados anteriores, se reflejarán como derecho en el capítulo IV del Presupuesto de Ingresos del Estado.
Seis. En cumplimiento de lo previsto en la disposición adicional tercera de la Ley 22/2009, de 18 de diciembre, el Estado compensará a las Comunidades Autónomas cuyos importes, tanto de la transferencia del Fondo de Garantía de Servicios Públicos Fundamentales como del Fondo de Suficiencia Global, correspondientes a 2010, sean negativos, a través del crédito presupuestario señalado en el apartado Ocho. El importe de esta compensación, que tendrá signo positivo, para cada Comunidad Autónoma acreedora de la misma, será aquel que permita que, después de haberse repartido la totalidad de los recursos del Fondo de Competitividad, el índice de financiación descrito en el apartado 5 del artículo 23 de la Ley 22/2009, de 18 de diciembre, alcance la unidad, con el límite del importe del valor definitivo de su Fondo de Suficiencia Global negativo.
A los efectos de lo previsto en los apartados anteriores de este artículo, el importe de esta compensación se incluirá en la liquidación definitiva de la participación de la Comunidad en el Fondo de Competitividad.
Siete. En cumplimiento de lo previsto en el artículo 6 de la Ley 22/2009, de 18 de diciembre, se garantiza que el importe de los recursos adicionales, incluidos los Fondos de Convergencia, será un 30 % superior al resultado del total de los incorporados en 2009, que se liquidarán en 2011.
A tal fin se procederá de la siguiente manera:
1. Se determinará la cifra total de los recursos adicionales y de los Fondos de Convergencia de los años 2009 y 2010 contenidos en los recursos financieros del sistema de financiación del conjunto de las Comunidades Autónomas y en las participaciones de las Comunidades Autónomas en los Fondos de Convergencia que se liquidan en los años 2011 y 2012, con arreglo a las siguientes reglas:
a) El importe total de los recursos adicionales contenidos en los recursos financieros de sistema de financiación que se liquidan en el año 2012, para el conjunto de las Comunidades Autónomas, se componen del valor en el año 2010 del total de los recursos adicionales previstos en el artículo 5 de la Ley 22/2009, de 18 de diciembre, para el conjunto de las Comunidades Autónomas más el importe total de los recursos adicionales previstos en el artículo 6 del citado texto legal para dicho conjunto.
b) El valor en el año 2010 del total de los recursos adicionales previstos en el artículo 5 de la Ley 22/2009, de 18 de diciembre, para el conjunto de las Comunidades Autónomas, se determina mediante la aplicación del cociente entre el ITE definitivo en el año 2010 y el ITE definitivo en el año 2009 al total de los recursos adicionales previstos en el mencionado artículo para el conjunto de las Comunidades Autónomas.
c) El valor de los Fondos de Convergencia del año 2010 para el conjunto de las Comunidades Autónomas se determinará mediante la suma de las participaciones de todas las Comunidades Autónomas en el Fondo de Competitividad y en el Fondo de Cooperación, cuya liquidación se prevé en la letra e) del apartado uno de este artículo.
d) El importe total de los recursos adicionales contenidos en los recursos financieros de sistema de financiación que se liquidan en el año 2011 se compone del total de los recursos adicionales previstos en el artículo 5 de la Ley 22/2009, de 18 de diciembre, para el conjunto de las Comunidades Autónomas.
e) El valor de los Fondos de Convergencia del año 2009 para el conjunto de las Comunidades Autónomas se determinará mediante la suma de las participaciones de las Comunidades Autónomas en el Fondo de Competitividad y en el Fondo de Cooperación, cuya liquidación se prevé en la letra e) del apartado Uno del artículo 129 de la Ley 39/2010, de 22 de diciembre, de Presupuestos Generales del Estado para el año 2011.
2. Se procederá a determinar el resultado del cociente cuyo numerador se corresponde con la suma de los importes mencionados en las letras a) y c), del punto anterior, y en cuyo denominador aparecerá la suma de los importes mencionados en las letras d) y e).
3. Si el resultado del cociente anterior fuese inferior a 1,3, el Estado, en cumplimiento de la garantía del artículo 6 de la Ley 22/2009, de 18 de diciembre, añadirá al conjunto de los recursos financieros y Fondos de Convergencia Autonómica liquidados en el año 2012 para el conjunto de las Comunidades Autónomas, el importe necesario para alcanzar el mencionado índice, en concepto de importe de la garantía.
4. El importe de la garantía determinado en el punto anterior, se distribuirá entre todas las Comunidades Autónomas, mediante la aplicación del sistema de financiación. Para ello se añadirá a la aportación definitiva del Estado al Fondo de Garantía en el año 2010, la cifra necesaria para que los recursos financieros y las participaciones en los Fondos de Convergencia Autonómica, que se liquiden teniendo en cuenta el nuevo importe de la aportación definitiva del Estado al Fondo de Garantía, exceda de los liquidables con anterioridad a la aplicación de lo dispuesto en este apartado, en el importe de la garantía mencionada en el punto anterior.
5. La participación resultante para cada Comunidad Autónoma en la distribución del importe de la garantía se liquidará junto con el resto de recursos financieros y participaciones correspondientes al año 2010, conforme se prevé en el apartado Dos de este artículo.
Ocho. A los créditos de los subconceptos que corresponda dotados en la Sección 36, Servicio 20 – «Secretaría General de Coordinación Autonómica y Local. Varias CCAA», Programa 941M «Transferencias a Comunidades Autónomas por participación en los ingresos del Estado», concepto 452 «Liquidación definitiva de la financiación de las Comunidades Autónomas y ciudades con Estatuto de Autonomía de ejercicios anteriores», se aplicarán según su naturaleza:
1) El importe de las liquidaciones definitivas del año 2010 del Fondo de Suficiencia Global, regulado en el artículo 20 de la Ley 22/2009, de 18 de diciembre, que resulten a favor de las Comunidades Autónomas y Ciudades con Estatuto de Autonomía, determinado conforme el apartado uno de este artículo.
Si el importe de las liquidaciones definitivas a que se refiere el párrafo anterior fuera a favor del Estado, se reflejará, una vez compensado o pagado, como derecho en el capítulo IV del Presupuesto de Ingresos del Estado.
2) El importe de las liquidaciones definitivas del año 2010 de las participaciones de las Comunidades Autónomas y Ciudades con Estatuto de Autonomía en los fondos de convergencia autonómica, regulados en los artículos 23, 24 y disposición adicional primera de la Ley 22/2009, de 18 de diciembre, determinado conforme el apartado uno de este artículo.
3) La compensación prevista en la disposición adicional tercera de la Ley 22/2009, de 18 de diciembre, si resultara esta compensación aplicable, determinada conforme al apartado seis de este artículo.
4) La aportación del Estado al Fondo de Garantía de Servicios Públicos Fundamentales correspondiente al ejercicio 2010 para cancelar el saldo de operaciones no presupuestarias derivado de la liquidación definitiva de la transferencia de dicho Fondo determinada conforme el apartado uno de este artículo.
5) Las participaciones de cada Comunidad Autónoma en la distribución del importe de la garantía, prevista en el apartado siete de este artículo.
Nueve. Los saldos a favor del Estado de la liquidación del Sistema de Financiación del año 2009 y los anticipos de dicho ejercicio pendientes de cancelación, a los que se refieren los apartados cuatro y siete del artículo 129 de la Ley 39/2010, de 22 de diciembre, de Presupuestos Generales del Estado para el año 2011, respectivamente, se abonarán por cada Comunidad Autónoma y Ciudad con Estatuto de Autonomía en 60 mensualidades iguales a partir de enero de 2012, mediante descuento en los pagos que realice el Estado por las entregas a cuenta de cualquier recurso del Sistema de Financiación.
Artículo 116. Transferencias a Comunidades Autónomas correspondientes al coste de los nuevos servicios traspasados.
Si a partir de 1 de enero de 2012 se efectuaran nuevas transferencias de servicios a las Comunidades Autónomas, se dotarán en los conceptos específicos de la Sección 36 que, en su momento, determine la Dirección General de Presupuestos, los créditos que se precisen para transferir a las Comunidades Autónomas el coste efectivo de los servicios asumidos.
A estos efectos, los Reales Decretos que aprueben las nuevas transferencias de servicios contendrán como mínimo los siguientes extremos:
a) Fecha en que la Comunidad Autónoma debe asumir efectivamente la gestión del servicio transferido.
b) La financiación anual, en euros del ejercicio 2012, desglosada en los diferentes capítulos de gasto que comprenda.
c) La valoración referida al año base 2007, correspondiente al coste efectivo anual del mismo, a efectos de la revisión del valor del Fondo de Suficiencia Global de la Comunidad Autónoma que corresponde prevista en el artículo 21.1 de la Ley 22/2009.
Artículo 117. Pago de las entregas a cuenta de los recursos del sistema de financiación.
El importe mensual a percibir por las Comunidades Autónomas y Ciudades con Estatuto de Autonomía como entregas a cuenta de los rendimientos definitivos de los recursos del sistema regulados en la Ley 22/2009, a partir del mes siguiente al de publicación de la presente Ley será el resultante de dividir la diferencia entre el importe anual de las entregas a cuenta que resulten de aplicación para el año 2012 de acuerdo con las previsiones de la presente Ley y el importe satisfecho hasta el fin de mes en que se publique la misma por el número de meses que resten hasta fin de 2012, contados a partir del mes siguiente al de publicación de la presente Ley.
Artículo 118. Cancelación del anticipo de tesorería concedido a la Comunidad Autónoma de Andalucía.
En la Sección 32 de los Presupuestos Generales del Estado, Servicio 01 «Secretaría General de Coordinación Autonómica y Local. Comunidades Autónomas», Programa 941O «Otras transferencias a Comunidades Autónomas», concepto 456 «Para formalización del anticipo de tesorería abonado en 2008 a la Comunidad Autónoma de Andalucía», se incluye un crédito por importe de 300.000 miles de euros destinado a hacer efectiva la cancelación del anticipo de tesorería concedido a la Comunidad Autónoma de Andalucía en el año 2008 al amparo de lo previsto en la disposición adicional quincuagésima de la Ley 51/2007, de 26 de diciembre, de Presupuestos Generales del Estado para 2008, una vez fijada por la Comisión Mixta de Asuntos Económicos y Fiscales Estado-Comunidad Autónoma de Andalucía la cuantía definitiva de las asignaciones complementarias a las que se refiere la disposición adicional segunda de la Ley 2/2007, de 19 de marzo, de reforma del Estatuto de Autonomía de Andalucía y efectuada la liquidación definitiva de las mismas.
Artículo 119. Fondos de Compensación Interterritorial.
Uno. En la Sección 33 de los Presupuestos Generales del Estado se dotan dos Fondos de Compensación lnterterritorial ascendiendo la suma de ambos a 671.580,00 miles de euros, en cumplimiento de lo dispuesto en la Ley 22/2001, de 27 de diciembre, reguladora de los Fondos de Compensación Interterritorial modificada por la Ley 23/2009 de 18 de diciembre.
Dos. El Fondo de Compensación, dotado con 503.697,59 miles de euros, se destinará a financiar gastos de inversión de acuerdo con lo previsto en el artículo 2 de la Ley 22/2001.
Tres. El Fondo Complementario, dotado con 167.882,41 miles de euros, podrá aplicarse por las Comunidades Autónomas y Ciudades con Estatuto de Autonomía propio a la financiación de los gastos de puesta en marcha o funcionamiento de las inversiones realizadas con cargo a la Sección 33 de los Presupuestos Generales del Estado en los términos previstos en el artículo 6.2 de la Ley 22/2001.
Cuatro. El porcentaje que representa el Fondo de Compensación destinado a las Comunidades Autónomas sobre la base de cálculo constituida por la inversión pública es del 29,58 por 100, de acuerdo al artículo 2.1.a) de dicha Ley. Además, en cumplimiento de la disposición adicional única de la Ley 22/2001, el porcentaje que representan los Fondos de Compensación Interterritorial destinados a las Comunidades Autónomas es del 39,44 por ciento elevándose al 40,06 por ciento si se incluyen las Ciudades con Estatuto de Autonomía de Ceuta y Melilla y alcanzando el 40,45 por ciento teniendo en cuenta la variable «región ultraperiférica» definida en la Ley 23/2009, de modificación de la Ley 22/2001.
Cinco. Los proyectos de inversión que pueden financiarse con cargo a los Fondos anteriores son los que se detallan en el anexo a la Sección 33.
Seis. En el ejercicio 2012 serán beneficiarias de estos Fondos las Comunidades Autónomas de: Galicia, Andalucía, Principado de Asturias, Cantabria, Región de Murcia, Comunidad Valenciana, Castilla-La Mancha, Canarias, Extremadura, Castilla y León y las Ciudades de Ceuta y Melilla de acuerdo con la disposición adicional única de la Ley 22/2001, de 27 de diciembre.
Siete. Los remanentes de crédito de los Fondos de Compensación Interterritorial de ejercicios anteriores se incorporarán automáticamente al Presupuesto del año 2012 a disposición de la misma Administración a la que correspondía la ejecución de los proyectos en 31 de diciembre de 2011.
Ocho. En tanto los remanentes de créditos presupuestarios de ejercicios anteriores se incorporan al vigente, el Tesoro Público podrá efectuar anticipos de tesorería a las Comunidades Autónomas por igual importe a las peticiones de fondos efectuadas por las mismas «a cuenta» de los recursos que hayan de percibir una vez que se efectúe la antedicha incorporación.
Los anticipos deberán quedar reembolsados antes de finalizar el ejercicio económico.
Artículo 120. Bases y tipos de cotización a la Seguridad Social, Desempleo, Protección por cese de actividad, Fondo de Garantía Salarial y Formación Profesional durante el año 2012.
Las bases y los tipos de cotización a la Seguridad Social, Desempleo, Protección por cese de actividad, Fondo de Garantía Salarial y Formación Profesional, a partir de 1 de enero de 2012 serán los siguientes:
Uno. Topes máximo y mínimo de las bases de cotización a la Seguridad Social.
1. El tope máximo de la base de cotización en cada uno de los Regímenes de la Seguridad Social que lo tengan establecido, queda fijado, a partir de 1 de enero de 2012, en la cuantía de 3.262,50 euros mensuales.
2. De acuerdo con lo establecido en el número 2 del artículo 16 del texto refundido de la Ley General de la Seguridad Social, aprobado por Real Decreto Legislativo 1/1994, de 20 de junio, durante el año 2012, las bases de cotización en los Regímenes de la Seguridad Social y respecto de las contingencias que se determinan en este artículo, tendrán como tope mínimo las cuantías del salario mínimo interprofesional vigente en cada momento, incrementadas en un sexto, salvo disposición expresa en contrario.
Dos. Bases y tipos de cotización en el Régimen General de la Seguridad Social.
1. Las bases mensuales de cotización para todas las contingencias y situaciones protegidas por el Régimen General de la Seguridad Social, exceptuadas las de accidentes de trabajo y enfermedades profesionales, estarán limitadas, para cada grupo de categorías profesionales, por las bases mínimas y máximas siguientes:
a) Las bases mínimas de cotización, según categorías profesionales y grupos de cotización, desde 1 de enero de 2012 no se incrementarán con respecto de las vigentes en 31 de diciembre de 2011.
Las bases mínimas de cotización aplicables a los trabajadores con contrato a tiempo parcial se adecuarán en orden a que la cotización en esta modalidad de contratación sea equivalente a la cotización a tiempo completo por la misma unidad de tiempo y similares retribuciones.
b) Las bases máximas, cualquiera que sea la categoría profesional y grupo de cotización, durante el año 2012, serán de 3.262,50 euros mensuales o de 108,75 euros diarios.
2. Los tipos de cotización en el Régimen General de la Seguridad Social serán, durante el año 2012, los siguientes:
a) Para las contingencias comunes el 28,30 por 100, siendo el 23,60 por 100 a cargo de la empresa y el 4,70 por 100 a cargo del trabajador.
b) Para las contingencias de accidentes de trabajo y enfermedades profesionales se aplicarán los porcentajes de la tarifa de primas incluida en la disposición adicional cuarta de la Ley 42/2006, de 28 de diciembre, de Presupuestos Generales del Estado para el año 2007, siendo las primas resultantes a cargo exclusivo de la empresa.
3. Durante el año 2012, para la cotización adicional por horas extraordinarias establecida en el artículo 111 del texto refundido de la Ley General de la Seguridad Social, se aplicarán los siguientes tipos de cotización:
a) Cuando se trate de las horas extraordinarias motivadas por fuerza mayor, el 14,00 por 100, del que el 12,00 por 100 será a cargo de la empresa y el 2,00 por 100 a cargo del trabajador.
b) Cuando se trate de las horas extraordinarias no comprendidas en el párrafo anterior, el 28,30 por 100, del que el 23,60 por 100 será a cargo de la empresa y el 4,70 por 100 a cargo del trabajador.
4. A partir de 1 de enero de 2012, la base máxima de cotización por contingencias comunes aplicable a los representantes de comercio será la prevista con carácter general en el apartado Dos.1.b) del presente artículo.
5. A efectos de determinar, durante el año 2012, la base máxima de cotización por contingencias comunes de los artistas, se aplicará lo siguiente:
a) La base máxima de cotización para todos los grupos correspondientes a las distintas categorías profesionales será de 3.262,50 euros mensuales.
No obstante, el límite máximo de las bases de cotización en razón de las actividades realizadas por un artista, para una o varias empresas, tendrá carácter anual y se determinará por la elevación a cómputo anual de la base mensual máxima señalada.
b) El Ministerio de Empleo y Seguridad Social, teniendo en cuenta la base y el límite máximos establecidos en el apartado anterior, fijará las bases de cotización para determinar las liquidaciones provisionales de los artistas, a que se refiere el artículo 32.5.b) del Reglamento General sobre Cotización y Liquidación de otros Derechos de la Seguridad Social, aprobado por Real Decreto 2064/1995, de 22 de diciembre.
6. A efectos de determinar, durante el año 2012, la base máxima de cotización por contingencias comunes de los profesionales taurinos, se aplicará lo siguiente:
a) La base máxima de cotización para todos los grupos correspondientes a las distintas categorías profesionales será de 3.262,50 euros mensuales. No obstante, el límite máximo de las bases de cotización para los profesionales taurinos tendrá carácter anual y se determinará por la elevación a cómputo anual de la base mensual máxima señalada.
b) El Ministerio de Empleo y Seguridad Social, teniendo en cuenta la base y el límite máximos establecidos en el apartado anterior, fijará las bases de cotización para determinar las liquidaciones provisionales de los profesionales taurinos, a que se refiere el artículo 33.5.b) del Reglamento General sobre Cotización y Liquidación de otros Derechos de la Seguridad Social.
Tres. Cotización en el Sistema Especial para Trabajadores por Cuenta Ajena Agrarios establecido en el Régimen General de la Seguridad Social.
1. Durante el año 2012, los importes de las bases mensuales de cotización tanto por contingencias comunes como profesionales de los trabajadores incluidos en este Sistema Especial, que presten servicios durante todo el mes, se determinarán conforme a lo establecido en el artículo 109 del texto refundido de la Ley General de la Seguridad Social, con aplicación de las siguientes bases máximas y mínimas:
|
Grupo de cotización |
Categorías profesionales |
Bases mínimas — Euros/mes |
Bases máximas — Euros/mes |
|
1 |
Ingenieros y Licenciados. Personal de alta dirección no incluido en el artículo 1.3.c) del Estatuto de los Trabajadores |
1.045,20 |
1.800,00 |
|
2 |
Ingenieros Técnicos, Peritos y Ayudantes Titulados |
867,00 |
1.800,00 |
|
3 |
Jefes Administrativos y de Taller |
754,20 |
1.800,00 |
|
4 |
Ayudantes no Titulados |
748,20 |
1.800,00 |
|
5 |
Oficiales Administrativos |
748,20 |
1.800,00 |
|
6 |
Subalternos |
748,20 |
1.800,00 |
|
7 |
Auxiliares Administrativos |
748,20 |
1.800,00 |
|
8 |
Oficiales de primera y segunda |
748,20 |
1.800,00 |
|
9 |
Oficiales de tercera y Especialistas |
748,20 |
1.800,00 |
|
10 |
Peones |
748,20 |
1.800,00 |
|
11 |
Trabajadores menores de 18 años |
748,20 |
1.800,00 |
Cuando los trabajadores inicien o finalicen su actividad sin coincidir con el principio o fin de un mes natural, siempre que dicha actividad tenga una duración de al menos 30 días naturales consecutivos, esta modalidad de cotización se realizará con carácter proporcional a los días en que figuren en alta en este Sistema Especial durante el mes.
2. Durante el año 2012, los importes de las bases diarias de cotización tanto por contingencias comunes como profesionales por jornadas reales correspondientes a cada uno de los grupos de trabajadores que realicen labores agrarias por cuenta ajena y respecto a los cuales no se hubiera optado por la modalidad de cotización prevista en el apartado anterior, se determinarán conforme a lo establecido en el artículo 109 del texto refundido de la Ley General de la Seguridad Social, con aplicación de las siguientes bases máximas y mínimas:
|
Grupo de cotización |
Categorías profesionales |
Bases mínimas diarias de cotización (euros) |
Bases máximas diarias de cotización (euros) |
|
1 |
Ingenieros y Licenciados. Personal de alta dirección no incluido en el artículo 1.3.c) del Estatuto de los Trabajadores |
45,44 |
78,26 |
|
2 |
Ingenieros Técnicos, Peritos y Ayudantes Titulados |
37,70 |
78,26 |
|
3 |
Jefes Administrativos y de Taller |
32,79 |
78,26 |
|
4 |
Ayudantes no Titulados |
32,53 |
78,26 |
|
5 |
Oficiales Administrativos |
32,53 |
78,26 |
|
6 |
Subalternos |
32,53 |
78,26 |
|
7 |
Auxiliares Administrativos |
32,53 |
78,26 |
|
8 |
Oficiales de primera y segunda |
32,53 |
78,26 |
|
9 |
Oficiales de tercera y Especialistas |
32,53 |
78,26 |
|
10 |
Peones |
32,53 |
78,26 |
|
11 |
Trabajadores menores de 18 años |
32,53 |
78,26 |
Independientemente del número de horas realizadas en cada jornada, la base de cotización no podrá tener una cuantía inferior a la base mínima diaria del grupo 10 de cotización.
Cuando se realicen en el mes natural 23 o más jornadas reales, la base de cotización correspondiente a las mismas será la establecida en el punto 1 de este apartado.
3. Durante el año 2012, el importe de la base mensual de cotización de los trabajadores agrarios por cuenta ajena incluidos en este Sistema Especial será, durante los períodos de inactividad dentro del mes natural, el establecido para la base mínima por contingencias comunes correspondiente al grupo 7 de la escala de grupo de cotización del Régimen General de la Seguridad Social.
A estos efectos, se entenderá que existen períodos de inactividad dentro de un mes natural cuando el número de jornadas reales realizadas durante el mismo sea inferior al 76,67 por ciento de los días naturales en que el trabajador figure de alta en el Sistema Especial en dicho mes.
La cotización respecto a estos períodos de inactividad se determinará aplicando la siguiente fórmula:
C = [(n/N) – (jr x 1,304/N)] bc x tc
En la que:
C = Cuantía de la cotización.
n = Número de días en el Sistema Especial sin cotización por bases mensuales de cotización.
N = Número de días de alta en el Sistema Especial en el mes natural.
jr = Número de días en el mes natural en los que se han realizado jornadas reales.
bc = Base de cotización mensual.
tc = Tipo de cotización aplicable, conforme a lo indicado en el apartado 4.b).
En ningún caso, la aplicación de la fórmula anterior podrá dar lugar a que C alcance un valor inferior a cero.
A efectos de la aplicación de esta fórmula, cuando los trabajadores no figuren en alta en el Sistema Especial durante un mes natural completo, la cotización respecto de los períodos de inactividad se realizará con carácter proporcional a los días en alta en dicho mes.
4. Los tipos aplicables a la cotización de los trabajadores por cuenta ajena incluidos en este Sistema Especial serán los siguientes:
a) Durante los períodos de actividad:
Para la cotización por contingencias comunes respecto a los trabajadores encuadrados en el grupo de cotización 1, el 28,30 por 100, siendo el 23,60 por 100 a cargo de la empresa y el 4,70 por 100 a cargo del trabajador.
Respecto a los trabajadores encuadrados en los grupos de cotización 2 a 11, el 20,65 por 100, siendo el 15,95 por 100 a cargo de la empresa y el 4,70 por 100 a cargo del trabajador.
Para la cotización por contingencias de accidentes de trabajo y enfermedades profesionales, se aplicarán los tipos de cotización de la tarifa de primas aprobada por la disposición adicional cuarta de la Ley 42/2006, de 28 de diciembre, de Presupuestos Generales del Estado para 2007, siendo las primas resultantes a cargo exclusivo de la empresa.
b) Durante los períodos de inactividad, el tipo de cotización será el 11,50 por 100, siendo la cotización resultante a cargo exclusivo del trabajador.
5. Durante el año 2012 se aplicarán las siguientes reducciones en las aportaciones empresariales a la cotización a este Sistema Especial durante los períodos de actividad con prestación de servicios:
a) En la cotización respecto a los trabajadores encuadrados en el grupo de cotización 1, se aplicará una reducción de 8,10 puntos porcentuales de la base de cotización, resultando un tipo efectivo de cotización por contingencias comunes del 15,50 por 100.
b) En la cotización respecto a los trabajadores encuadrados en los grupos de cotización 2 al 11, la reducción se ajustará a las siguientes reglas:
1.ª) Para bases de cotización iguales o inferiores a 986,70 euros mensuales o a 42,90 euros por jornada realizada, se aplicará una reducción de 6,15 puntos porcentuales de la base de cotización, resultando un tipo efectivo de cotización por contingencias comunes del 9,80 por 100.
2.ª) Para bases de cotización superiores a las cuantías indicadas en el apartado anterior, y hasta 1.800 euros mensuales o 78,26 euros por jornada realizada, les será de aplicación el porcentaje resultante de aplicar las siguientes fórmulas:
Para bases mensuales de cotización la fórmula a aplicar será:

Para bases de cotización por jornadas reales la fórmula a aplicar será:

6. Durante las situaciones de incapacidad temporal, riesgo durante el embarazo y riesgo durante la lactancia natural, así como de maternidad y paternidad causadas durante la situación de actividad, la cotización se efectuará en función de la modalidad de contratación de los trabajadores:
a) Respecto de los trabajadores agrarios con contrato indefinido, la cotización durante las referidas situaciones se regirá por las normas aplicables con carácter general en el Régimen General de la Seguridad Social. El tipo resultante a aplicar será:
1.º Para los trabajadores encuadrados en el grupo de cotización 1, el tipo del 15,50 por 100, aplicable a la base de cotización por contingencias comunes.
2.º Para los trabajadores encuadrados en los grupos de cotización 2 a 11, el tipo del 2,75 por 100, aplicable a la base de cotización por contingencias comunes.
Para todos los trabajadores, cualquiera que sea su grupo de cotización, en la cotización por desempleo se aplicará una reducción en la cuota equivalente a 2,75 puntos porcentuales de la base de cotización.
b) Respecto de los trabajadores agrarios con contrato temporal y fijo discontinuo, resultará de aplicación lo establecido en el apartado a) en relación a los días contratados en los que no hayan podido prestar sus servicios por encontrarse en alguna de las situaciones antes indicadas.
En cuanto a los días en los que no esté prevista la prestación de servicios, estos trabajadores estarán obligados a ingresar la cotización correspondiente a los períodos de inactividad, excepto en los supuestos de percepción de los subsidios por maternidad y paternidad, que tendrán la consideración de períodos de cotización efectiva a efectos de las correspondientes prestaciones por jubilación, incapacidad permanente y muerte y supervivencia.
7. Durante la percepción de la prestación por desempleo de nivel contributivo, si corresponde cotizar en este Sistema Especial, el tipo de cotización será el 11,50 por 100.
8. Con relación a los trabajadores incluidos en este Sistema Especial no resultará de aplicación la cotización adicional por horas extraordinarias a que se refiere el apartado Dos.3 de este artículo.
9. Se autoriza al Ministerio de Empleo y Seguridad Social a regular los procedimientos y adaptaciones normativas necesarios para articular la armonización de la cotización en situación de actividad e inactividad, así como la comprobación de los requisitos necesarios para la aplicación de las reducciones previstas y la regularización de la cotización resultante de ellas.
Cuatro. Cotización en el Sistema Especial para Empleados de Hogar establecido en el Régimen General de la Seguridad Social.
En este Sistema Especial, las bases y los tipos de cotización serán, a partir de 1 de enero de 2012, los siguientes:
1. Las bases de cotización por contingencias comunes y profesionales se determinarán con arreglo a la siguiente escala, en función de la retribución percibida por los empleados de hogar:
|
Tramo |
Retribución mensual – €/mes |
Base de cotización – €/mes |
|
1.º |
Hasta 74,83 |
90,20 |
|
2.º |
Desde 74,84 hasta 122,93 |
98,89 |
|
3.º |
Desde 122,94 hasta 171,02 |
146,98 |
|
4.º |
Desde 171,03 hasta 219,11 |
195,07 |
|
5.º |
Desde 219,12 hasta 267,20 |
243,16 |
|
6.º |
Desde 267,21 hasta 315,30 |
291,26 |
|
7.º |
Desde 315,31 hasta 363,40 |
339,36 |
|
8.º |
Desde 363,41 hasta 411,50 |
387,46 |
|
9.º |
Desde 411,51 hasta 459,60 |
435,56 |
|
10.º |
Desde 459,61 hasta 507,70 |
483,66 |
|
11.º |
Desde 507,71 hasta 555,80 |
531,76 |
|
12.º |
Desde 555,81 hasta 603,90 |
579,86 |
|
13.º |
Desde 603,91 hasta 652,00 |
627,96 |
|
14.º |
Desde 652,01 hasta 700,10 |
676,06 |
|
15.º |
Desde 700,11 |
748,20 |
2. Durante el año 2012, el tipo de cotización por contingencias comunes, sobre la base de cotización que corresponda según lo indicado en el apartado anterior, será el 22,00 por 100, siendo el 18,30 por 100 a cargo del empleador y el 3,70 por 100 a cargo del empleado.
3. Para la cotización por las contingencias de accidentes de trabajo y enfermedades profesionales, sobre la base de cotización que corresponda, según lo indicado en el apartado 1, se aplicará el tipo de cotización previsto al efecto en la tarifa de primas incluida en la disposición adicional cuarta de la Ley 42/2006, de 28 de diciembre, de Presupuestos Generales del Estado para el año 2007, siendo lo resultante a cargo exclusivo del empleador.
4. Durante el año 2012 será aplicable una reducción del 20 por 100 en la aportación empresarial a la cotización a la Seguridad Social por contingencias comunes en este Sistema Especial. Serán beneficiarios de dicha reducción los empleadores que hayan contratado, bajo cualquier modalidad contractual, y dado de alta en el Régimen General a un empleado de hogar a partir de 1 de enero de 2012, siempre y cuando el empleado no hubiera figurado en alta en el Régimen Especial de Empleados de Hogar a tiempo completo, para el mismo empleador, dentro del período comprendido entre el 2 de agosto y el 31 de diciembre de 2011.
5. Durante el primer semestre del año 2012, y en tanto no se produzca la comunicación a la Tesorería General de la Seguridad Social prevista en la disposición adicional trigésima novena de la Ley 27/2011, de 1 de agosto, sobre actualización, adecuación y modernización del sistema de Seguridad Social, la base y el tipo de cotización por contingencias comunes en el Régimen Especial de la Seguridad Social de los Empleados de Hogar, aplicables, inclusive en el mes en que se produzca la misma, serán los siguientes:
Base de cotización: 748,20 euros mensuales.
Tipo de cotización: 22 por 100.
Cuando, de conformidad con la normativa reguladora del Régimen Especial de la Seguridad Social de los Empleados de Hogar, proceda la distribución del tipo de cotización señalado anteriormente, ésta se realizará de la siguiente forma: a cargo del empleador el 18,30 por 100 y del empleado de hogar el 3,70 por 100. Cuando el empleado de hogar preste sus servicios con carácter parcial o discontinuo a uno o más empleadores será de su exclusivo cargo el tipo de cotización señalado anteriormente.
Para la cotización por las contingencias de accidentes de trabajo y enfermedades profesionales, sobre la base de cotización vigente, se aplicará el tipo de cotización previsto al efecto en la tarifa de primas incluida en la disposición adicional cuarta de la Ley 42/2006, de 28 de diciembre, de Presupuestos Generales del Estado para el año 2007.
La cotización por contingencias profesionales correrá a cargo exclusivamente del empleador, salvo cuando el empleado de hogar preste servicios con carácter parcial o discontinuo a uno o más empleadores, en cuyo caso será a cargo exclusivo de dicho empleado el pago de la cuota correspondiente.
Cinco. Cotización en el Régimen Especial de los Trabajadores por Cuenta Propia o Autónomos.
En el Régimen Especial de los Trabajadores por Cuenta Propia o Autónomos, las bases máxima y mínima y los tipos de cotización serán, desde el 1 de enero de 2012, los siguientes:
1. La base máxima de cotización será de 3.262,50 euros mensuales. La base mínima de cotización será de 850,20 euros mensuales.
2. La base de cotización de los trabajadores autónomos que, a 1 de enero de 2012, tengan una edad inferior a 47 años, será la elegida por ellos dentro de las bases máxima y mínima fijadas en el apartado anterior. Igual elección podrán efectuar aquellos trabajadores autónomos que en esa fecha tengan una edad de 47 años y su base de cotización en el mes de diciembre de 2011 haya sido igual o superior a 1.682,70 euros mensuales, o que causen alta en este Régimen Especial con posterioridad a la citada fecha.
Los trabajadores autónomos que a 1 de enero de 2012 tengan 47 años de edad, si su base de cotización fuera inferior a 1.682,70 euros mensuales, no podrán elegir una base de cuantía superior a 1.870,50 euros mensuales, salvo que ejerciten su opción en tal sentido antes del 30 de junio de 2012, lo que producirá efectos a partir de 1 de julio del mismo año, o que se trate del cónyuge supérstite del titular del negocio que, como consecuencia del fallecimiento de éste, haya tenido que ponerse al frente del mismo y darse de alta en este Régimen Especial con 47 años de edad, en cuyo caso no existirá esta limitación.
3. La base de cotización de los trabajadores autónomos que, a 1 de enero de 2012, tuvieran 48 o más años cumplidos, estará comprendida entre las cuantías de 916,50 y 1.870,50 euros mensuales, salvo que se trate del cónyuge supérstite del titular del negocio que, como consecuencia del fallecimiento de éste, haya tenido que ponerse al frente del mismo y darse de alta en este Régimen Especial con 45 o más años de edad, en cuyo caso, la elección de bases estará comprendida entre las cuantías de 850,20 y 1.870,50 euros mensuales.
No obstante, los trabajadores autónomos que con anterioridad a los 50 años hubieran cotizado en cualquiera de los Regímenes del sistema de la Seguridad Social por espacio de cinco o más años, se regirán por las siguientes reglas:
a) Si la última base de cotización acreditada hubiera sido igual o inferior a 1.682,70 euros mensuales, habrán de cotizar por una base comprendida entre 850,20 euros mensuales y 1.870,50 euros mensuales.
b) Si la última base de cotización acreditada hubiera sido superior a 1.682,70 euros mensuales, habrán de cotizar por una base comprendida entre 850,20 euros mensuales y el importe de aquélla, incrementado en un 1 por ciento, pudiendo optar, en caso de no alcanzarse, por una base de hasta 1.870,50 euros mensuales.
Lo previsto en el anterior apartado b) será asimismo de aplicación con respecto a los trabajadores autónomos que con 48 ó 49 años de edad hubieran ejercitado la opción prevista en el párrafo segundo del apartado Cuatro.2 del artículo 132 de la Ley 39/2010, de 22 de diciembre.
4. Los trabajadores autónomos dedicados a la venta ambulante o a domicilio (CNAE 4781 Comercio al por menor de productos alimenticios, bebidas y tabaco en puntos de venta y mercadillos; 4782 Comercio al por menor de productos textiles, prendas de vestir y calzado en puestos de venta y mercadillos; 4789 Comercio al por menor de otros productos en puestos de venta y mercadillos y 4799 Otro comercio al por menor no realizado ni en establecimientos, ni en puestos de venta ni en mercadillos) podrán elegir como base mínima de cotización durante el año 2012 la establecida con carácter general en el punto 1, o la base mínima de cotización vigente para el Régimen General.
Los trabajadores autónomos dedicados a la venta a domicilio (CNAE 4799) podrán elegir como base mínima de cotización durante el año 2012 la establecida con carácter general en el punto 1, o una base de cotización equivalente al 55% de esta última.
5. El tipo de cotización en este Régimen Especial de la Seguridad Social será el 29,80 por 100 o el 29,30 por 100 si el interesado está acogido al sistema de protección por cese de actividad. Cuando el interesado no tenga cubierta la protección por incapacidad temporal, el tipo de cotización será el 26,50 por 100.
Los trabajadores incluidos en este Régimen Especial que no tengan cubierta la protección dispensada a las contingencias derivadas de accidentes de trabajo y enfermedades profesionales, efectuarán una cotización adicional equivalente al 0,10 por ciento, aplicado sobre la base de cotización elegida, para la financiación de las prestaciones previstas en los capítulos IV quáter y IV quinquies, del Título II, de la Ley General de la Seguridad Social.
6. Para las contingencias de accidentes de trabajo y enfermedades profesionales se aplicarán los porcentajes de la tarifa de primas incluida en la disposición adicional cuarta de la Ley 42/2006, de 28 de diciembre, de Presupuestos Generales del Estado para el año 2007.
7. Los trabajadores autónomos que, en razón de su trabajo por cuenta ajena desarrollado simultáneamente, coticen, respecto de las contingencias comunes, en régimen de pluriactividad y lo hagan en el año 2012, teniendo en cuenta tanto las aportaciones empresariales como las correspondientes al trabajador en el Régimen General, así como las efectuadas en el Régimen Especial, por una cuantía igual o superior a 11.079,45 euros, tendrán derecho a una devolución del 50 por 100 del exceso en que sus cotizaciones superen la mencionada cuantía, con el tope del 50 por 100 de las cuotas ingresadas en el citado Régimen Especial, en razón de su cotización por las contingencias comunes de cobertura obligatoria.
La devolución se efectuará a instancias del interesado, que habrá de formularla en los cuatro primeros meses del ejercicio siguiente.
8. Los socios trabajadores de las Cooperativas de Trabajo Asociado dedicados a la venta ambulante, que perciban ingresos directamente de los compradores, quedarán incluidos, a efectos de la Seguridad Social, en el Régimen Especial de Trabajadores por Cuenta Propia o Autónomos, siéndoles de aplicación, a efectos de la cotización, lo previsto en el punto 4, párrafo primero, de este apartado.
En los supuestos en que se acredite que la venta ambulante se lleva a cabo en mercados tradicionales o «mercadillos», con horario de venta inferior a ocho horas al día, se podrá elegir entre cotizar por la base mínima establecida en el punto 1 o una base equivalente al 55 por 100 de esta última. En cualquier caso, se deberá cotizar obligatoriamente por las contingencias de accidentes de trabajo y enfermedades profesionales, aplicando, sobre la base de cotización elegida, la tarifa de primas contenida en la disposición adicional cuarta de la Ley 42/2006, de 28 de diciembre, de Presupuestos Generales del Estado para el año 2007.
9. Los socios trabajadores de Cooperativas de Trabajo Asociado dedicados a la venta ambulante que, con anterioridad al 31 de diciembre de 2011, hayan quedado incluidos en el Régimen Especial de los Trabajadores por Cuenta Propia o Autónomos en aplicación de lo establecido en el artículo 120.Cuatro.8 de la Ley 2/2008, de 23 de diciembre, de Presupuestos Generales del Estado para 2009, tendrán derecho, durante 2012, a una reducción del 50 por 100 de la cuota a ingresar.
También tendrán derecho a esa reducción los socios trabajadores de Cooperativas de Trabajo Asociado dedicados a la venta ambulante que hayan iniciado su actividad y quedado incluidos en el citado Régimen Especial a partir del 1 de enero de 2009.
La reducción se aplicará sobre la cuota que resulte de aplicar sobre la base mínima elegida, de conformidad con lo previsto en el punto 8 de este apartado, el tipo de cotización vigente en el Régimen Especial de Trabajadores por Cuenta Propia o Autónomos.
10. Lo dispuesto en el segundo párrafo del punto 8, será de aplicación a las personas que se dediquen, de forma individual, a la venta ambulante, en mercados tradicionales o «mercadillos» con horario de venta inferior a ocho horas al día, siempre que no dispongan de establecimiento fijo propio, ni produzcan los artículos o productos que vendan.
11. Para los trabajadores autónomos que en algún momento del año 2011 y de manera simultánea hayan tenido contratado a su servicio un número de trabajadores por cuenta ajena igual o superior a cincuenta, la base mínima de cotización tendrá una cuantía igual a la prevista como base mínima para los trabajadores encuadrados en el grupo de cotización 1 del Régimen General.
Seis. Cotización en el Sistema Especial para Trabajadores por Cuenta Propia Agrarios, establecido en el Régimen Especial de los Trabajadores por Cuenta Propia o Autónomos.
1. Desde el 1 de enero de 2012, los tipos de cotización de los trabajadores incluidos en el Sistema Especial para Trabajadores por Cuenta Propia Agrarios, establecido en el Régimen Especial de los Trabajadores por Cuenta Propia o Autónomos, serán los siguientes:
a) Respecto de las contingencias de cobertura obligatoria, cuando el trabajador haya optado por elegir como base de cotización una base comprendida entre 850,20 euros mensuales y 1.020,30 euros mensuales, el tipo de cotización aplicable será el 18,75 por 100.
Si el trabajador hubiera optado por una base de cotización superior a 1.020,30 euros mensuales, a la cuantía que exceda de esta última le será de aplicación el tipo de cotización del 26,50 por 100.
b) Respecto a la mejora voluntaria de la incapacidad temporal por contingencias comunes, el tipo de cotización a aplicar a la cuantía completa de la base de cotización del interesado será del 3,30 por 100, ó el 2,80 por 100 si el interesado está acogido al sistema de protección por cese de actividad.
2. Para las contingencias de accidentes de trabajo y enfermedades profesionales se estará a lo dispuesto en el apartado Cinco.6 de este artículo. En el supuesto de que los interesados no hubiesen optado por la cobertura de la totalidad de las contingencias profesionales, se seguirá abonando en concepto de cobertura de las contingencias de incapacidad permanente y muerte y supervivencia, una cuota resultante de aplicar a la base de cotización indicada en el apartado 1.a) el tipo del 1,00 por 100.
3. Los trabajadores incluidos en este Sistema Especial que no hayan optado por dar cobertura, en el ámbito de protección dispensada, a la totalidad de las contingencias de accidentes de trabajo y enfermedades profesionales, efectuarán una cotización adicional equivalente al 0,10 por 100, aplicado sobre la base de cotización elegida, para la financiación de las prestaciones previstas en los capítulos IV quáter y IV quinquies, del Título II, de la Ley General de la Seguridad Social.
Siete. Cotización en el Régimen Especial de los Trabajadores del Mar.
1. Lo establecido en los apartados Uno y Dos de este artículo será de aplicación en el Régimen Especial de los Trabajadores del Mar, sin perjuicio, en su caso, y para la cotización por contingencias comunes, de lo dispuesto en el artículo 19.6 del texto refundido de las Leyes 116/1969, de 30 de diciembre, y 24/1972, de 21 de junio, aprobado por Decreto 2864/1974, de 30 de agosto, de lo que se establece en el apartado 2 siguiente, y con excepción del tipo de cotización por contingencias comunes de los trabajadores por cuenta propia, que será del 29,30 por 100 o del 29,80 por 100 si el interesado no está acogido al sistema de protección por cese de actividad.
2. La cotización para todas las contingencias y situaciones protegidas en este Régimen Especial de los trabajadores incluidos en los grupos segundo y tercero a que se refiere el artículo 19.5 del texto refundido aprobado por Decreto 2864/1974, de 30 de agosto, se efectuará sobre las remuneraciones que se determinen anualmente mediante Orden del Ministerio de Empleo y Seguridad Social, a propuesta del Instituto Social de la Marina, oídas las organizaciones representativas del sector. Tal determinación se efectuará por provincias, modalidades de pesca y categorías profesionales, sobre la base de los valores medios de remuneración percibida en el año precedente.
Las bases que se determinen serán únicas, sin que puedan ser inferiores ni superiores a las que se establezcan para las distintas categorías profesionales, de conformidad con lo dispuesto en el párrafo 1 del apartado Dos de este artículo.
Ocho. Cotización en el Régimen Especial de la Minería del Carbón.
1. A partir de 1 de enero de 2012, la cotización en el Régimen Especial de la Seguridad Social para la Minería del Carbón se determinará mediante la aplicación de lo previsto en el apartado Dos, sin perjuicio de que, a efectos de la cotización por contingencias comunes, las bases de cotización se normalicen de acuerdo con las siguientes reglas:
Primera. Se tendrá en cuenta el importe de las remuneraciones percibidas o que hubieran tenido derecho a percibir los trabajadores, computables a efectos de cotización por accidentes de trabajo y enfermedades profesionales, durante el período comprendido entre 1 de enero y 31 de diciembre de 2011, ambos inclusive.
Segunda. Dichas remuneraciones se totalizarán agrupándolas por categorías, grupos profesionales y especialidades profesionales y zonas mineras, teniendo en cuenta lo dispuesto en el artículo 57 del Reglamento General sobre Cotización y Liquidación de otros Derechos de la Seguridad Social. Los importes obtenidos, así totalizados, se dividirán por la suma de los días a que correspondan.
Tercera. Este resultado constituirá la base normalizada diaria de cotización por contingencias comunes, cuyo importe no podrá ser inferior al fijado para el ejercicio inmediatamente anterior para esa categoría profesional, incrementado en el mismo porcentaje experimentado en el presente ejercicio por el tope máximo de cotización a que se refiere el apartado Uno.1 del presente artículo, ni superior a la cantidad resultante de elevar a cuantía anual el citado tope máximo y dividirlo por los días naturales del año 2011.
2. El Ministerio de Empleo y Seguridad Social fijará la cuantía de las bases normalizadas, mediante la aplicación de las reglas previstas en el número anterior.
Nueve. Base de cotización a la Seguridad Social durante la percepción de la prestación por desempleo de nivel contributivo y durante la percepción de la prestación por cese de actividad de los trabajadores autónomos.
1. Durante la percepción de la prestación por desempleo por extinción de la relación laboral la base de cotización a la Seguridad Social de aquellos trabajadores por los que exista obligación legal de cotizar, será la base reguladora de la prestación por desempleo, determinada según lo establecido en el apartado 1 del artículo 211 del texto refundido de la Ley General de la Seguridad Social, con respeto, en todo caso, del importe de la base mínima por contingencias comunes prevista para cada categoría profesional y, a efectos de las prestaciones de Seguridad Social, dicha base tendrá consideración de base de contingencias comunes.
Durante la percepción de la prestación por desempleo por suspensión temporal de la relación laboral o por reducción temporal de jornada, ya sea por decisión del empresario al amparo de lo establecido en el artículo 47 del texto refundido de la Ley del Estatuto de los Trabajadores o en virtud de resolución judicial adoptada en el seno de un procedimiento concursal, la base de cotización a la Seguridad Social de aquellos trabajadores por los que exista obligación legal de cotizar, será equivalente al promedio de las bases de los últimos seis meses de ocupación cotizada, por contingencias comunes y por contingencias de accidentes de trabajo y enfermedades profesionales, anteriores a la situación legal de desempleo o al momento en que cesó la obligación legal de cotizar.
La reanudación de la prestación por desempleo, en los supuestos de suspensión del derecho, supondrá la reanudación de la obligación de cotizar por la base de cotización indicada en los párrafos anteriores correspondiente al momento del nacimiento del derecho.
Cuando se hubiese extinguido el derecho a la prestación por desempleo y, en aplicación del número 3 del artículo 210 del texto refundido de la Ley General de la Seguridad Social, el trabajador opte por reabrir el derecho inicial, la base de cotización a la Seguridad Social será la base reguladora de la prestación por desempleo correspondiente al momento del nacimiento del derecho inicial por el que se opta.
Durante la percepción de la prestación sólo se actualizará la base de cotización indicada en los párrafos anteriores, cuando resulte inferior a la base mínima de cotización a la Seguridad Social vigente en cada momento que corresponda al grupo de cotización del trabajador en el momento de producirse la situación legal de desempleo y hasta dicho tope.
2. Durante la percepción de la prestación por desempleo de nivel contributivo, si corresponde cotizar en el Sistema Especial para Trabajadores por Cuenta Ajena Agrarios establecido en el Régimen General de la Seguridad Social, la base de cotización será la fijada con carácter general en el número 1 de este apartado.
3. Durante la percepción de la prestación por desempleo, si corresponde cotizar en el Régimen Especial de la Minería del Carbón, la base de cotización será la normalizada vigente que corresponda a la categoría o especialidad profesional del trabajador en el momento de producirse la situación legal de desempleo.
La base de cotización se actualizará conforme a la base vigente en cada momento que corresponda al grupo de cotización o categoría o especialidad profesional del trabajador en el momento de producirse la situación legal de desempleo.
4. Durante la percepción de la prestación económica por cese de actividad de los trabajadores autónomos, la base de cotización a la Seguridad Social por contingencias comunes, al régimen correspondiente, será la base reguladora de dicha prestación, determinada según lo establecido en el apartado 1 del artículo 9 de la Ley 32/2010, de 5 de agosto, por la que se establece un sistema específico de protección por cese de actividad de los trabajadores autónomos, con respeto, en todo caso, del importe de la base mínima o base única de cotización prevista en el correspondiente régimen.
Aquellos colectivos que, conforme a la normativa reguladora de la cotización a la Seguridad Social, durante la actividad coticen por una base inferior a la base mínima ordinaria de cotización para los trabajadores por cuenta propia o autónomos, cotizarán por una base de cotización reducida durante la percepción de la prestación por cese de actividad.
Diez. Cotización por Desempleo, Fondo de Garantía Salarial, Formación Profesional y Cese de Actividad de los Trabajadores Autónomos.
La cotización por las contingencias de Desempleo, Fondo de Garantía Salarial, Formación Profesional y por Cese de Actividad se llevará a cabo, a partir de 1 de enero de 2012, de acuerdo con lo que a continuación se señala:
1. La base de cotización para Desempleo, Fondo de Garantía Salarial y Formación Profesional en todos los Regímenes de la Seguridad Social que tengan cubiertas las mismas, será la correspondiente a las contingencias de accidentes de trabajo y enfermedades profesionales.
A las bases de cotización para Desempleo en el Régimen Especial de los Trabajadores del Mar será también de aplicación lo dispuesto en el artículo 19.6 del texto refundido aprobado por Decreto 2864/1974, de 30 de agosto, y en las normas de desarrollo de dicho precepto, sin perjuicio de lo señalado en el apartado Siete de este artículo.
Las bases de cotización por Desempleo, Fondo de Garantía Salarial y Formación Profesional de los trabajadores incluidos en el Sistema Especial para Trabajadores por Cuenta Ajena Agrarios establecido en el Régimen General de la Seguridad Social serán las fijadas en el apartado Tres.1 y 2 de este artículo, según la modalidad de cotización por contingencias profesionales que corresponda a cada trabajador.
La base de cotización por desempleo de los contratos para la formación y el aprendizaje será la base mínima correspondiente a las contingencias de accidentes de trabajo y enfermedades profesionales.
La base de cotización correspondiente a la protección por cese de actividad de los trabajadores incluidos en el Régimen Especial de los Trabajadores por Cuenta Propia o Autónomos y de los trabajadores incluidos en el Sistema Especial para Trabajadores por Cuenta Propia Agrarios establecido en el citado Régimen Especial, será aquella por la que hayan optado los trabajadores incluidos en tales Régimen y Sistema Especiales.
En el Régimen Especial de los Trabajadores del Mar, la base de cotización por cese de actividad será la que corresponda al trabajador por cuenta propia incluido en el mismo, siéndole de aplicación los coeficientes correctores a los que se refieren el texto refundido de las Leyes 16/1969, de 30 de diciembre y 24/1972, de 21 de junio, aprobado por Decreto 2864/1974, de 30 de agosto, por el que se regula el Régimen Especial de la Seguridad Social de los Trabajadores del Mar, y la Orden de 22 de noviembre de 1974.
2. A partir de 1 de enero de 2012, los tipos de cotización serán los siguientes:
A) Para la contingencia de desempleo:
a) Contratación indefinida, incluidos los contratos indefinidos a tiempo parcial y fijos discontinuos, así como la contratación de duración determinada en las modalidades de contratos formativos en prácticas y para la formación y el aprendizaje, de relevo, interinidad y contratos, cualquiera que sea la modalidad utilizada, realizados con trabajadores discapacitados: el 7,05 por 100, del que el 5,50 por 100 será a cargo del empresario y el 1,55 por 100 a cargo del trabajador.
b) Contratación de duración determinada:
1.º Contratación de duración determinada a tiempo completo: el 8,30 por 100, del que el 6,70 por 100 será a cargo del empresario y el 1,60 por 100 a cargo del trabajador.
2.º Contratación de duración determinada a tiempo parcial: el 9,30 por 100, del que el 7,70 por 100 será a cargo del empresario y el 1,60 por 100 a cargo del trabajador.
El tipo de cotización para los trabajadores por cuenta ajena de carácter eventual, incluidos en el Sistema Especial para Trabajadores por Cuenta Ajena Agrarios establecido en el Régimen General de la Seguridad Social, será el fijado en el apartado 1.º, del párrafo b) anterior, para la contratación de duración determinada a tiempo completo, salvo cuando sea de aplicación el tipo de cotización previsto en el párrafo a) anterior, para contratos concretos de duración determinada o para trabajadores discapacitados.
B) Para la cotización al Fondo de Garantía Salarial, el 0,20 por 100 a cargo exclusivo de la empresa.
El tipo aplicable para la cotización al Fondo de Garantía Salarial en el Sistema Especial para Trabajadores por Cuenta Ajena Agrarios establecido en el Régimen General de la Seguridad Social será el 0,10 por 100, que será a cargo exclusivo de la empresa.
C) Para la cotización por Formación Profesional, el 0,70 por 100, siendo el 0,60 por 100 a cargo de la empresa y el 0,10 por 100 a cargo del trabajador.
El tipo aplicable para la cotización por Formación Profesional en el Sistema Especial para Trabajadores por Cuenta Ajena Agrarios establecido en el Régimen General de la Seguridad Social será el 0,18 por 100, del que el 0,15 por 100 será a cargo de la empresa, y el 0,03 por 100 a cargo del trabajador.
D) Para la protección por cese de actividad el tipo será del 2,20 por 100.
Once. Cotización en los contratos para la formación y el aprendizaje.
Las cuotas por contingencias comunes a cargo del empresario y a cargo del trabajador, por contingencias profesionales, por desempleo, al Fondo de Garantía Salarial y por Formación Profesional de los contratos para la formación y el aprendizaje, desde el 1 de enero de 2012, no se incrementarán con respecto a las cuantías vigentes a 31 de diciembre de 2011.
Doce. Cotización del personal investigador en formación.
La cotización del personal investigador en formación incluido en el campo de aplicación del Real Decreto 63/2006, de 27 de enero, durante los dos primeros años se llevará a cabo aplicando las reglas contenidas en el apartado anterior, respecto de la cotización en los contratos para la formación y el aprendizaje, en lo que se refiere a la cotización por contingencias comunes y profesionales.
El sistema de cotización previsto en este apartado no afectará a la determinación de la cuantía de las prestaciones económicas a que se tenga derecho, respecto de la cual se seguirá aplicando el importe de la base mínima correspondiente al Grupo Primero de cotización del Régimen General.
Trece. Especialidades en materia de cotización en relación con el anticipo de la edad de jubilación de los bomberos.
En relación con los bomberos a que se refiere el Real Decreto 383/2008, de 14 de marzo, por el que se establece el coeficiente reductor de la edad de jubilación en favor de los bomberos al servicio de las administraciones y organismos públicos, procederá aplicar un tipo de cotización adicional sobre la base de cotización por contingencias comunes, tanto para la empresa como para el trabajador.
Durante el año 2012 el tipo de cotización adicional a que se refiere el párrafo anterior será del 7,10 por 100, del que el 5,92 por 100 será a cargo de la empresa y el 1,18 por 100 a cargo del trabajador.
Catorce. Especialidades en materia de cotización en relación con el anticipo de la edad de jubilación de los miembros del Cuerpo de la Ertzaintza.
En relación con los miembros del Cuerpo de la Ertzaintza a que se refiere la disposición adicional cuadragésima séptima del texto refundido de la Ley General de la Seguridad Social, procederá aplicar un tipo de cotización adicional sobre la base de cotización por contingencias comunes, tanto para la empresa como para el trabajador.
Durante el año 2012, el tipo de cotización adicional a que se refiere el párrafo anterior será del 6,50 por 100, del que el 5,42 por 100 será a cargo de la empresa y el 1,08 por 100 a cargo del trabajador.
Quince. Salvo lo establecido en los apartados anteriores de este artículo, en ningún caso y por aplicación del artículo 16 del texto refundido de la Ley General de la Seguridad Social, las bases mínimas o únicas de cualquiera de los Regímenes que integran el sistema de la Seguridad Social podrán ser inferiores a la base mínima del Régimen General.
Dieciséis. Durante el año 2012, la base de cotización por todas las contingencias de los empleados públicos encuadrados en el Régimen General de la Seguridad Social a quienes hubiera sido de aplicación lo establecido en la disposición adicional séptima del Real Decreto-ley 8/2010, de 20 de mayo, en tanto permanezca su relación laboral o de servicio, será coincidente con la habida en el mes de diciembre de 2010, salvo que por razón de las retribuciones que percibieran pudiera corresponder una de mayor cuantía, en cuyo caso será ésta por la que se efectuará la cotización mensual.
A efectos de lo indicado en el párrafo anterior, de la base de cotización correspondiente al mes de diciembre de 2010 se deducirán, en su caso, los importes de los conceptos retributivos que tengan una periodicidad en su devengo superior a la mensual o que no tengan carácter periódico y que hubieran integrado dicha base sin haber sido objeto de prorrateo.
Diecisiete. Se faculta a la Ministra de Empleo y Seguridad Social para dictar las normas necesarias para la aplicación y desarrollo de lo previsto en este artículo.
Artículo 121. Cotización a derechos pasivos y a las Mutualidades Generales de Funcionarios para el año 2012.
Uno. Con efectos de 1 de enero de 2012, los tipos de cotización y de aportación del Estado al Régimen Especial de Seguridad Social de los Funcionarios Civiles del Estado, gestionado por la Mutualidad General de Funcionarios Civiles del Estado (MUFACE) a que se refiere el Real Decreto Legislativo 4/2000, de 23 de junio, para la financiación de las prestaciones a que se refiere el artículo 12, salvo la indicada en el párrafo h), de la citada disposición, serán los siguientes:
1. El porcentaje de cotización de los funcionarios en activo y asimilados integrados en MUFACE, se fija en el 1,69 % sobre los haberes reguladores establecidos para el año 2010 a efectos de cotización de Derechos Pasivos, calculados sin la actualización prevista en el apartado Dos de la disposición adicional octava de la Ley 39/2010, de 22 de diciembre, de Presupuestos Generales del Estado para el año 2011 e incrementados en un 1,00 por ciento.
2. La cuantía de la aportación del Estado, regulada en el artículo 35 del Real Decreto Legislativo 4/2000, representará el 4,63 % de los haberes reguladores establecidos para el año 2010 a efectos de cotización de Derechos Pasivos, calculados sin la actualización prevista en el apartado Dos de la disposición adicional octava de la Ley 39/2010, de 22 de diciembre, de Presupuestos Generales del Estado para el año 2011 e incrementados en un 1,00 por ciento. De dicho tipo de 4,63, el 4,50 corresponde a la aportación del Estado por activo y el 0,13 a la aportación por pensionista exento de cotización.
Dos. Con efectos de 1 de enero de 2012, los tipos de cotización y de aportación del Estado al Régimen Especial de Seguridad Social de las Fuerzas Armadas, gestionado por el Instituto Social de las Fuerzas Armadas (ISFAS), a que se refiere el Real Decreto Legislativo 1/2000, de 9 de junio, para la financiación de las prestaciones a que se refiere el artículo 9, salvo la indicada en el párrafo f), de la citada disposición, serán los siguientes:
1. El porcentaje de cotización y de aportación del personal militar en activo y asimilado integrado en ISFAS, se fija en el 1,69 % sobre los haberes reguladores establecidos para el año 2010 a efectos de cotización de Derechos Pasivos, calculados sin la actualización prevista en el apartado Dos de la disposición adicional octava de la Ley 39/2010, de 22 de diciembre, de Presupuestos Generales del Estado para el año 2011 e incrementados en un 1,00 por ciento.
2. La cuantía de la aportación del Estado regulada en el artículo 30 del Real Decreto Legislativo 1/2000, representará el 9,41 % de los haberes reguladores establecidos para el año 2010 a efectos de cotización de Derechos Pasivos, calculados sin la actualización prevista en el apartado Dos de la disposición adicional octava de la Ley 39/2010, de 22 de diciembre, de Presupuestos Generales del Estado para el año 2011 e incrementados en un 1,00 por ciento. De dicho tipo del 9,41, el 4,50 corresponde a la aportación del Estado por activo y el 4,91 a la aportación por pensionista exento de cotización.
Tres. Con efectos de 1 de enero de 2012, los tipos de cotización y de aportación del Estado al Régimen Especial de la Seguridad Social de los Funcionarios de la Administración de Justicia, gestionado por la Mutualidad General Judicial (MUGEJU), a que se refiere el Real Decreto Legislativo 3/2000, de 23 de junio, para la financiación de las prestaciones a que se refiere el artículo 12, salvo la indicada en el párrafo f), de la citada disposición, serán los siguientes:
1. El porcentaje de cotización del personal de la Administración de Justicia en activo y asimilado, integrado en MUGEJU, se fija en el 1,69 % sobre los haberes reguladores establecidos para el año 2010 a efectos de cotización de Derechos Pasivos, calculados sin la actualización prevista en el apartado dos de la disposición adicional octava de la Ley 39/2010, de 22 de diciembre, de Presupuestos Generales del Estado para el año 2011 e incrementados en un 1,00 por ciento.
2. La cuantía de la aportación del Estado, regulada en el artículo 23 del Real Decreto Legislativo 3/2000, representará el 4,51 % de los haberes reguladores establecidos para el año 2010 a efectos de cotización de Derechos Pasivos, calculados sin la actualización prevista en el apartado dos de la disposición adicional octava de la Ley 39/2010, de 22 de diciembre, de Presupuestos Generales del Estado para el año 2011 e incrementados en un 1,00 por ciento. De dicho tipo del 4,51, el 4,50 corresponde a la aportación del Estado por activo y el 0,01 a la aportación por pensionista exento de cotización.
Cuatro. Durante el año 2012, de acuerdo con las previsiones establecidas en los apartados anteriores, el importe de la cuota de derechos pasivos y de la correspondiente a las mutualidades generales de funcionarios, respecto del personal incluido en el ámbito de cobertura del Régimen de Clases Pasivas del Estado y de los Regímenes Especiales de Funcionarios, se determinará mediante la aplicación del tipo porcentual del 3,86 % y del 1,69 %, respectivamente, sobre los haberes reguladores establecidos para el año 2010 a efectos de cotización de derechos pasivos, calculados sin la actualización prevista en el apartado Dos de la disposición adicional octava de la Ley 39/2010, de 22 de diciembre, de Presupuestos Generales del Estado para el año 2011, e incrementados en un 1 por ciento, y que se consignan a continuación:
Cuotas mensuales de derechos pasivos de los funcionarios civiles del Estado, del personal de las Fuerzas Armadas, de los miembros de las Carreras Judicial y Fiscal, de los del Cuerpo de Secretarios Judiciales y de los Cuerpos al Servicio de la Administración de Justicia:
|
Grupo/Subgrupo Ley 7/2007 |
Cuota mensual en euros |
|
A1 |
107,96 |
|
A2 |
84,97 |
|
B |
74,40 |
|
C1 |
65,26 |
|
C2 |
51,63 |
|
E (Ley 30/1984) y Agrup. Profesionales (Ley 7/2007) |
44,02 |
Cuotas mensuales de cotización a la Mutualidad General de Funcionarios Civiles del Estado, al Instituto Social de las Fuerzas Armadas y a la Mutualidad General Judicial:
|
Grupo/Subgrupo Ley 7/2007 |
Cuota mensual en euros |
|
A1 |
47,27 |
|
A2 |
37,20 |
|
B |
32,58 |
|
C1 |
28,57 |
|
C2 |
22,60 |
|
E (Ley 30/1984) y Agrup. Profesionales (Ley 7/2007) |
19,27 |
Las citadas cuantías mensuales se abonarán doblemente en los meses de junio y diciembre.
Con la excepción establecida en el último inciso del párrafo primero del artículo 23.1 del texto refundido de la Ley de Clases Pasivas del Estado, y de acuerdo con lo dispuesto en el mismo, el personal militar profesional que no sea de carrera y el personal militar de las Escalas de Complemento y Reserva Naval abonará las cuotas mensuales de derechos pasivos minoradas al cincuenta por ciento.
Primera. Prestaciones familiares de la Seguridad Social.
A partir de 1 de enero de 2012, la cuantía de las prestaciones familiares de la Seguridad Social, en su modalidad no contributiva, así como el importe del límite de ingresos para el acceso a las mismas, regulados en la Sección Segunda del Capítulo IX del Título II del texto refundido de la Ley General de la Seguridad Social, serán los siguientes:
Uno. La cuantía de la asignación económica establecida en el artículo 182 bis.1 será en cómputo anual de 291 euros.
Dos. La cuantía de las asignaciones establecidas en el artículo 182 bis.2 para los casos en que el hijo o menor acogido a cargo tenga la condición de discapacitado serán:
a) 1.000 euros cuando el hijo o menor acogido a cargo tenga un grado de discapacidad igual o superior al 33 por ciento.
b) 4.292,40 euros cuando el hijo a cargo sea mayor de 18 años y esté afectado por una discapacidad en un grado igual o superior al 65 por ciento.
c) 6.439,20 euros cuando el hijo a cargo sea mayor de 18 años, esté afectado por una discapacidad en un grado igual o superior al 75 por ciento y, como consecuencia de pérdidas anatómicas o funcionales, necesite el concurso de otra persona para realizar los actos más esenciales de la vida, tales como vestirse, desplazarse, comer o análogos.
Tres. La cuantía de la prestación por nacimiento o adopción de hijo establecida en el artículo 186.1, en supuestos de familias numerosas, monoparentales y en los casos de madres discapacitadas, será de 1.000 euros.
Cuatro. Los límites de ingresos para tener derecho a la asignación económica por hijo o menor acogido a cargo, a que se refieren los párrafos primero y segundo del artículo 182.1.c), quedan fijados en 11.376,66 euros anuales y, si se trata de familias numerosas, en 17.122,59 euros, incrementándose en 2.773,39 euros por cada hijo a cargo a partir del cuarto, éste incluido.
Segunda. Subsidios económicos de la Ley 13/1982, de 7 de abril, de Integración Social de los Minusválidos, y pensiones asistenciales.
Uno. A partir del 1 de enero del año 2012, los subsidios económicos a que se refiere la Ley 13/1982, de 7 de abril, de Integración Social de los Minusválidos, se fijan, según la clase de subsidio, en las siguientes cuantías:
|
|
Euros/mes |
|
Subsidio de garantía de ingresos mínimos |
149,86 |
|
Subsidio por ayuda de tercera persona |
58,45 |
|
Subsidio de movilidad y compensación para gastos de transporte |
61,40 |
La cuantía del subsidio de movilidad y compensación para los gastos de transporte incorpora los efectos de la desviación de inflación del ejercicio 2011.
Dos. A partir del 1 de enero del año 2012, las pensiones asistenciales reconocidas en virtud de lo dispuesto en la Ley de 21 de julio de 1960 y en el Real Decreto 2620/1981, de 24 de julio, se fijan en la cuantía de 149,86 euros íntegros mensuales, abonándose dos pagas extraordinarias del mismo importe que se devengarán en los meses de junio y diciembre.
Tres. Las pensiones asistenciales serán objeto de revisión periódica, a fin de comprobar que los beneficiarios mantienen los requisitos exigidos para su reconocimiento y, en caso contrario, declarar la extinción del derecho y exigir el reintegro de las cantidades indebidamente percibidas. El Ministerio de Empleo y Seguridad Social podrá instar la incoación de los procedimientos de revisión, a efectos de practicar el ajuste económico y presupuestario del gasto generado. Los resultados que ofrezcan aquellos procedimientos serán comunicados al citado Departamento ministerial.
Tercera. Ayudas sociales a los afectados por el Virus de Inmunodeficiencia Humana (V.I.H.).
Durante el año 2012 las cuantías mensuales de las ayudas sociales reconocidas en favor de las personas contaminadas por el Virus de Inmunodeficiencia Humana (V.I.H.), establecidas en las letras b), c) y d) del artículo 2.1 del Real Decreto-ley 9/1993, de 28 de mayo, se determinarán mediante la aplicación de las proporciones reguladas en las letras citadas sobre el importe de 601,12 euros.
Cuarta. Revalorización de las prestaciones de gran invalidez del Régimen Especial de la Seguridad Social de las Fuerzas Armadas.
Las prestaciones de gran invalidez destinadas a remunerar a la persona encargada de la asistencia al gran inválido, causadas hasta el 31 de diciembre de 2011 en el Régimen Especial de Seguridad Social de las Fuerzas Armadas, mantendrán con efectos de 1 de enero de 2012 el incremento del 1 por ciento establecido en el artículo 5 del Real Decreto-ley 20/2011, de 30 de diciembre, de medidas urgentes en materia presupuestaria, tributaria y financiera para la corrección del déficit público.
Quinta. Actualización de la cuantía de la prestación económica establecida por la Ley 3/2005, de 18 de marzo.
A partir del 1 de enero de 2012, la cuantía de las prestaciones económicas reconocidas al amparo de la Ley 3/2005, de 18 de marzo, a los ciudadanos de origen español desplazados al extranjero, durante su minoría de edad, como consecuencia de la Guerra Civil, y que desarrollaron la mayor parte de su vida fuera del territorio nacional ascenderá, en cómputo anual, a la diferencia entre 7.059,10 euros y el importe anual que perciba cada beneficiario por las pensiones a que se refieren los apartados a), b) y c) del artículo 2 de la Ley 3/2005, o a la diferencia entre 7.059,10 euros y las rentas o ingresos anuales que perciban los beneficiarios a que se refiere el apartado d) del artículo 2 de la Ley 3/2005.
Sexta. Reducción de cuotas para el mantenimiento del empleo.
Uno. Los contratos de trabajo de carácter indefinido de los trabajadores de cincuenta y nueve o más años, con una antigüedad en la empresa de cuatro o más años, darán derecho a la reducción, a cargo del Presupuesto de la Seguridad Social, del 40 por ciento de la aportación empresarial en la cotización a la Seguridad Social por contingencias comunes, salvo por incapacidad temporal derivada de las mismas, sobre las cuotas devengadas desde la fecha de cumplimiento de los requisitos anteriormente señalados.
Si, al cumplir cincuenta y nueve años, el trabajador no tuviere la antigüedad en la empresa de cuatro años, la reducción será aplicable a partir de la fecha en que alcance la citada antigüedad.
Dos. Podrán ser beneficiarios de la reducción las empresas, incluidos los trabajadores autónomos, y sociedades laborales o cooperativas a las que se incorporen trabajadores como socios trabajadores o de trabajo, siempre que estas últimas hayan optado por un régimen de Seguridad Social propio de trabajadores por cuenta ajena.
Quedarán excluidos de la aplicación de la reducción la Administración General del Estado y los Organismos regulados en el Título III y en la disposición adicional décima de la Ley 6/1997, de 14 de abril, de Organización y Funcionamiento de la Administración General del Estado, así como las Administraciones Autonómicas y las Entidades Locales y sus Organismos públicos.
Tres. La duración de la reducción de la aportación empresarial será de un año, salvo que, en una fecha anterior, los interesados cumplan los requisitos para ser beneficiarios de las bonificaciones reguladas en el artículo 4 de la Ley 43/2006, de 29 de diciembre, para la mejora del crecimiento y del empleo, en cuyo caso se aplicarán desde dicha fecha estas últimas.
Cuatro. Respecto de los requisitos que han de cumplir los beneficiarios, las exclusiones en la aplicación de la reducción, cuantía máxima, incompatibilidades o reintegro de los beneficios se aplicarán las previsiones contenidas en la Ley 43/2006.
Séptima. Reducción en la cotización a la Seguridad Social en los supuestos de cambio de puesto de trabajo por riesgo durante el embarazo o durante la lactancia natural, así como en los supuestos de enfermedad profesional.
En los supuestos en que, por razón de riesgo durante el embarazo o riesgo durante la lactancia natural, la trabajadora, en virtud de lo previsto en el artículo 26 de la Ley 31/1995, de 8 de noviembre, de Prevención de Riesgos Laborales, sea destinada a un puesto de trabajo o función diferente y compatible con su estado, se aplicará, con respecto a las cuotas devengadas durante el período de permanencia en el nuevo puesto de trabajo o función, una reducción, a cargo del Presupuesto de la Seguridad Social, del 50 por ciento de la aportación empresarial en la cotización a la Seguridad Social por contingencias comunes.
Esa misma reducción será aplicable, en los términos y condiciones que reglamentariamente se determinen, en aquellos casos en que, por razón de enfermedad profesional, se produzca un cambio de puesto de trabajo en la misma empresa o el desempeño, en otra distinta, de un puesto de trabajo compatible con el estado del trabajador.
Octava. Bases y tipos de cotización a la Seguridad Social por contingencias comunes en el Régimen Especial para la Minería del Carbón, durante el año 1990.
Uno. Durante el año 1990, las bases normalizadas de cotización por contingencias comunes en el Régimen Especial de la Seguridad Social para la Minería del Carbón, para cada una de las categorías y especialidades profesionales aplicables dentro del ámbito territorial de las Zonas Primera (Asturias), Segunda (Noroeste), Tercera (Sur) y Cuarta (Centro-Levante), serán las determinadas mediante Orden del Ministerio de Empleo y Seguridad Social, de acuerdo con lo indicado en los siguientes apartados.
Dos. Se totalizarán las bases correspondientes a accidentes de trabajo y enfermedades profesionales relativas al período precedente de doce meses consecutivos transcurridos hasta el 31 de diciembre de 1989.
Tres. El tipo de cotización aplicable por contingencias comunes durante el año 1990 será del 28,80 por 100, del que el 24,00 por 100 será a cargo de la empresa y el 4,80 por 100 a cargo del trabajador.
Cuatro. La cotización por la diferencia que exista, en su caso, entre la base normalizada de cotización y la base máxima por contingencias comunes correspondiente a la categoría profesional del trabajador, de ser aquélla superior a ésta, se efectuará aplicando el coeficiente 0,747.
Cinco. A tales efectos, las bases máximas de cotización por contingencias comunes aplicables a cada categoría profesional durante el año 1990, serán las siguientes:
|
Grupo de cotización |
Categorías profesionales |
Bases máximas euros/mes |
|
1 |
Ingenieros y Licenciados |
1.752,19 |
|
2 |
Ingenieros Técnicos, Peritos y Ayudantes Titulados |
1.752,19 |
|
3 |
Jefes Administrativos y de Taller |
1.752,19 |
|
4 |
Ayudantes no titulados |
1.752,19 |
|
5 |
Oficiales Administrativos |
1.116,80 |
|
6 |
Subalternos |
988,06 |
|
7 |
Auxiliares Administrativos |
988,06 |
|
Grupo de cotización |
Categorías profesionales |
Bases máximas euros/día |
|
8 |
Oficiales de primera y segunda |
33,75 |
|
9 |
Oficiales de tercera y especialistas |
33,75 |
|
10 |
Peones |
32,94 |
|
11 |
Trabajadores de diecisiete años |
19,26 |
|
12 |
Trabajadores menores de diecisiete años |
19,26 |
Seis. En la aplicación de lo dispuesto en esta disposición deberán tenerse en cuenta los efectos derivados de la posible existencia de sentencias y actos administrativos firmes dictados en relación con la cotización a este colectivo, en los que se tomaron como bases de cotización las fijadas mediante Resolución de 10 de junio de 2003 (BOE del 24 de junio de 2003) de la Dirección General de Ordenación Económica de la Seguridad Social, por la que se aprobaron las bases normalizadas de cotización en el Régimen Especial de la Seguridad Social para la Minería del Carbón correspondientes a las Zonas Mineras Primera (Asturias), Segunda (Noroeste), Tercera (Sur) y Cuarta (Centro-Levante), para el año 1990, así como las consecuencias que se deduzcan, en su caso, del ejercicio de la prescripción.
Novena. Afectación de ingresos al Fondo de Cohesión Sanitaria.
Los ingresos que se produzcan en el Presupuesto del Estado por aplicación de lo establecido en los artículos 5 y 8 del Real Decreto 1207/2006, de 20 de octubre, se afectarán a la compensación a las Comunidades Autónomas por la asistencia sanitaria concertada prestada a ciudadanos asegurados en otro Estado desplazados temporalmente a España, conforme a lo fijado en dicho Real Decreto.
Décima. Pago de deudas con la Seguridad Social de instituciones sanitarias cuya titularidad ostenten las Administraciones Públicas o instituciones sin ánimo de lucro.
Las instituciones sanitarias cuya titularidad ostenten las Administraciones Públicas o instituciones públicas o privadas sin ánimo de lucro, acogidas a la moratoria prevista en la disposición adicional trigésima de la Ley 41/1994, de 30 de diciembre, de Presupuestos Generales del Estado para 1995, podrán solicitar a la Tesorería General de la Seguridad Social la ampliación de la carencia concedida a dieciocho años, junto con la ampliación de la moratoria concedida hasta un máximo de diez años con amortizaciones anuales.
Undécima. Retribuciones de los cargos directivos y restante personal de las mutuas de accidentes de trabajo y enfermedades profesionales de la Seguridad Social y de sus entidades y centros mancomunados.
Uno. Las retribuciones que perciban las personas que a la entrada en vigor de esta Ley ostenten cargos directivos en las mutuas de accidentes de trabajo y enfermedades profesionales de la Seguridad Social y de sus entidades y centros mancomunados, integrantes del sector público estatal de conformidad con lo establecido en el artículo 2 de la Ley 47/2003, de 26 de noviembre, General Presupuestaria, que sean abonadas con cargo al concepto 130 «Laboral fijo», subconceptos 0 «Altos cargos» y 1 «Otros directivos», del presupuesto de gastos de la correspondiente entidad, no podrán exceder del importe más alto de los que correspondan a los altos cargos del Gobierno de la Nación, de sus Órganos consultivos, de la Administración General del Estado, de los miembros del Consejo General del Poder Judicial, del Tribunal Constitucional y del Tribunal de Cuentas. No obstante la limitación anterior, los citados cargos directivos podrán percibir retribuciones complementarias por encima de la cantidad que resulte de aplicar la misma, en cuyo caso dichas retribuciones tendrán la naturaleza de absorbibles por las retribuciones básicas, y quedará determinada la exclusiva dedicación de aquéllos y, por consiguiente, su incompatibilidad para el desempeño de cualquier otra actividad retribuida.
En ningún supuesto, las retribuciones que, por cualquier concepto, perciban las personas a que se refiere el párrafo anterior, podrán experimentar incremento en el ejercicio 2012 respecto a las cuantías percibidas en el ejercicio 2011.
Dos. En aquellos supuestos en los que la prestación de los servicios de los cargos directivos de las mutuas y de sus entidades y centros mancomunados se inicie a partir del 1 de enero de 2010, las retribuciones básicas por cualquier concepto a percibir por los mismos con cargo al concepto 130 «Laboral fijo», subconceptos 0 «Altos cargos» y 1 «Otros directivos», del presupuesto de gastos de la correspondiente entidad, no podrán exceder las cuantías establecidas en el régimen retributivo de los directores generales de las entidades gestoras y servicios comunes de la Seguridad Social.
Tres. Las retribuciones del resto del personal al servicio de las mutuas y de sus entidades y centros mancomunados quedarán sometidas a lo dispuesto en relación con el personal laboral del sector público estatal y, concretamente, a lo establecido en el artículo 27 de esta Ley.
Cuatro. A efectos de aplicación de las limitaciones previstas en los apartados Uno y Dos, serán computables igualmente las retribuciones que provengan del patrimonio histórico de las mutuas o de las entidades vinculadas a dicho patrimonio.
Duodécima. Gestión de las acciones, medidas y programas establecidos en la letra h) del artículo 13 de la Ley 56/2003, de 16 de diciembre, de Empleo.
El Servicio Público de Empleo Estatal, de conformidad con lo establecido en el artículo 13.h) de la Ley 56/2003, de 16 de diciembre, de Empleo, realizará la gestión de las acciones, medidas y programas financiados con cargo a la reserva de crédito de su presupuesto de gastos, que comprenderá las aplicaciones 19.101.000-X.400, 19.101.000-X.401, 19.101.000-X.402, 19.101.000-X.410, 19.101.000-X.411, 19.101.000-X.412, 19.101.000-X.431 y 19.101.241-A.482, desagregadas a través de varios subconceptos, según los diferentes ámbitos funcionales de las políticas activas de empleo, para financiar las siguientes actuaciones:
a) Acciones y medidas cuya ejecución afecte a un ámbito geográfico superior al de una Comunidad Autónoma, cuando éstas exijan la movilidad geográfica de las personas desempleadas o trabajadoras participantes en las mismas a otra Comunidad Autónoma distinta a la suya, o a otro país, y precisen de una coordinación unificada.
b) Acciones y medidas dirigidas tanto a las personas demandantes de empleo como a las personas ocupadas, para la mejora de su ocupación mediante la colaboración del Servicio Público de Empleo Estatal con órganos de la Administración General del Estado o sus organismos autónomos, para la realización de acciones formativas, entre otras, aquellas que tengan como objetivo la generación de empleo de calidad y la mejora de oportunidades de las personas trabajadoras, en particular cuando se desarrollen en el marco de planes, estrategias o programas de ámbito estatal, y ejecución de obras y servicios de interés general y social relativas a competencias exclusivas del Estado.
c) Acciones y medidas de intermediación y políticas activas de empleo cuyo objetivo sea la integración laboral de trabajadores inmigrantes, realizadas en sus países de origen, facilitando la ordenación de los flujos migratorios.
d) Programas que se establezcan con carácter excepcional y duración determinada, cuya ejecución afecte a todo el territorio nacional, siendo imprescindible su gestión centralizada a los efectos de garantizar la efectividad de las mismas, así como idénticas posibilidades de obtención y disfrute a todos los potenciales beneficiarios.
Dicha reserva presupuestaria opera como reserva de gestión de políticas activas de empleo en los supuestos anteriormente señalados en favor del Servicio Público de Empleo Estatal, no obstante las competencias asumidas por las Comunidades Autónomas en el ámbito del trabajo, el empleo y la formación.
De acuerdo con lo previsto en el artículo 14.3 de la citada Ley 56/2003, de 16 de diciembre, los fondos que integran la reserva de crédito no estarán sujetos a distribución territorial entre las Comunidades Autónomas con competencias de gestión asumidas.
Décima tercera. Interés legal del dinero.
Uno. De conformidad con lo dispuesto en el artículo 1 de la Ley 24/1984, de 29 de junio, sobre modificación del tipo de interés legal del dinero, éste queda establecido en el 4 por ciento hasta el 31 de diciembre del año 2012.
Dos. Durante el mismo periodo, el interés de demora a que se refiere el artículo 26.6 de la Ley 58/2003, de 17 de diciembre, General Tributaria, será del 5 por ciento.
Décima cuarta. Determinación del indicador público de renta de efectos múltiples (IPREM) para 2012.
De conformidad con lo establecido en el artículo 2.2 del Real Decreto-ley 3/2004, de 25 de junio, para la racionalización de la regulación del salario mínimo interprofesional y para el incremento de su cuantía, el indicador público de renta de efectos múltiples (IPREM) tendrá las siguientes cuantías durante 2012:
a) El IPREM diario, 17,75 euros.
b) El IPREM mensual, 532,51 euros.
c) El IPREM anual, 6.390,13 euros.
d) En los supuestos en que la referencia al salario mínimo interprofesional ha sido sustituida por la referencia al IPREM en aplicación de lo establecido en el Real Decreto-Ley 3/2004, de 25 de junio, la cuantía anual del IPREM será de 7.455,14 euros cuando las correspondientes normas se refieran al salario mínimo interprofesional en cómputo anual, salvo que expresamente excluyeran las pagas extraordinarias; en este caso, la cuantía será de 6.390,13 euros.
Décima quinta. Seguro de Crédito a la Exportación.
El límite máximo de cobertura para nueva contratación, excluidas la Póliza Abierta de Gestión de Exportaciones (PAGEX), la Póliza 100 y la Póliza Master, que podrá asegurar y distribuir la Compañía Española de Seguros de Crédito a la Exportación, Sociedad Anónima (CESCE) será, para el ejercicio del año 2012, de 9.000.000 miles de euros.
Décima sexta. Ayudas reembolsables.
Las ayudas públicas que, de acuerdo con lo establecido en el artículo 33.1.b) de la Ley 14/2011, de 1 de junio, de la Ciencia, la Tecnología y la Innovación, se conceden a empresas para la financiación de actuaciones de las previstas en el citado artículo, podrán configurarse como ayudas reembolsables total o parcialmente, en este último caso con cesión a la Administración General del Estado de los derechos sobre los resultados, en función de lo conseguido en la ejecución de dichas actuaciones, y en los términos que establezcan las respectivas bases reguladoras. Los ingresos derivados de los reembolsos de las ayudas públicas con fines de investigación científica y desarrollo tecnológico a que se refiere este precepto podrán generar crédito en las aplicaciones 27.13.463B.740, 27.13.463B.750, 27.13.463B.760, 27.13.463B.770 y 27.13.463B.780 del estado de gastos.
Décima séptima. Creación de Agencias Estatales.
1. Durante el ejercicio 2012 no se crearán Agencias Estatales de las previstas en la Ley 28/2006, de 18 de julio, de Agencias estatales para la mejora de los servicios públicos.
2. Se exceptúa de lo dispuesto en el apartado anterior la creación de la Agencia Estatal para la Investigación, según lo previsto en la disposición adicional duodécima de la Ley 14/2011, de 1 de junio, de la Ciencia, la Tecnología y la Innovación, que se realizará sin aumento de gasto público, no se financiará con créditos del presupuesto financiero del Estado y cuyo régimen de vinculación se establecerá en ley de presupuestos.
La creación de esta Agencia no podrá suponer, en ningún caso, incremento neto de estructura o de personal, dotándose, exclusivamente, mediante la correspondiente redistribución de efectivos, y su funcionamiento tendrá que realizarse con los medios materiales de que dispone actualmente la Administración.
Décima octava. Incorporación de remanentes de tesorería del Organismo Autónomo Instituto Nacional de Administración Pública.
Se autoriza al Organismo Autónomo Instituto Nacional de Administración Pública, dependiente del Ministerio de Hacienda y Administraciones Públicas, a incorporar al remanente de tesorería propio del Organismo los importes no utilizados a final del ejercicio 2011, hasta un límite máximo de 512.000,00 euros, de los fondos destinados a ejecución de los Planes de Formación para el Empleo asignados al INAP como promotor, y de los destinados a las actividades complementarias que tengan relación con el programa de formación para el empleo en las Administraciones Públicas.
Décima novena. Fondo de apoyo para la promoción y desarrollo de infraestructuras y servicios del Sistema de Autonomía y Atención a la Dependencia.
Uno. El Fondo de apoyo para la promoción y desarrollo de infraestructuras y servicios del Sistema de Autonomía y Atención a la Dependencia, creado en la Disposición Adicional sexagésima primera de la Ley 2/2008, de Presupuestos Generales del Estado para 2009 y que tiene por objeto prestar apoyo financiero a las empresas que lleven a cabo dicha actividad, tendrá una dotación para el ejercicio 2012 de 5.000 miles de euros, aportados por el Ministerio de Sanidad, Servicios Sociales e Igualdad. Dicha dotación será desembolsada y transferida a la Sociedad Estatal de Participaciones Industriales (SEPI) con cargo a los Presupuestos Generales del Estado de 2012.
Dos. El procedimiento y condiciones aplicables a la gestión del Fondo, así como los criterios y procedimientos de selección, concesión y control de la financiación a otorgar por el mismo, serán los establecidos en el convenio firmado para el ejercicio 2009 entre el Ministerio de Economía y Hacienda, el Ministerio de Sanidad, Servicios Sociales e Igualdad y la Sociedad Estatal de Participaciones Industriales (SEPI), salvo que por las Instituciones firmantes se considere necesario efectuar alguna modificación para su mejor funcionamiento.
Tres. El Fondo podrá dedicar parte de sus recursos a la constitución de Fondos que tendrían el mismo fin pero limitarían su ámbito de actuación a una Comunidad Autónoma, previa decisión por unanimidad de la Comisión de Inversiones y Seguimiento prevista en el citado Convenio. Estos nuevos Fondos, constituidos a través de un Convenio de las partes, contarían con los recursos aportados por el Fondo del Ministerio de Sanidad, Servicios Sociales e Igualdad, la Comunidad Autónoma correspondiente y las entidades económico-financieras que pudieran estar interesadas.
Cuatro. A la liquidación del Fondo, que se producirá a los diez años de la entrada en vigor de esta Ley, SEPI ingresará en el Tesoro Público la dotación percibida con cargo a los Presupuestos Generales del Estado, menos el importe correspondiente a las operaciones de financiación fallidas, si las hubiere, y los gastos derivados de la gestión del Fondo desde su creación, más los rendimientos financieros que puedan generar las cantidades aportadas al mismo.
Cinco. Este Fondo carece de personalidad jurídica. Las responsabilidades del Fondo se limitarán exclusivamente a aquéllas que la entidad gestora haya contraído por cuenta del mismo. Igualmente, los posibles acreedores del Fondo no podrán hacer efectivos sus créditos contra el patrimonio de la entidad gestora.
Vigésima. Afectación de la recaudación de las tasas de expedición del Documento Nacional de Identidad y Pasaportes.
Con efectos de 1 de enero de 2012 y vigencia indefinida, se afecta la recaudación de las tasas de expedición del Documento Nacional de Identidad y pasaportes a la financiación de las actividades desarrolladas por la Fábrica Nacional de Moneda y Timbre-Real Casa de la Moneda, en cumplimiento de las encomiendas de gestión realizadas por los centros del Ministerio del Interior para la expedición de los indicados documentos, en los porcentajes que se recogen a continuación:
|
Documento |
Porcentaje de afectación |
|
Tasa de expedición del DNI |
94% |
|
Tasa de expedición del Pasaporte |
65% |
Vigésima primera. Módulos para la compensación económica por la actuación de Jueces de Paz y Secretarios de Juzgados de Paz.
Uno. Los Jueces de Paz, nombrados con arreglo a lo dispuesto en el artículo 101 de la Ley Orgánica 6/1985, de 1 de julio, del Poder Judicial percibirán, de acuerdo con el número de habitantes de derecho del municipio, las retribuciones anuales que se indican a continuación, que no varían respecto de las vigentes a 31 de diciembre de 2011:
|
|
Anual |
|
De 1 a 1.999 habitantes |
1.072,78 |
|
De 2.000 a 4.999 habitantes |
1.609,11 |
|
De 5.000 a 6.999 habitantes |
2.145,45 |
|
De 7.000 a 14.999 habitantes |
3.218,15 |
|
De 15.000 o más habitantes |
4.290,85 |
Dos. El personal, excluido el perteneciente a los cuerpos al servicio de la Administración de Justicia, que desempeñe funciones de Secretario de un Juzgado de Paz, con nombramiento expedido al efecto, percibirá, de acuerdo con el número de habitantes de derecho del municipio, las cuantías anuales que se indican a continuación, que no varían respecto de las vigentes a 31 de diciembre de 2011:
|
|
Anual |
|
De 1 a 499 habitantes |
531,28 |
|
De 500 a 999 habitantes |
789,11 |
|
De 1.000 a 1.999 habitantes |
945,37 |
|
De 2.000 a 2.999 habitantes |
1.101,55 |
|
De 3.000 a 4.999 habitantes |
1.414,02 |
|
De 5.000 a 6.999 habitantes |
1.726,50 |
Tres. Las cuantías anteriores se financiarán con cargo a las correspondientes aplicaciones presupuestarias, y se devengarán por periodos trimestrales en los meses de marzo, junio, septiembre y diciembre.
Vigésima segunda. Militares de Tropa y Marinería.
Las plantillas máximas de militares de Tropa y Marinería a alcanzar el 31 de diciembre del año 2012 no podrán superar los 81.000 efectivos.
Se autoriza al Ministerio de Defensa a iniciar los procesos de selección y reclutamiento a partir de la aprobación de la presente Ley.
Vigésima tercera. Contratación de personal de las sociedades mercantiles públicas en 2012.
Uno. En el año 2012, las sociedades mercantiles públicas a que se refiere artículo 22, apartado Uno de esta Ley, no podrán proceder a la contratación de nuevo personal, salvo las contrataciones que respondan a convocatorias iniciadas en ejercicios anteriores o que resulten obligatorias en el marco de programas o planes plurianuales que estén en ejecución a la entrada en vigor de esta Ley.
Sólo en casos excepcionales y para cubrir necesidades urgentes e inaplazables, podrán llevar a cabo contrataciones temporales.
Dos. En el caso de las sociedades mercantiles estatales, la contratación temporal teniendo en cuenta lo indicado en el apartado anterior, se hará de conformidad con los criterios e instrucciones que, previo informe favorable del Ministerio de Hacienda y Administraciones Públicas, se dicten por el accionista mayoritario de las respectivas sociedades.
Tres. Lo dispuesto en el apartado Uno de esta disposición Adicional tiene carácter básico y se dicta al amparo de lo dispuesto en los artículos 149.1.13ª y 156.1 de la Constitución.
Vigésima cuarta. Otros gastos de personal en la Administración del Estado 2012.
1. Para hacer efectiva la minoración de los gastos de acción social previstos en esta Ley, de acuerdo con lo dispuesto en el artículo 38.10 de la Ley 7/2007, de 12 de abril, del Estatuto Básico del Empleado Público, se suspenden los pactos y acuerdos que contengan previsiones contrarias al mismo.
2. La autorización de la masa salarial por el Ministerio de Hacienda y Administraciones Públicas de las entidades y organismos de los apartados a), d) y g) del artículo 22. Uno de esta Ley, se hará teniendo en cuenta la minoración del concepto de acción social.
Vigésima quinta. Contratación de personal de las fundaciones del sector público y de los consorcios en 2012.
Uno. En el año 2012, las fundaciones del sector público y los consorcios participados mayoritariamente por las administraciones y organismos que integran el sector público definido en el artículo 22, apartado Uno de esta Ley, no podrán proceder a la contratación de nuevo personal.
Sólo en casos excepcionales y para cubrir necesidades urgentes e inaplazables, podrán llevar a cabo contrataciones temporales.
Dos. En el caso de las fundaciones del sector público estatal y de los consorcios con participación mayoritaria del sector público estatal, la contratación temporal teniendo en cuenta lo indicado en el apartado anterior, se hará de conformidad con los criterios e instrucciones que, previo informe favorable del Ministerio de Hacienda y Administraciones Públicas, se dicten por los departamentos u organismos de tutela o con participación mayoritaria en los mismos.
Tres. Lo dispuesto en el apartado Uno de esta disposición Adicional tiene carácter básico y se dicta al amparo de lo dispuesto en los artículos 149.1.13.ª y 156.1 de la Constitución.
Vigésima sexta. Aplazamiento de la aplicación de la disposición adicional trigésima de la Ley 27/2011, de 1 de agosto, de actualización, adecuación y modernización del Sistema de Seguridad Social.
Se aplaza la aplicación de lo establecido en la disposición adicional trigésima de la Ley 27/2011, de 1 de agosto, de actualización, adecuación y modernización del Sistema de Seguridad Social.
Vigésima séptima. Ayudas financiación Fondo para el Patrimonio Natural y la Biodiversidad.
En relación con las Ayudas reguladas por el artículo 86 de la Ley 47/2003, de 26 de noviembre, General Presupuestaria, los pagos correspondientes a la financiación de actuaciones recogidas en el Fondo para el Patrimonio Natural y la Biodiversidad regulados en el artículo 74 de la Ley 42/2007, del Patrimonio Natural y de la Biodiversidad, podrán librarse en su totalidad una vez hayan sido acordados en Conferencia Sectorial los criterios objetivos de distribución y la distribución resultante así como el refrendo mediante Acuerdo del Consejo de Ministros.
Vigésima octava. Actuaciones acogidas al Programa de Desarrollo Rural Sostenible, aprobado por Real Decreto 752/2010, de 4 de junio.
Se declaran de interés general, con expresa declaración de utilidad pública, urgente ocupación, y eximente del control preventivo municipal previsto en el artículo 84 de la Ley 7/1985, de 2 de abril, reguladora de las bases del régimen local, las siguientes obras públicas:
1. Actuaciones acogidas al Programa de Desarrollo Rural Sostenible aprobado por Real Decreto 752/2010, de 4 de junio:
Comunidad Foral de Navarra:
– Infraestructuras rurales concertadas del Plan de Zona Rural de Pirineos.
– Infraestructuras rurales concertadas del Plan de Zona Rural de Montes Atlánticos.
– Infraestructuras rurales concertadas del Plan de Zona Rural de Montaña Estellesa.
– Infraestructuras rurales concertadas del Plan de Zona Rural de Sierras de Navarra Media Oriental.
C.A. de Castilla y León:
– Red de caminos rurales en Pedraza (Zona Rural Segovia Este).
– Acondicionamiento de la pista entre Neila y Huerta de Arriba (Zona Rural Burgos Sudeste).
Vigésima novena. Garantías en efectivo y en valores constituidas en la Caja General de Depósitos.
Se declaran en situación de abandono las garantías en efectivo y valores constituidas en la Caja General de Depósitos con anterioridad al 1 de enero de 1985, salvo que la autoridad a cuya disposición se encuentren constituidas confirme su vigencia en el plazo de tres meses a contar desde la entrada en vigor de esta norma.
No obstante, siempre que no hayan transcurrido veinte años desde el vencimiento o el cumplimiento de la obligación garantizada, los interesados, o las entidades públicas a cuyo favor se constituyeron las garantías, podrán solicitar a la Caja General de Depósitos la reposición en sus derechos.
Trigésima. Suscripción de convenios con Comunidades Autónomas que incumplan su objetivo de estabilidad presupuestaria.
Uno. A partir de la entrada en vigor de esta Ley y hasta el 31 de diciembre de 2012, la suscripción de convenios por parte de cualquiera de los sujetos que conforman el sector público estatal al que se refiere el artículo 3 de la Ley 47/2003, de 26 de noviembre, General Presupuestaria, con la administración de una Comunidad Autónoma o los entes dependientes y vinculados a ella que hubiera incumplido su objetivo de estabilidad presupuestaria para los ejercicios 2010 o 2011, cuando aquéllos conlleven una transferencia de recursos de los sujetos del sector público estatal a los de la Comunidad Autónoma incumplidora, impliquen un compromiso de realización de gastos de esta última, o se den ambas circunstancias simultáneamente, precisarán con carácter previo a su autorización informe favorable, preceptivo y vinculante, del Ministerio de Hacienda y Administraciones Públicas.
Respecto de la ejecución de los presupuestos de 2010, se entiende que se ha producido el incumplimiento del objetivo de estabilidad presupuestaria cuando así haya resultado del informe presentado por el Ministerio de Hacienda y Administraciones Públicas al Consejo de Política Fiscal y Financiera de las Comunidades Autónomas de 17 de enero de 2012, en aplicación de lo dispuesto en el artículo 9 del texto refundido de la Ley General de Estabilidad Presupuestaria aprobado por el Real Decreto Legislativo 2/2007, de 28 de diciembre.
Respecto de la ejecución de los presupuestos de 2011, en tanto no se emita el informe al que se refiere el párrafo anterior, se entenderá, a los efectos que se derivan de esta Disposición adicional, que se produce el incumplimiento del objetivo de estabilidad presupuestaria cuando así resulte de las previsiones de cierre del ejercicio 2011 de cada una de las Comunidades Autónomas publicadas por el Ministerio de Hacienda y Administraciones Públicas.
Dos. La misma exigencia respecto de la suscripción de convenios resultará de aplicación si, de conformidad con lo establecido en el artículo 7 de la Ley Orgánica 5/2001, de 13 de diciembre, complementaria a la Ley General de Estabilidad Presupuestaria, el Gobierno de la Nación formula una advertencia a una Comunidad Autónoma en el caso de que aprecie un riesgo de incumplimiento del objetivo de estabilidad presupuestaria. Esta limitación se aplicará desde el momento en que se formule la advertencia.
Tres. El Ministerio de Hacienda y Administraciones Públicas comunicará el incumplimiento o la advertencia a los que se refieren los apartados anteriores a los distintos departamentos ministeriales, que lo comunicarán a su vez a las entidades adscritas o vinculadas a ellos.
Cuatro. En los supuestos previstos en los apartados anteriores y respecto de los convenios suscritos y en ejecución, no procederá su prórroga o modificación sin el previo informe favorable del Ministerio de Hacienda y Administraciones Públicas.
Cinco. El informe del Ministerio de Hacienda y Administraciones Públicas al que se hace referencia en los apartados anteriores, que será emitido por la Secretaría de Estado de Presupuestos y Gastos una vez consultada la Secretaría de Estado de Administraciones Públicas, podrá tener en cuenta, entre otros criterios:
a) La amplitud de la desviación que se hubiera producido respecto del objetivo de estabilidad establecido. En el caso del apartado dos, la desviación se referirá a la estimación que motivó la advertencia respecto del objetivo.
b) Las causas de dicha desviación.
c) Las medidas que se hubieran adoptado para corregirla.
d) El efecto respecto del déficit o la deuda pública de la Comunidad Autónoma que se pudiera derivar del convenio, así como el objeto del mismo.
Trigésima primera. Aportación financiera del Servicio Público de Empleo Estatal a la financiación del IV Plan Integral de Empleo de la Comunidad Autónoma de Canarias.
Uno. De conformidad con lo establecido en la disposición adicional quinta de la Ley 56/2003, de 16 de diciembre, de Empleo, durante el año 2012, el Servicio Público de Empleo Estatal aportará a la financiación del IV Plan Integral de Empleo de la Comunidad Autónoma de Canarias la cantidad de 42.000 miles de euros.
La mencionada aportación financiera tiene el carácter de subvención nominativa, habida cuenta de su consignación en el estado de gastos del presupuesto del Servicio Público de Empleo Estatal con la correspondiente identificación desagregada, expresada a nivel de subconcepto, de la clasificación económica del gasto público estatal.
Dos. La mencionada cantidad se destinará, junto con la aportación financiera que realice la Comunidad Autónoma de Canarias, a financiar las acciones y las medidas de fomento de empleo que se describen en el Convenio de Colaboración que le es de aplicación, suscrito entre la Administración General del Estado y la Administración de la citada Comunidad Autónoma el 1 de agosto de 2011.
Tres. La aportación financiera se librará en el segundo mes de cada cuatrimestre natural del año 2012 previa solicitud documentada de la Comunidad Autónoma de Canarias al Servicio Público de Empleo Estatal de la aplicación de los fondos. No obstante lo anterior, el Servicio Público de Empleo Estatal no dará curso a la tramitación de los libramientos hasta que no haya sido justificada ante dicho Organismo, con la correspondiente aportación documental, la ejecución de los fondos librados en el ejercicio anterior.
Cuatro. La aplicación por la Comunidad Autónoma de la aportación financiera, así como su seguimiento y evaluación se regirá por lo estipulado, al efecto, en el citado Convenio de Colaboración.
Cinco. Finalizado el ejercicio 2012 y con anterioridad al 1 de abril de 2013, la Comunidad Autónoma de Canarias remitirá a la Dirección General del Servicio Público de Empleo Estatal información de los colectivos de desempleados atendidos con las aportaciones hechas efectivas, las acciones realizadas, así como la documentación necesaria a efectos de la cofinanciación del Fondo Social Europeo.
Seis. No obstante lo indicado en el apartado Cinco, el remanente de la aportación financiera no comprometido por la Comunidad Autónoma en el ejercicio 2012 será reintegrado al Servicio Público de Empleo Estatal en la forma que se determine en la resolución de concesión que adopte dicho Organismo para la efectividad de los libramientos a que se refiere el apartado Tres, con sujeción a las prescripciones que, en materia de subvenciones, establece la Ley 38/2003, de 17 de noviembre, General de Subvenciones y su Reglamento de desarrollo, aprobado por el Real Decreto 887/2006, de 21 de julio.
Trigésima segunda. Apoyo financiero a empresas de base tecnológica.
El importe total máximo de las operaciones que podrán aprobarse durante el año 2012 para las operaciones de la línea de financiación creada en el apartado 2 de la Disposición adicional segunda de la Ley 6/2000, de 13 de diciembre, por la que se aprueban medidas fiscales urgentes de estímulo al ahorro familiar y a la pequeña y mediana empresa, será de 20.000 miles de euros, cantidad que se financiará con cargo a la aplicación presupuestaria 20.16.433M.821.11.
El importe total máximo que podrá aprobarse durante el año 2012 para las operaciones a las que se refiere el apartado 1 de la disposición adicional segunda de la Ley 6/2000, de 13 de diciembre, por la que se aprueban medidas fiscales urgentes de estímulo al ahorro familiar y a la pequeña y mediana empresa, será de 18.579,76 miles de euros, cantidad que se financiará con cargo a la aplicación presupuestaria 27.14.467C.831.15.
Trigésima tercera. Apoyo financiero a jóvenes emprendedores y a las pequeñas y medianas empresas.
Uno. El importe de la aportación del Estado a la línea de financiación creada en la disposición adicional vigésima tercera de la Ley 39/2010, de 22 de diciembre, de Presupuestos Generales del Estado para el año 2011, Apoyo financiero a jóvenes emprendedores, será de 20.000 miles de euros, cantidad que se financiará con cargo a la aplicación presupuestaria 20.16.433M.821.12.
Dos. El importe de la aportación del Estado a la línea de financiación creada en la disposición adicional vigésimo quinta de la Ley 2/2004, de 27 de diciembre, de Presupuestos Generales del Estado para el año 2005, de apoyo financiero a las pequeñas y medianas empresas, será de 56.105,49 miles de euros, cantidad que se financiará con cargo a la aplicación presupuestaria 20.16.433M.821.10.
Trigésima cuarta. Dotación de los fondos de fomento a la inversión española con interés español en el exterior.
Uno. La dotación del Fondo para Inversiones en el Exterior se establece en 25.000 miles de euros en el año 2012. El Comité Ejecutivo del Fondo para Inversiones en el Exterior podrá aprobar durante el año 2012 operaciones por un importe total máximo equivalente a 300.000 miles de euros.
Dos. El Comité Ejecutivo del Fondo de Operaciones de Inversión en el Exterior de la Pequeña y Mediana Empresa podrá aprobar durante el año 2012 operaciones por un importe total máximo equivalente a 35.000 miles de euros.
Trigésima quinta. Apoyo financiero a las actuaciones en Parques Científicos y Tecnológicos.
Las entidades promotoras de Parques Científicos y Tecnológicos que acrediten encontrarse en una situación financiera que les impida cumplir con las correspondientes obligaciones de pago podrán solicitar el aplazamiento de cuotas de amortización con vencimiento en 2012 derivadas de préstamos o anticipos concedidos en virtud de las convocatorias realizadas desde el año 2000.
El aplazamiento podrá ser concedido por el Ministerio de Economía y Competitividad previo informe favorable del Ministerio de Hacienda y Administraciones Públicas con arreglo a las siguientes condiciones:
1. Se respetarán los límites de intensidad de ayuda permitidos por la normativa comunitaria en materia de ayudas de Estado.
2. No variará el plazo máximo de vencimiento de los préstamos, pudiendo las cuotas aplazadas ser objeto de fraccionamiento.
3. Las cuotas aplazadas devengarán el tipo de interés correspondiente al Euribor publicado por el Banco de España en el mes de enero de 2012 incrementado en 25 puntos básicos.
4. Deberán aportarse las garantías adicionales que en cada caso se determinen.
5. En el caso de entidades del sector público, la operación deberá contar con la autorización de la Administración a la que la entidad pertenezca y adicionalmente dicha Administración deberá asumir subsidiariamente el pago de la deuda cuyo aplazamiento se solicita. Así mismo, las cuotas aplazadas podrán ser objeto de compensación con cualquier pago que debiera realizarse desde el Estado a la citada Administración.
Mediante resolución de la Directora General de Competitividad e Innovación del Ministerio de Economía y Competitividad podrán dictarse las instrucciones que sean precisas para el cumplimiento de esta disposición.
Trigésima sexta. Instrumentación de la ampliación del plazo para el reintegro de las liquidaciones negativas del sistema de financiación de las Comunidades Autónomas y Ciudades con Estatuto de Autonomía correspondientes a 2008 y 2009. [10]
Uno. Durante el año 2012 el Ministro de Hacienda y Administraciones Públicas, a solicitud de las Comunidades Autónomas y las Ciudades de Ceuta y Melilla, presentada en el plazo de un mes a partir de la publicación de la presente Ley, podrá establecer y aplicar un mecanismo financiero extrapresupuestario con el objetivo de extender a 120 mensualidades iguales, a computar a partir de 1 de enero de 2012, el aplazamiento del saldo pendiente de reintegro a la citada fecha de las liquidaciones del sistema de financiación de los años 2008 y 2009, aplazadas en aplicación de la disposición adicional cuarta de la Ley 22/2009, de 18 de diciembre, por la que se regula el sistema de financiación de las Comunidades Autónomas de régimen común y Ciudades con Estatuto de Autonomía y se modifican determinadas normas tributarias.
Dos. Para la aplicación a una Comunidad Autónoma o Ciudad con Estatuto de Autonomía del mecanismo financiero señalado deberá haberse acordado previamente el plan de ajuste previsto en la normativa reguladora en materia de estabilidad presupuestaria y sostenibilidad financiera y en los Acuerdos de la Comisión Delegada del Gobierno para Asuntos Económicos que regulan los mecanismos extraordinarios de financiación.
Tres. En el acto por el que se determina la aplicación del citado mecanismo financiero a la Comunidad Autónoma o Ciudad con Estatuto de Autonomía solicitante se contendrán, entre otros extremos, el calendario de pagos y reintegros de los aplazamientos concedidos y la referencia al plan de ajuste acordado.
Cuatro. El reintegro o cancelación de los anticipos contenidos en el mecanismo financiero se realizará mediante descuento en los pagos que realiza la Administración General del Estado en aplicación del sistema de financiación.
Cinco. En todo caso, la aplicación de este mecanismo financiero no producirá efectos en la aplicación del sistema de financiación, especialmente en lo que respecta a los artículos 20, 23, 24 y al apartado 7 de la disposición transitoria primera de la Ley 22/2009, de 28 de diciembre.
Seis. La aplicación del indicado mecanismo tendrá efectos desde 1 de enero de 2012.
El pago de las cuantías correspondientes a la aplicación de este mecanismo en el año 2012 se realizará por alícuotas partes mensuales desde la fecha de concesión de este mecanismo hasta final de año. En el resto del periodo los anticipos y sus cancelaciones se realizarán por alícuotas partes mensuales con las excepciones establecidas en los apartados siguientes.
Siete. En el supuesto de que la Comunidad Autónoma o Ciudad con Estatuto de Autonomía incumpla el objetivo de estabilidad correspondiente a cualquiera de los años en los que surta efectos el mecanismo financiero, siempre que dicho incumplimiento se determine entre los años 2013 y 2016, se producirá el reintegro o cancelación de los anticipos contenidos en el mismo, en los meses que resten hasta finalizar el 2016 en importes mensuales iguales. No obstante, el Ministerio de Hacienda y Administraciones Públicas, mediante Resolución de la Secretaría General de Coordinación Autonómica y Local, podrá seguir aplicando la ampliación de dicho plazo hasta 120 mensualidades iguales, siempre que así lo solicite la Comunidad Autónoma y ésta acredite el cumplimiento de sus obligaciones de suministro de información.
Ocho. En el supuesto de que la Comunidad Autónoma o Ciudad con Estatuto de Autonomía incumpla el objetivo de estabilidad correspondiente a cualquiera de los años en los que surta efectos el mecanismo financiero, siempre que dicho incumplimiento se determine a partir del 2017, se producirá el reintegro o cancelación de los anticipos satisfechos y pendientes de cancelación hasta la fecha en que se declare el incumplimiento, de forma inmediata. No obstante, el Ministerio de Hacienda y Administraciones Públicas, mediante Resolución de la Secretaría General de Coordinación Autonómica y Local, podrá seguir aplicando la ampliación del plazo hasta 120 mensualidades iguales, siempre que así lo solicite la Comunidad Autónoma y ésta acredite el cumplimiento de sus obligaciones legales de suministro de información.
Nueve. [11] La determinación del incumplimiento del objetivo de estabilidad, a los efectos de esta disposición, se producirá en el momento en el que el Ministro de Hacienda y Administraciones Públicas eleve al Gobierno el informe sobre el grado de cumplimiento de los objetivos de estabilidad presupuestaria y de deuda pública y de la regla de gasto del ejercicio inmediato anterior, al que se refiere el artículo 17.4 de la Ley Orgánica 2/2012, de 27 de abril, de Estabilidad Presupuestaria y Sostenibilidad Financiera.
Diez. [12] Las Comunidades Autónomas de régimen común podrán solicitar hasta el 31 de octubre de 2014 la ampliación del aplazamiento del mecanismo financiero extrapresupuestario previsto en el apartado Uno de esta disposición, con el objetivo de extender a 204 mensualidades iguales, a computar a partir de 1 de enero de 2015, el aplazamiento del saldo pendiente de reintegro a la citada fecha de las liquidaciones del sistema de financiación a las que se refiere el mencionado apartado así como de los anticipos concedidos en virtud de dicho mecanismo.
Esta ampliación podrá concederse mediante Resolución de la Secretaría General de Coordinación Autonómica y Local que contendrá, entre otros extremos, el calendario de pagos y reintegros de los aplazamientos concedidos.
En el supuesto de que se constaten los incumplimientos de los objetivos de estabilidad a los que se refieren los apartados Siete y Ocho de esta disposición, se producirán los efectos allí recogidos, sin perjuicio de que el Ministerio de Hacienda y Administraciones Públicas, mediante Resolución de la Secretaría General de Coordinación Autonómica y Local, pueda seguir aplicando la ampliación de dicho plazo a 204 mensualidades iguales, siempre que así lo solicite la Comunidad y ésta acredite el cumplimiento de sus obligaciones legales de suministro de información.
Trigésima séptima. Porcentaje sobre el rendimiento de la tasa de reserva de dominio público radioeléctrico a percibir por la Corporación RTVE.
Con efectos 1 de enero de 2012, el porcentaje sobre el rendimiento de la tasa sobre reserva de dominio público radioeléctrico a percibir por la Corporación RTVE, según el artículo 4.2 de la Ley 8/2009, de 28 de agosto, de financiación de la Corporación de Radio y Televisión Española, queda fijado en el 100%, con un importe máximo de 330 millones de euros.
Trigésima octava. Extracoste de generación de energía eléctrica insular y extrapeninsular.
Durante el ejercicio 2012 queda en suspenso, respecto de los extracostes de generación correspondientes al año 2011, la aplicación del mecanismo de compensación con cargo a los Presupuestos Generales del Estado establecido en la Disposición adicional primera del Real Decreto-Ley 6/2009, de 30 de abril, por el que se adoptan determinadas medidas en el sector energético y se aprueba el bono social, sin que se genere derecho alguno ni proceda realizar compensación con cargo a los Presupuestos del corriente ejercicio 2012.
Trigésima novena. Normas de ejecución presupuestaria del Centro para el desarrollo tecnológico industrial.
Uno. Durante el ejercicio 2012 la concesión de préstamos y anticipos por parte del Centro para el Desarrollo Tecnológico Industrial se ajustará a las normas previstas en la disposición adicional cuadragésima quinta de esta ley para los préstamos y anticipos que se concedan con cargo al capítulo 8 de los Presupuestos Generales del Estado.
Dos. Las operaciones de concesión de subvenciones con cargo al presupuesto del Centro para el Desarrollo Tecnológico Industrial no podrán exceder en el año 2012 del importe de los créditos iniciales consignados a favor de dicha entidad en el capítulo 7 del presupuesto del Ministerio de Economía y Competitividad.
Tres. Trimestralmente el Ministerio de Economía y Competitividad informará al Ministerio de Hacienda y Administraciones Públicas sobre la ejecución de las operaciones realizadas a efectos de verificar el cumplimiento de los límites regulados en los apartados anteriores.
Cuadragésima. Suspensión de la aplicación de determinados preceptos de la Ley 39/2006, de 14 de diciembre, de Promoción de la Autonomía Personal y Atención a las Personas en situación de dependencia.
Durante 2012 se suspende la aplicación del artículo 7.2, del artículo 8.2.a), del artículo 10, del artículo 32.3, párrafo primero, y de la Disposición Transitoria primera de la Ley 39/2006, de 14 de diciembre, de Promoción de la Autonomía Personal y Atención a las Personas en situación de dependencia.
Cuadragésima primera. Contratación de inversiones por parte de las entidades públicas empresariales y sociedades mercantiles estatales.
Las entidades públicas empresariales y las sociedades mercantiles estatales que se recogen en el anexo XI necesitarán informe previo y favorable del Ministerio de Hacienda y Administraciones Públicas para la contratación de inversiones cuyo reconocimiento en contabilidad se prevea efectuar en ejercicios posteriores al del ejercicio en curso, cuando su cuantía, medida de forma acumulada, exceda del 180% del importe por el que figure en el anexo territorializado de inversiones que acompaña a esta Ley.
En todo caso, el volumen contratado no podrá exceder de los siguientes porcentajes: 70%, 60% y 50% en el primer, segundo y tercer ejercicios posteriores al ejercicio en curso, respectivamente, cualesquiera que fueran los instrumentos jurídicos de los que deriven, salvo norma con rango de ley.
Al menos con periodicidad trimestral, y dentro del mes siguiente al que se refiera, las citadas entidades informarán al Ministerio de Hacienda y Administraciones Públicas del volumen y porcentajes contratados, medidos de forma acumulada y con indicación de los proyectos principales.
Cuadragésima segunda. Garantía del Estado para obras de interés cultural.
Uno. De acuerdo con lo establecido en el apartado 3 de la disposición adicional novena de la Ley 16/1985, de 25 de junio, del Patrimonio Histórico Español, durante el ejercicio 2012, el importe total acumulado, en todo momento, de los compromisos otorgados por el Estado respecto a todas las obras o conjuntos de obras cedidas temporalmente para su exhibición en instituciones de competencia exclusiva del Ministerio de Educación, Cultura y Deporte y sus Organismos públicos adscritos, así como del Consejo de Administración del Patrimonio Nacional no podrá exceder de 1.848.000 miles de euros.
El límite máximo de los compromisos específicos que se otorguen por primera vez en el año 2012 para obras o conjuntos de obras destinadas a su exhibición en una misma exposición será de 231.000 miles de euros. Una vez devueltas las obras a los cedentes y acreditado por los responsables de las exposiciones el término de la Garantía otorgada sin incidencia alguna, las cantidades comprometidas dejarán de estarlo y podrán ser de nuevo otorgadas a una nueva exposición.
Excepcionalmente este límite máximo podrá elevarse por encima de los 231.000 miles de euros por acuerdo del Consejo de Ministros a propuesta del Ministerio de Economía y Competitividad, por iniciativa del Ministerio de Educación, Cultura y Deporte, en cuyo caso el importe total acumulado, durante el periodo de vigencia de esa exposición, no podrá exceder de 2.750.000 miles de euros.
El límite máximo de los compromisos específicos que se otorguen a la Fundación Colección Thyssen-Bornemisza respecto a las obras destinadas a su exhibición en las sedes de la Fundación ubicadas en España en relación con el «Contrato de Préstamo de Obras de arte entre, de una parte, la Fundación Colección Thyssen-Bornemisza y de otra Omicron Collections Limited, Nautilus Trustees Limited, Coraldale Navigation Incorporated, Imiberia Anstalt, y la Baronesa Carmen Thyssen-Bornemisza», para el año 2012 será de 540.910 miles de euros.
Dos. En el año 2012 será de aplicación lo dispuesto en el apartado anterior a las exposiciones organizadas por la «Sociedad Estatal para la Acción Cultural, SA», que se celebren en instituciones dependientes de la Administración General del Estado, así como a las exposiciones organizadas por la Fundación Lázaro Galdiano en la sede de su Museo.
Cuadragésima tercera. Financiación de la formación profesional para el empleo.
Uno. Sin perjuicio de otras fuentes de financiación, los fondos provenientes de la cuota de formación profesional se destinarán a financiar el subsistema de formación profesional para el empleo regulado por el Real Decreto 395/2007, de 23 de marzo, incluyendo los programas públicos de empleo y formación establecidos en su artículo 28, en los términos expuestos en la presente disposición adicional.
En el ejercicio inmediato al que se cierre el presupuesto, se efectuará una liquidación en razón de las cuotas de formación profesional efectivamente percibidas, cuyo importe se incorporará al presupuesto del ejercicio siguiente, en caso de existir signo positivo respecto a las inicialmente previstas para dicho ejercicio.
Dos. El 50 por ciento, como mínimo, de los fondos previstos en el apartado anterior se destinará inicialmente a la financiación de las siguientes iniciativas y conceptos:
– Formación de demanda, que abarca las acciones formativas de las empresas y los permisos individuales de formación.
– Formación de oferta dirigida prioritariamente a trabajadores ocupados.
– Acciones de apoyo y acompañamiento a la formación.
– Formación en las Administraciones Públicas.
– Gastos de funcionamiento e inversión de la Fundación Tripartita para la Formación en el Empleo.
A la financiación de la formación en las Administraciones Públicas se destinará un 6,85 por 100 de la cuantía indicada en el párrafo primero de este apartado. Esta cuantía, previamente minorada en el porcentaje correspondiente al índice de imputación utilizado para el cálculo del cupo de acuerdo con la Ley 12/2002, de 23 de mayo, se incluirá como dotación diferenciada en el presupuesto de gastos del Servicio Público de Empleo Estatal para su aportación dineraria al Instituto Nacional de Administración Pública, adscrito al Ministerio de Hacienda y Administraciones Públicas, en tres libramientos en los meses de febrero, abril y junio. En el presupuesto del Instituto Nacional de Administración Pública figurarán territorializados los fondos correspondientes a las Comunidades Autónomas y Ciudades de Ceuta y Melilla para la financiación de la formación continua de sus empleados públicos. El abono de dichos fondos se realizará desde el Instituto Nacional de Administración Pública mediante transferencia nominativa a cada Comunidad y Ciudad Autónoma, con excepción de la Comunidad Autónoma del País Vasco.
El Servicio Público de Empleo Estatal librará a la Fundación Tripartita para la Formación en el Empleo los fondos para la financiación de sus gastos de funcionamiento e inversión. El citado libramiento se efectuará por cuartas partes, en la segunda quincena natural de cada trimestre. La Fundación deberá presentar anualmente y antes del 30 de abril del ejercicio siguiente ante el Servicio Público de Empleo Estatal, la justificación contable de los gastos realizados con cargo a los fondos asignados para su funcionamiento.
El 50 por ciento restante se destinará inicialmente a financiar las acciones formativas dirigidas prioritariamente a trabajadores desempleados, así como los programas públicos de empleo formación. No obstante, previo informe del Servicio Público de Empleo competente, se podrá destinar, con carácter excepcional en el ejercicio 2012, hasta un máximo del 20 por cien de estos fondos para la realización de acciones de fomento del empleo siempre que estén incluidas en el Plan Anual de Política de Empleo y que en las mismas participen personas desempleadas inscritas como demandantes de empleo.
La financiación de la formación teórica del contrato para la formación y el aprendizaje se realizará de conformidad con lo que se establezca en la normativa reglamentaria que regule la impartición y las características de la formación recibida por los trabajadores.
Tres. Las Comunidades Autónomas con competencias estatutariamente asumidas en materia de políticas activas de empleo recibirán del Servicio Público de Empleo Estatal las transferencias de fondos para la financiación de las subvenciones en el ámbito de la formación profesional para el empleo gestionadas por dichas Comunidades, en la cuantía que resulte de acuerdo con lo previsto en la normativa aplicable.
Cuatro. Las empresas que cotizan por la contingencia de formación profesional dispondrán de un crédito para la formación de sus trabajadores de acuerdo con lo establecido en el Capítulo II del Real Decreto 395/2007, de 23 de marzo, por el que se regula el subsistema de formación profesional para el empleo, que resultará de aplicar a la cuantía ingresada por la empresa en concepto de formación profesional durante el año 2011 el porcentaje de bonificación que, en función del tamaño de las empresas, se establece a continuación:
a) Empresas de 6 a 9 trabajadores: 100 por ciento.
b) De 10 a 49 trabajadores: 75 por ciento.
c) De 50 a 249 trabajadores: 60 por ciento.
d) De 250 o más trabajadores: 50 por ciento.
Las empresas de 1 a 5 trabajadores dispondrán de un crédito de bonificación por empresa de 420 euros, en lugar de un porcentaje. Asimismo, podrán beneficiarse de un crédito de formación, en los términos establecidos en la citada normativa, las empresas que durante el año 2012 abran nuevos centros de trabajo, así como las empresas de nueva creación, cuando incorporen a su plantilla nuevos trabajadores. En estos supuestos las empresas dispondrán de un crédito de bonificaciones cuyo importe resultará de aplicar al número de trabajadores de nueva incorporación la cuantía de 65 euros.
Las empresas que durante el año 2012 concedan permisos individuales de formación a sus trabajadores dispondrán de un crédito de bonificaciones para formación adicional al crédito anual que les correspondería de conformidad con lo establecido en el párrafo primero de este apartado, por el importe que resulte de aplicar los criterios determinados por Orden del Ministerio de Empleo y Seguridad Social. El crédito adicional asignado al conjunto de las empresas que concedan los citados permisos no podrá superar el 5 por ciento del crédito establecido en el presupuesto del Servicio Público de Empleo Estatal para la financiación de las bonificaciones en las cotizaciones de la Seguridad Social por formación profesional para el empleo.
Cuadragésima cuarta. Suspensión normativa.
Queda sin efecto en 2012 lo previsto en el artículo 2 ter 4 de la Ley Orgánica 4/2000, de 11 de enero.
Cuadragésima quinta. Préstamos y anticipos concedidos con cargo a los Presupuestos Generales del Estado.
Uno. Con la finalidad de atender al cumplimiento de los objetivos de estabilidad presupuestaria y endeudamiento, la realización de gastos con cargo a los artículos 82 y 83 del capítulo 8 de los Presupuestos Generales del Estado se ajustará, con vigencia indefinida, a las siguientes normas:
a) Salvo autorización expresa del Ministro de Hacienda y Administraciones Públicas no podrán concederse préstamos y anticipos al tipo de interés inferior al de la Deuda emitida por el Estado en instrumentos con vencimiento similar.
En el supuesto de préstamos y anticipos a conceder a través de procedimientos de concurrencia competitiva, el citado requisito deberá cumplirse en el momento anterior a la aprobación de la convocatoria.
La determinación del tipo de interés deberá quedar justificada en el expediente por el correspondiente órgano gestor. En los supuestos en que no fuera posible una relación directa con la referencia indicada, se acompañará informe de la Secretaría General de Tesoro y Política Financiera.
Esta norma no será de aplicación a los siguientes casos:
– Anticipos que se concedan al personal.
– Anticipos reembolsables con fondos comunitarios.
– Préstamos o anticipos cuyo tipo de interés se regule en normas de rango legal.
– Préstamos al Consorcio de Compensación de Seguros para el Seguro de Crédito a la Exportación.
b) Los beneficiarios de los préstamos o anticipos deberán acreditar que se encuentran al corriente del pago de las obligaciones de reembolso de cualesquiera otros préstamos o anticipos concedidos anteriormente con cargo a los Presupuestos Generales del Estado. Corresponde al centro gestor del gasto comprobar el cumplimiento de tales condiciones con anterioridad al pago, exigiendo, cuando no pueda acreditarse de otro modo, una declaración responsable del beneficiario o certificación del órgano competente si éste fuere una administración pública.
Dos. Mediante Orden del Ministro de Hacienda y Administraciones Públicas se dictarán las instrucciones que sean precisas para el cumplimiento de lo previsto en esta disposición.
Tres. Las normas contenidas en esta disposición sustituyen a las establecidas en los artículos 63 de la Ley 26/2009, de 23 de diciembre, de Presupuestos Generales del Estado para el año 2010 y 58 de la Ley 39/2010, de 22 de diciembre, de Presupuestos Generales del Estado para el año 2011.
Cuadragésima sexta. Actuaciones en relación con el presupuesto prorrogado.
Uno. Imputación de las operaciones de gasto del Presupuesto prorrogado a los Presupuestos Generales del Estado para 2012.
1. Las operaciones de gasto realizadas con cargo al Presupuesto prorrogado se imputarán a los créditos autorizados por la presente Ley. Cuando en los Presupuestos Generales del Estado para 2012 no hubiese el mismo crédito que en el Presupuesto prorrogado o, habiéndolo, su dotación resulte insuficiente para imputar las correspondientes operaciones de gasto a los créditos del Departamento ministerial u Organismo del sector público administrativo estatal, se seguirá el procedimiento que se indica en los apartados siguientes de esta disposición.
Dicho procedimiento será también aplicable a aquellos compromisos de gasto y otras operaciones imputadas al Presupuesto de 2011 que de acuerdo con la normativa vigente se deberían haber registrado en el Presupuesto prorrogado y no se hubiera efectuado dicha imputación.
2. La oficina de contabilidad obtendrá una relación de aquellas operaciones que no se hubiesen podido imputar a los créditos presupuestarios del Presupuesto de 2012 con la especificación de los distintos expedientes afectados, que remitirá al respectivo Servicio gestor con la indicación de que en el plazo de treinta días deberá comunicar a dicha oficina las actuaciones a realizar con respecto a las operaciones pendientes de registro contable incluidas en la relación.
3. Si dichas actuaciones conllevan anulaciones de operaciones o reajustes de anualidades, el Servicio gestor deberá remitir los justificantes y documentos contables que acrediten las mismas.
4. Si las citadas actuaciones suponen la tramitación de expedientes de modificaciones presupuestarias, y los mismos no se han aprobado antes de la finalización del plazo de treinta días citado anteriormente, el Servicio gestor deberá comunicar a la oficina de contabilidad, excepto en el caso de que se trate de transferencias de crédito, las retenciones de crédito que deberán ser registradas en otros créditos de su Presupuesto por un importe igual al de las operaciones pendientes de registro. El Servicio gestor aplicará dichas retenciones de crédito a los créditos cuya minoración ocasione menos trastornos para el servicio público. Una vez aprobadas las modificaciones presupuestarias e imputadas las operaciones pendientes de registro, se efectuará la anulación de las anteriores retenciones de crédito.
5. Si cumplido el citado plazo de los treinta días, el Servicio gestor no hubiere comunicado a la oficina de contabilidad las actuaciones a realizar con respecto a las operaciones pendientes de registro contable, dicha oficina de contabilidad procederá a registrar de oficio las retenciones de crédito por un importe igual al de dichas operaciones. Dichas retenciones de crédito se aplicarán a los créditos que la oficina de contabilidad determine dentro del mismo capítulo del presupuesto al que correspondan las mismas, y preferentemente dentro del mismo programa. La oficina de contabilidad comunicará al Servicio gestor las retenciones de crédito realizadas de oficio.
6. Hasta el momento en que se determinen las actuaciones definitivas relativas a las operaciones pendientes de registro, el Servicio gestor podrá solicitar a la oficina de contabilidad la anulación de las retenciones de crédito indicadas en los apartados anteriores, siempre que simultáneamente se registren por dicha oficina nuevas retenciones de crédito, de acuerdo con la comunicación recibida del Servicio gestor, por un importe igual al de las retenciones de crédito a anular, a fin de que queden retenidos los créditos en aquellas dotaciones cuya minoración ocasione menos trastornos para el servicio público.
7. El registro en el sistema de información contable de las retenciones de crédito y de las anulaciones de retenciones de crédito a que se refieren los apartados 4, 5 y 6 anteriores se efectuará por las oficinas de contabilidad, a efectos de poder efectuar el control efectivo de la imputación definitiva de todas las operaciones pendientes de registro.
Dos. Modificaciones presupuestarias.
Las incorporaciones de crédito y aquellas otras modificaciones presupuestarias que determine el Ministerio de Hacienda y Administraciones Públicas, realizadas hasta la entrada en vigor de la presente Ley, tendrán efectividad en los Presupuestos Generales del Estado para el año 2012. Las modificaciones se aplicarán según la estructura presupuestaria incorporada a los estados de ingresos y gastos de esta Ley.
No se aplicarán a los Presupuestos Generales del Estado para 2012 las retenciones de crédito realizadas en aplicación del apartado cuarto del Acuerdo de Consejo de Ministros de 30 de diciembre de 2011.
Cuadragésima séptima. Criterios para el cálculo del índice de evolución de los ingresos tributarios del Estado mencionado en el Capítulo I, del Título VII de la presente Ley, de acuerdo con lo dispuesto en el artículo 121 del Texto Refundido de la Ley Reguladora de las Haciendas Locales aprobado por Real Decreto Legislativo 2/2004, de 5 de marzo.
A los efectos del cálculo de las entregas a cuenta de la participación de las Entidades locales en los tributos del Estado del artículo 121 del Texto Refundido de la Ley Reguladora de las Haciendas Locales aprobado por Real Decreto Legislativo 2/2004, de 5 de marzo, el índice provisional de evolución de los ingresos tributarios del Estado entre el año 2004 y el año 2012, se determinará con los criterios establecidos en el artículo 20 de la Ley 22/2009, de 18 de diciembre, que consisten en:
1. Los ingresos tributarios del Estado del año 2012 están constituidos por la recaudación estatal en el ejercicio excluidos los recursos tributarios cedidos a las CCAA por IRPF, IVA e IIEE, en los términos previstos en el artículo 20 de la Ley 22/2009.
2. Por lo que se refiere al cálculo de los ingresos tributarios del Estado del año 2004, se utilizarán los criterios de homogeneización establecidos en el artículo 20 de la Ley 22/2009. Esto es, se procederá a simular la entrega a cuenta del año 2004 de las CCAA en los términos de cesión correspondientes al año 2012. Por lo que respecta a la liquidación del 2002 se calculará por diferencia entre el rendimiento definitivo de las CCAA en los términos de cesión del año 2012 y las entregas realmente efectuadas en 2002.
Igualmente para la determinación del resto de los índices de evolución regulados en el Capítulo I del Título VII de la presente Ley, distintos del anterior, se aplicará lo dispuesto en el artículo 20 de la Ley 22/2009, de 18 de diciembre, sustituyendo, si procede, el año base 2007 por el que corresponda.
Cuadragésima octava. Anticipos de la liquidación definitiva de la participación de las Entidades locales en tributos del Estado del año 2010 y posteriores.
1. En el año 2012, con cargo al crédito que se dote en la Sección 36, Servicio 21, Secretaría General de Coordinación Autonómica y Local. Entidades Locales, Programa 942M, Transferencias a Entidades Locales por participación en los ingresos del Estado, Concepto 468, relativo a la liquidación definitiva de años anteriores y compensaciones derivadas del nuevo sistema de financiación, el Ministerio de Hacienda y Administraciones Públicas anticipará el 50 por ciento del importe estimado de la liquidación definitiva de la participación de las Entidades locales en tributos del Estado del año 2010 que, en su caso, resulte a favor de dichas entidades, siempre que, a la fecha de publicación de esta Ley, no se les esté aplicando la retención a la que se refiere el artículo 36 de la Ley 2/2011, de 4 de marzo, de Economía Sostenible. El citado anticipo se materializará dentro del plazo de un mes desde la mencionada fecha.
2. En ejercicios posteriores se podrán anticipar a las Entidades locales las liquidaciones definitivas que se calculen en los mismos, siempre que aquéllas hayan presentado la liquidación de sus presupuestos generales del ejercicio inmediato anterior, acompañada de un informe del interventor o del secretario-interventor especificando los ajustes que procedan y el cálculo de la capacidad de financiación conforme al Sistema Europeo de Cuentas Nacionales y Regionales, y de dicho cálculo se derive una posición de equilibrio o superávit.
Las Entidades locales a las que se refieren los artículos 111 y 135 del Texto Refundido de la Ley Reguladora de las Haciendas Locales, aprobado por Real Decreto Legislativo 2/2004, de 5 de marzo, deberán presentar, con carácter previo, un compromiso aprobado por sus respectivos Plenos de acordar con el Ministerio de Hacienda y Administraciones Públicas un plan de ajuste que garantice el cumplimiento de los objetivos de estabilidad presupuestaria y de deuda pública, para lo que se tendrá en cuenta lo dispuesto en el siguiente párrafo.
En el caso de que las Entidades locales incumplan los objetivos de estabilidad presupuestaria, los límites de endeudamiento que les resulten de aplicación o los plazos establecidos en la Ley 3/2004, de 29 de diciembre, por la que se establecen medidas de lucha contra la morosidad en las operaciones comerciales, deberán aprobar un plan de ajuste, que garantice la corrección de aquellos incumplimientos, mediante acuerdo de sus respectivos Plenos, que, además, deberán aceptar la posible imposición por el Ministerio de Hacienda y Administraciones Públicas de condiciones particulares en materia de seguimiento y remisión de información, así como, en su caso, de adopción de medidas de ajuste extraordinarias que permitan aquella corrección. Asimismo, aquellas entidades deberán presentar un certificado del secretario o del secretario-interventor del acuerdo del Pleno con el anterior contenido y aprobatorio del plan de ajuste antes citado, así como el informe del interventor o del secretario-interventor en el que se recojan las medidas de aquel plan.
La documentación a la que se refiere el presente apartado se deberá remitir al órgano competente del Ministerio de Hacienda y Administraciones Públicas por medios telemáticos y firmada electrónicamente.
Las Leyes de Presupuestos Generales del Estado de aquellos ejercicios podrán especificar el plazo y procedimiento de aplicación de esta medida.
Cuadragésima novena. Regularización de las entregas a cuenta del año 2012 transferidas con anterioridad a la fecha de publicación de la presente Ley.
1. Del importe de las entregas a cuenta que correspondan en 2012 a cada entidad local, de acuerdo con los criterios establecidos en las Secciones 1ª a 7ª, del Capítulo I, del Título VII, de la presente Ley, y, en su caso, de los créditos recogidos en el estado de gastos de estos Presupuestos Generales del Estado, se deducirán las cuantías que hayan correspondido a las entregas a cuenta de este año a las que se hubiesen aplicado la Ley 39/2010, de 22 de diciembre, de Presupuestos Generales del Estado para el año 2011, que fue prorrogada con las especialidades establecidas en el artículo 10 del Real Decreto-ley 20/2011, de 30 de diciembre, de medidas urgentes en materia presupuestaria, tributaria y financiera para la corrección del déficit público.
El resultado de la anterior operación se distribuirá, por partes iguales, entre las entregas a cuenta a las que se aplique la presente Ley.
2. A los municipios que se incluirán en 2012 por vez primera en el modelo de cesión de impuestos del Estado se les aplicará la regla del anterior apartado si bien se imputarán al Fondo Complementario de Financiación los importes que les hubiere correspondido en las entregas a cuenta determinadas con arreglo a la Ley 39/2010, de 22 de diciembre, de Presupuestos Generales del Estado para el año 2011, que fue prorrogada con las especialidades establecidas en el artículo 10 del Real Decreto-ley 20/2011, de 30 de diciembre, de medidas urgentes en materia presupuestaria, tributaria y financiera para la corrección del déficit público.
Quincuagésima. Actividades prioritarias de mecenazgo.
Uno. De acuerdo con lo establecido en el artículo 22 de la Ley 49/2002, de 23 de diciembre, de régimen fiscal de las entidades sin fines lucrativos y de los incentivos fiscales al mecenazgo, durante el año 2012 se considerarán actividades prioritarias de mecenazgo las siguientes:
1.ª Las llevadas a cabo por el Instituto Cervantes para la promoción y la difusión de la lengua española y de la cultura mediante redes telemáticas, nuevas tecnologías y otros medios audiovisuales.
2.ª La promoción y la difusión de las lenguas oficiales de los diferentes territorios del Estado español llevadas a cabo por las correspondientes instituciones de las Comunidades Autónomas con lengua oficial propia.
3.ª La conservación, restauración o rehabilitación de los bienes del Patrimonio Histórico Español que se relacionan en el Anexo VIII de esta Ley, así como las actividades y bienes que se incluyan, previo acuerdo entre el Ministerio de Educación, Cultura y Deporte y el Ministerio de Industria, Energía y Turismo, en el programa de digitalización, conservación, catalogación, difusión y explotación de los elementos del Patrimonio Histórico Español «patrimonio.es» al que se refiere el artículo 75 de la Ley 53/2002, de 30 de diciembre, de Medidas Fiscales, Administrativas y del Orden Social.
4.ª Los programas de formación del voluntariado que hayan sido objeto de subvención por parte de las Administraciones públicas.
5.ª Los proyectos y actuaciones de las Administraciones públicas dedicadas a la promoción de la Sociedad de la Información y, en particular, aquellos que tengan por objeto la prestación de los servicios públicos por medio de los servicios informáticos y telemáticos a través de Internet.
6.ª La investigación, desarrollo e innovación en las Instalaciones Científicas que, a este efecto, se relacionan en el Anexo XII de esta Ley.
7.ª La investigación, desarrollo e innovación en los ámbitos de las nanotecnologías, la salud, la genómica, la proteómica y la energía, y en entornos de excelencia internacional, realizados por las entidades que, a estos efectos, se reconozcan por el Ministerio de Hacienda y Administraciones Públicas, a propuesta del Ministerio de Economía y Competitividad.
8.ª El fomento de la difusión, divulgación y comunicación de la cultura científica y de la innovación, llevadas a cabo por la Fundación Española para la Ciencia y la Tecnología.
9.ª Los programas dirigidos a la lucha contra la violencia de género que hayan sido objeto de subvención por parte de las Administraciones públicas o se realicen en colaboración con éstas.
Dos. De acuerdo con lo establecido en el artículo 22 de la Ley 49/2002, de 23 de diciembre, de régimen fiscal de las entidades sin fines lucrativos y de los incentivos fiscales al mecenazgo, durante los años 2011 y 2012 se considerarán actividades prioritarias de mecenazgo las donaciones y aportaciones vinculadas a la ejecución de los proyectos incluidos en el Plan Director de Recuperación del Patrimonio Cultural de Lorca.
Tres. Los porcentajes y los límites de las deducciones establecidas en los artículos 19, 20 y 21 de la citada Ley 49/2002 se elevarán en cinco puntos porcentuales en relación con las actividades incluidas en los apartados anteriores.
Quincuagésima primera. Beneficios fiscales aplicables a la celebración de «Vitoria- Gasteiz Capital Verde Europea 2012».
Uno. La celebración de «Vitoria-Gasteiz Capital Verde Europea 2012» tendrá la consideración de acontecimiento de excepcional interés público a los efectos de lo dispuesto en el artículo 27 de la Ley 49/2002, de 23 de diciembre, de régimen fiscal de las entidades sin fines lucrativos y de los incentivos fiscales al mecenazgo.
Dos. La duración del programa de apoyo a este acontecimiento abarcará desde 1 de enero de 2012 a 31 de diciembre de 2014.
Tres. La certificación de la adecuación de los gastos realizados a los objetivos y planes del programa se efectuará en conformidad a lo dispuesto en la citada Ley 49/2002.
Cuatro. Las actuaciones a realizar serán las que aseguren el adecuado desarrollo del acontecimiento. El desarrollo y concreción en planes y programas de actividades específicas se realizarán por el órgano competente en conformidad con lo dispuesto en la citada Ley 49/2002.
Cinco. Los beneficios fiscales de este programa serán los máximos establecidos en el artículo 27.3 de la citada Ley 49/2002.
Quincuagésima segunda. Beneficios fiscales aplicables al Campeonato del Mundo de Vela (ISAF) Santander 2014.
Uno. El Campeonato del Mundo de Vela (ISAF) Santander 2014 tendrá la consideración de acontecimiento de excepcional interés público a los efectos de lo dispuesto en el artículo 27 de la Ley 49/2002, de 23 de diciembre, de régimen fiscal de las entidades sin fines lucrativos y de los incentivos fiscales al mecenazgo.
Dos. La duración del programa de apoyo a este acontecimiento abarcará desde el 1 de julio de 2012 al 31 de diciembre de 2014.
Tres. La certificación de la adecuación de los gastos realizados a los objetivos y planes del programa se efectuará en conformidad a lo dispuesto en la citada Ley 49/2002.
Cuatro. Las actuaciones a realizar serán las que aseguren el adecuado desarrollo del acontecimiento. El desarrollo y concreción en planes y programas de actividades específicas se realizarán por el órgano competente en conformidad con lo dispuesto en la citada Ley 49/2002.
Cinco. Los beneficios fiscales de este programa serán los máximos establecidos en el artículo 27.3 de la citada Ley 49/2002.
Quincuagésima tercera. Beneficios fiscales aplicables al Programa «El Árbol es Vida».
Uno. El Programa «El Árbol es Vida» tendrá la consideración de acontecimiento de excepcional interés público a los efectos de lo dispuesto en el artículo 27 de la Ley 49/2002, de 23 de diciembre, de régimen fiscal de las entidades sin fines lucrativos y de los incentivos fiscales al mecenazgo.
Dos. La duración del programa de apoyo a este acontecimiento abarcará desde 1 de julio de 2012 a 30 de junio de 2015.
Tres. La certificación de la adecuación de los gastos realizados a los objetivos y planes del programa se efectuará en conformidad a lo dispuesto en la citada Ley 49/2002.
Cuatro. Las actuaciones a realizar serán las que aseguren el adecuado desarrollo del acontecimiento. El desarrollo y concreción en planes y programas de actividades específicas se realizarán por el órgano competente en conformidad a lo dispuesto en la citada Ley 49/2002.
Cinco. Los beneficios fiscales de este programa serán los máximos establecidos en el artículo 27.3 de la citada Ley 49/2002.
Quincuagésima cuarta. Beneficios fiscales aplicables a la celebración del IV Centenario de las relaciones de España y Japón a través del programa de actividades del «Año de España en Japón».
Uno. La celebración del IV Centenario de las relaciones de España y Japón a través del programa de actividades del «Año de España en Japón» tendrá la consideración de acontecimiento de excepcional interés público a los efectos de lo dispuesto en el artículo 27 de la Ley 49/2002, de 23 de diciembre, de régimen fiscal de las entidades sin fines lucrativos y de los incentivos fiscales al mecenazgo.
Dos. La duración del programa de apoyo a este acontecimiento abarcará desde el 1 de julio de 2012 al 1 de septiembre de 2014.
Tres. La certificación de la adecuación de los gastos realizados a los objetivos y planes del programa se efectuará en conformidad a lo dispuesto en la citada Ley 49/2002.
Cuatro. Las actuaciones a realizar serán las que aseguren el adecuado desarrollo del acontecimiento. El desarrollo y concreción en planes y programas de actividades específicas se realizarán por el órgano competente en conformidad a lo dispuesto en la citada Ley 49/2002.
Cinco. Los beneficios fiscales de este programa serán los máximos establecidos en el artículo 27.3 de la citada Ley 49/2002.
Quincuagésima quinta. Beneficios fiscales aplicables al «Plan Director para la recuperación del Patrimonio Cultural de Lorca».
Uno. El «Plan Director para la recuperación del Patrimonio Cultural de Lorca» tendrá la consideración de acontecimiento de excepcional interés público a los efectos de lo dispuesto en el artículo 27 de la Ley 49/2002, de 23 de diciembre, de régimen fiscal de las entidades sin fines lucrativos y de los incentivos fiscales al mecenazgo.
Dos. La duración del programa de apoyo a este acontecimiento abarcará desde 1 de enero del 2012 a 31 de diciembre de 2014.
Tres. La certificación de la adecuación de los gastos realizados a los objetivos y planes del programa se efectuará en conformidad a lo dispuesto en la citada Ley 49/2002.
Cuatro. Las actuaciones a realizar serán las que aseguren el adecuado desarrollo del acontecimiento. El desarrollo y concreción en planes y programas de actividades específicas se realizarán por el órgano competente en conformidad a lo dispuesto en la citada Ley 49/2002.
Cinco. Los beneficios fiscales de este programa serán los máximos establecidos en el artículo 27.3 de la citada Ley 49/2002.
Quincuagésima sexta. Beneficios fiscales aplicables al Programa Patrimonio Joven y el 4º Foro Juvenil Iberoamericano del Patrimonio Mundial.
Uno. El Programa Patrimonio Joven y el 4º Foro Juvenil Iberoamericano del Patrimonio Mundial tendrá la consideración de acontecimiento de excepcional interés público a los efectos de lo dispuesto en el artículo 27 de la Ley 49/2002, de 23 de diciembre, de régimen fiscal de las entidades sin fines lucrativos y de los incentivos fiscales al mecenazgo.
Dos. La duración del programa de apoyo a este acontecimiento abarcará desde 1 de enero de 2012 a 31 de diciembre de 2012.
Tres. La certificación de la adecuación de los gastos realizados a los objetivos y planes del programa se efectuará en conformidad a lo dispuesto en la citada Ley 49/2002.
Cuatro. Las actuaciones a realizar serán las que aseguren el adecuado desarrollo del acontecimiento. El desarrollo y concreción en planes y programas de actividades específicas se realizarán por el órgano competente en conformidad a lo dispuesto en la citada Ley 49/2002.
Cinco. Los beneficios fiscales de este programa serán los máximos establecidos en el artículo 27.3 de la citada Ley 49/2002.
Quincuagésima séptima. Beneficios fiscales aplicables al Programa «Universiada de Invierno de Granada 2015».
Uno. El Programa «Universiada de Invierno de Granada 2015» tendrá la consideración de acontecimiento de excepcional interés público a los efectos de lo dispuesto en el artículo 27 de la Ley 49/2002, de 23 de diciembre, de régimen fiscal de las entidades sin fines lucrativos y de los incentivos fiscales al mecenazgo.
Dos. [13] La duración del programa de apoyo a este acontecimiento abarcará desde el 1 de julio de 2012 al 30 de junio de 2016.
Tres. La certificación de la adecuación de los gastos realizados a los objetivos y planes del programa se efectuará en conformidad a lo dispuesto en la citada Ley 49/2002.
Cuatro. Las actuaciones a realizar serán las que aseguren el adecuado desarrollo del acontecimiento. El desarrollo y concreción en planes y programas de actividades específicas se realizarán por el órgano competente en conformidad a lo dispuesto en la citada Ley 49/2002.
Cinco. Los beneficios fiscales de este programa serán los máximos establecidos en el artículo 27.3 de la citada Ley 49/2002.
Quincuagésima octava. Beneficios fiscales aplicables al Campeonato del Mundo de Ciclismo en Carretera «Ponferrada 2014». [14]
Uno. El Campeonato del Mundo de Ciclismo en Carretera "Ponferrada 2014" tendrá la consideración de acontecimiento de excepcional interés público a los efectos de lo dispuesto en el artículo 27 de la Ley 49/2002, de 23 de diciembre, de régimen fiscal de las entidades sin fines lucrativos y de los incentivos fiscales al mecenazgo.
Dos. La duración del programa de apoyo a este acontecimiento abarcará desde el 1 de octubre de 2012 al 30 de septiembre de 2015.
Tres. La certificación de la adecuación de los gastos realizados a los objetivos y planes del programa se efectuará en conformidad con lo dispuesto en la citada Ley 49/2002.
Cuatro. Las actuaciones a realizar serán las que aseguren el adecuado desarrollo del acontecimiento. El desarrollo y concreción en planes y programas de actividades específicas se realizarán por el órgano competente en conformidad con lo dispuesto en la citada Ley 49/2002.
Cinco. Los beneficios fiscales de este programa serán los máximos establecidos en el artículo 27.3 de la Ley 49/2002, de 23 de diciembre, de régimen fiscal de las entidades sin fines lucrativos y de los incentivos fiscales al mecenazgo.
Quincuagésima novena. Beneficios fiscales aplicables a la celebración de la «Creación del Centro de Categoría 2 UNESCO en España, dedicado al Arte Rupestre y Patrimonio Mundial».
Uno. La celebración de la «Creación del Centro de Categoría 2 UNESCO en España, dedicado al Arte Rupestre y Patrimonio Mundial», tendrá la consideración de acontecimiento de excepcional interés público a los efectos de lo dispuesto en el artículo 27 de la Ley 49/2002, de 23 de diciembre, de régimen fiscal de las entidades sin fines lucrativos y de los incentivos fiscales al mecenazgo.
Dos. La duración del programa de apoyo a este acontecimiento abarcará desde 1 de enero de 2012 a 31 de diciembre de 2012.
Tres. La certificación de la adecuación de los gastos realizados a los objetivos y planes del programa se efectuará en conformidad a lo dispuesto en la citada Ley 49/2002.
Cuatro. Las actuaciones a realizar serán las que aseguren el adecuado desarrollo del acontecimiento. El desarrollo y concreción en planes y programas de actividades específicas se realizarán por el órgano competente en conformidad a lo dispuesto en la citada Ley 49/2002.
Cinco. Los beneficios fiscales de este programa serán los máximos establecidos en el artículo 27.3 de la citada Ley 49/2002.
Sexagésima. Beneficios fiscales aplicables a la celebración de «Barcelona World Jumping Challenge».
Uno. La celebración de «Barcelona World Jumping Challenge» tendrá la consideración de acontecimiento de excepcional interés público a los efectos de lo dispuesto en el artículo 27 de la Ley 49/2002, de 23 de diciembre, de régimen fiscal de las entidades sin fines lucrativos y de los incentivos fiscales al mecenazgo.
Dos. La duración del programa de apoyo a este acontecimiento abarcará desde 1 de noviembre de 2012 a 31 de octubre de 2015.
Tres. La certificación de la adecuación de los gastos realizados a los objetivos y planes del programa se efectuará en conformidad a lo dispuesto en la citada Ley 49/2002.
Cuatro. Las actuaciones a realizar serán las que aseguren el adecuado desarrollo del acontecimiento. El desarrollo y concreción en planes y programas de actividades específicas se realizarán por el órgano competente en conformidad a lo dispuesto en la citada Ley 49/2002.
Cinco. Los beneficios fiscales de este programa serán los máximos establecidos en el artículo 27.3 de la citada Ley 49/2002.
Sexagésima primera. Beneficios fiscales aplicables al Campeonato del Mundo de Natación Barcelona 2013.
Uno. El Campeonato del Mundo de Natación Barcelona 2013 tendrá la consideración de acontecimiento de excepcional interés público a los efectos de lo dispuesto en el artículo 27 de la Ley 49/2002, de 23 de diciembre, de régimen fiscal de las entidades sin fines lucrativos y de los incentivos fiscales al mecenazgo.
Dos. La duración del programa de apoyo a este acontecimiento abarcará desde el 1 de julio de 2012 a 31 de diciembre de 2013.
Tres. La certificación de la adecuación de los gastos realizados a los objetivos y planes del programa se efectuará en conformidad a lo dispuesto en la citada Ley 49/2002.
Cuatro. Las actuaciones a realizar serán las que aseguren el adecuado desarrollo del acontecimiento. El desarrollo y concreción en planes y programas de actividades específicas se realizarán por el órgano competente en conformidad a lo dispuesto en la citada Ley 49/2002.
Cinco. Los beneficios fiscales de este programa serán los máximos establecidos en el artículo 27.3 de la citada Ley 49/2002.
Sexagésima segunda. Beneficios fiscales aplicables a la celebración de «Barcelona Mobile World Capital».
Uno. La celebración de «Barcelona Mobile World Capital» tendrá la consideración de acontecimiento de excepcional interés público a los efectos de lo dispuesto en el artículo 27 de la Ley 49/2002, de 23 de diciembre, de régimen fiscal de las entidades sin fines lucrativos y de los incentivos fiscales al mecenazgo.
Dos. La duración del programa de apoyo a este acontecimiento abarcará desde 1 de enero de 2012 a 31 de diciembre de 2014.
Tres. La certificación de la adecuación de los gastos realizados a los objetivos y planes del programa se efectuará en conformidad a lo dispuesto en la citada Ley 49/2002.
Cuatro. Las actuaciones a realizar serán las que aseguren el adecuado desarrollo del acontecimiento. El desarrollo y concreción en planes y programas de actividades específicas se realizarán por el órgano competente en conformidad a lo dispuesto en la citada Ley 49/2002.
Cinco. Los beneficios fiscales de este programa serán los máximos establecidos en el artículo 27.3 de la citada Ley 49/2002.
Sexagésima tercera. Beneficios fiscales aplicables a la celebración de la «3,ª edición de la Barcelona World Race».
Uno. La celebración de la «3ª edición de la Barcelona World Race» tendrá la consideración de acontecimiento de excepcional interés público a los efectos de lo dispuesto en el artículo 27 de la Ley 49/2002, de 23 de diciembre, de régimen fiscal de las entidades sin fines lucrativos y de los incentivos fiscales al mecenazgo.
Dos. La duración del programa de apoyo a este acontecimiento abarcará desde 1 de enero de 2012 a 31 de diciembre de 2012.
Tres. La certificación de la adecuación de los gastos realizados a los objetivos y planes del programa se efectuará en conformidad a lo dispuesto en la citada Ley 49/2002.
Cuatro. Las actuaciones a realizar serán las que aseguren el adecuado desarrollo del acontecimiento. El desarrollo y concreción en planes y programas de actividades específicas se realizarán por el órgano competente en conformidad a lo dispuesto en la citada Ley 49/2002.
Cinco. Los beneficios fiscales de este programa serán los máximos establecidos en el artículo 27.3 de la citada Ley 49/2002.
Sexagésima cuarta. Beneficios fiscales aplicables a la celebración del 40º aniversario de la Convención del Patrimonio Mundial (París, 1972).
Uno. La celebración del 40º aniversario de la Convención del Patrimonio Mundial (París, 1972) tendrá la consideración de acontecimiento de excepcional interés público a los efectos de lo dispuesto en el artículo 27 de la Ley 49/2002, de 23 de diciembre, de régimen fiscal de las entidades sin fines lucrativos y de los incentivos fiscales al mecenazgo.
Dos. La duración del programa de apoyo a este acontecimiento abarcará desde 1 de enero de 2012 a 31 de diciembre de 2012.
Tres. La certificación de la adecuación de los gastos realizados a los objetivos y planes del programa se efectuará en conformidad a lo dispuesto en la citada Ley 49/2002.
Cuatro. Las actuaciones a realizar serán las que aseguren el adecuado desarrollo del acontecimiento. El desarrollo y concreción en planes y programas de actividades específicas se realizarán por el órgano competente en conformidad a lo dispuesto en la citada Ley 49/2002.
Cinco. Los beneficios fiscales de este programa serán los máximos establecidos en el artículo 27.3 de la citada Ley 49/2002.
Sexagésima quinta. Beneficios fiscales aplicables al Campeonato del Mundo de Tiro Olímpico «Las Gabias 2014».
Uno. El Campeonato del Mundo de Tiro Olímpico «Las Gabias 2014» tendrá la consideración de acontecimiento de excepcional interés público a los efectos de lo dispuesto en el artículo 27 de la Ley 49/2002, de 23 de diciembre, de régimen fiscal de las entidades sin fines lucrativos y de los incentivos fiscales al mecenazgo.
Dos. La duración del programa de apoyo a este acontecimiento abarcará desde 1 de julio de 2012 a 31 de diciembre de 2014.
Tres. La certificación de la adecuación de los gastos realizados a los objetivos y planes del programa se efectuará en conformidad a lo dispuesto en la citada Ley 49/2002.
Cuatro. Las actuaciones a realizar serán las que aseguren el adecuado desarrollo del acontecimiento. El desarrollo y concreción en planes y programas de actividades específicas se realizarán por el órgano competente en conformidad a lo dispuesto en la citada Ley 49/2002.
Cinco. Los beneficios fiscales de este programa serán los máximos establecidos en el artículo 27.3 de la citada Ley 49/2002.
Sexagésima sexta. Beneficios fiscales aplicables a la celebración del «VIII Centenario de la Catedral de Santiago de Compostela».
Uno. La celebración del «VIII Centenario de la Catedral de Santiago de Compostela» tendrá la consideración de acontecimiento de excepcional interés público a los efectos de lo dispuesto en el artículo 27 de la Ley 49/2002, de 23 de diciembre, de régimen fiscal de las entidades sin fines lucrativos y de los incentivos fiscales al mecenazgo.
Dos. La duración del programa de apoyo a este acontecimiento abarcará desde 1 de enero de 2011 a 30 de junio de 2012.
Tres. La certificación de la adecuación de los gastos realizados a los objetivos y planes del programa se efectuará en conformidad a lo dispuesto en la citada Ley 49/2002.
Cuatro. Las actuaciones a realizar serán las que aseguren el adecuado desarrollo del acontecimiento. El desarrollo y concreción en planes y programas de actividades específicas se realizarán por el órgano competente en conformidad a lo dispuesto en la citada Ley 49/2002.
Cinco. Los beneficios fiscales de este programa serán los máximos establecidos en el artículo 27.3 de la citada Ley 49/2002.
Sexagésima séptima. Beneficios fiscales aplicables a la conmemoración de los «500 años de Bula Papal».
Uno. La conmemoración de los «500 años de Bula Papal» tendrá la consideración de acontecimiento de excepcional interés público a los efectos de lo dispuesto en el artículo 27 de la Ley 49/2002, de 23 de diciembre, de régimen fiscal de las entidades sin fines lucrativos y de los incentivos fiscales al mecenazgo.
Dos. La duración del programa de apoyo a este acontecimiento abarcará desde 1 de julio de 2012 a 31 de diciembre de 2012.
Tres. La certificación de la adecuación de los gastos realizados a los objetivos y planes del programa se efectuará en conformidad a lo dispuesto en la citada Ley 49/2002.
Cuatro. Las actuaciones a realizar serán las que aseguren el adecuado desarrollo del acontecimiento. El desarrollo y concreción en planes y programas de actividades específicas se realizarán por el órgano competente en conformidad a lo dispuesto en la citada Ley 49/2002.
Cinco. Los beneficios fiscales de este programa serán los máximos establecidos en el artículo 27.3 de la citada Ley 49/2002.
Sexagésima octava. Beneficios fiscales aplicables al Programa «2012 Año de las Culturas, la Paz y la Libertad».
Uno. El Programa «2012 Año de las Culturas, la Paz y la Libertad» tendrá la consideración de acontecimiento de excepcional interés público a los efectos de lo dispuesto en el artículo 27 de la Ley 49/2002, de 23 de diciembre, de régimen fiscal de las entidades sin fines lucrativos y de los incentivos fiscales al mecenazgo.
Dos. La duración del programa de apoyo a este acontecimiento abarcará desde el 1 de enero de 2012 a 31 de diciembre de 2012.
Tres. La certificación de la adecuación de los gastos realizados a los objetivos y planes del programa se efectuará en conformidad a lo dispuesto en la citada Ley 49/2002.
Cuatro. Las actuaciones a realizar serán las que aseguren el adecuado desarrollo del acontecimiento. El desarrollo y concreción en planes y programas de actividades específicas se realizarán por el órgano competente en conformidad a lo dispuesto en la citada Ley 49/2002.
Cinco. Los beneficios fiscales de este programa serán los máximos establecidos en el artículo 27.3 de la citada Ley 49/2002.
Sexagésima novena. Beneficios fiscales aplicables a la celebración del «Año de la Neurociencia».
Uno. La celebración del «Año de la Neurociencia» tendrá la consideración de acontecimiento de excepcional interés público a los efectos de lo dispuesto en el artículo 27 de la Ley 49/2002, de 23 de diciembre, de régimen fiscal de las entidades sin fines lucrativos y de los incentivos fiscales al mecenazgo.
Dos. La duración del programa de apoyo a este acontecimiento abarcará desde 1 de enero de 2012 a 31 de diciembre de 2012.
Tres. La certificación de la adecuación de los gastos realizados a los objetivos y planes del programa se efectuará en conformidad a lo dispuesto en la citada Ley 49/2002.
Cuatro. Las actuaciones a realizar serán las que aseguren el adecuado desarrollo del acontecimiento. El desarrollo y concreción en planes y programas de actividades específicas se realizarán por el órgano competente en conformidad a lo dispuesto en la citada Ley 49/2002.
Cinco. Los beneficios fiscales de este programa serán los máximos establecidos en el artículo 27.3 de la citada Ley 49/2002.
Septuagésima. Deudas pendientes del Ayuntamiento de Marbella con la Seguridad Social y con la Hacienda Pública Estatal. [15]
Dos. Se aplicará a la cancelación anticipada de las fracciones, mediante la reducción del plazo de duración total del fraccionamiento, el cobro de cualquier indemnización que el Ayuntamiento de Marbella, los entes de derecho público dependientes del mismo y las sociedades mercantiles de las que sea titular tuvieran reconocidas por los órdenes jurisdiccionales civil o penal mediante sentencia judicial firme.
En el supuesto de que tales indemnizaciones se concreten mediante la entrega al Ayuntamiento de bienes o derechos, los mismos quedarán afectos en virtud de la presente Ley al pago de la deuda fraccionada pendiente y se ejecutarán directamente de acuerdo con lo previsto en el artículo 172 de la Ley General Tributaria y 34 de la Ley General de la Seguridad Social. Se podrán excluir de esa regla los bienes o derechos que, mediante acuerdo del Pleno del Ayuntamiento, se destinen a la prestación de los servicios públicos municipales, sin que ello suponga minoración alguna de la deuda pendiente que hubiere sido objeto del fraccionamiento citado.
En todo lo no dispuesto en la presente disposición adicional se aplicará supletoriamente la Ley General Tributaria o la Ley General de la Seguridad Social o la Ley General Presupuestaria, según proceda.
Tres. Asimismo se aplicará a la cancelación de las fracciones que resulten de la aplicación de las reglas contenidas en el apartado anterior, el importe de las multas y demás pagos que deban efectuarse a favor de la Administración General del Estado y que se ingresen por los secretarios judiciales, mediante orden de transferencia, en la cuenta especial de ingresos al Tesoro Público, “Multas y pagos a favor del Estado”, y, en su caso, el producto de los bienes decomisados o derechos, que se reconozcan a la Administración General del Estado, por los órdenes jurisdiccionales civil o penal mediante las sentencias judiciales firmes a las que se refiere el apartado anterior. En este último caso, los bienes o derechos se ejecutarán directamente de acuerdo con lo previsto en el artículo 172 de la Ley General Tributaria y 34 de la Ley General de la Seguridad Social, salvo aquellos bienes que sean de interés del Ayuntamiento de Marbella para la prestación de servicios públicos, en cuyo caso la Administración General del Estado podrá ceder gratuitamente su uso, en los términos que disponga la Ley 33/2003, de 3 de noviembre, del Patrimonio de las Administraciones Públicas, sin que ello suponga cancelación de las fracciones antes citadas. En todo lo no dispuesto en la presente disposición adicional se aplicará supletoriamente la Ley General Tributaria o la Ley General de la Seguridad Social o la Ley General Presupuestaria, según proceda.
Cuatro. En el año 2018 podrá formalizarse un convenio para financiar la ejecución de proyectos que tengan por objeto el fomento de actuaciones de utilidad pública o de interés social del municipio de Marbella, mediante el destino total o parcial de los importes reconocidos a favor de la Administración General del Estado, e ingresado por ésta, a los que se refiere el apartado Tres de la disposición adicional septuagésima de la Ley 2/2012, de 29 de junio, de Presupuestos Generales del Estado para el año 2012 y que no se destinen a la cancelación de las deudas en los términos establecidos en dicho apartado. A los efectos de este apartado resultará de aplicación la Ley 38/2003, de 17 de noviembre, General de Subvenciones.
Septuagésima primera. Jornada general del trabajo en el Sector Público.
(…) [16]
Septuagésima segunda. Subvenciones al transporte marítimo y aéreo para residentes en Canarias, Baleares, Ceuta y Melilla.
(…) [17]
Septuagésima tercera. Asignación de cantidades a fines sociales.
El Estado destinará a subvencionar actividades de interés social, en la forma que reglamentariamente se establezca, el 0,7 por ciento de la cuota íntegra del Impuesto sobre la Renta de las Personas Físicas del ejercicio 2012 correspondiente a los contribuyentes que manifiesten expresamente su voluntad en tal sentido.
A estos efectos, se entenderá por cuota íntegra del impuesto la formada por la suma de la cuota íntegra estatal y de la cuota íntegra autonómica o complementaria en los términos previstos en la Ley reguladora del Impuesto sobre la Renta de las Personas Físicas.
La liquidación definitiva de la asignación correspondiente al ejercicio de 2012 se llevará a cabo antes del 30 de abril de 2014, efectuándose una liquidación provisional el 30 de noviembre de 2013 que posibilite la iniciación anticipada del procedimiento para la concesión de las subvenciones.
Septuagésima cuarta. Financiación a la Iglesia Católica.
Durante el año 2012 el Estado entregará, mensualmente, a la Iglesia Católica 13.266.216,12 euros, a cuenta de la cantidad que deba asignar a la Iglesia por aplicación de lo dispuesto en los apartados Uno y Dos de la disposición adicional decimoctava de la Ley 42/2006, de 28 de diciembre, de Presupuestos Generales del Estado para el año 2007.
Antes del 30 de noviembre de 2013, se efectuará una liquidación provisional de la asignación correspondiente a 2012, practicándose la liquidación definitiva antes del 30 de abril de 2014. En ambas liquidaciones, una vez efectuadas, se procederá por las dos partes a regularizar, en un sentido o en otro, el saldo existente.
Septuagésima quinta. Aportación financiera del Servicio Público de Empleo Estatal a la financiación del Plan Integral de Empleo de la Comunidad Autónoma de Extremadura.
Uno. Durante el año 2012, el Servicio Público de Empleo Estatal aportará para la financiación del Plan Integral de Empleo de la Comunidad Autónoma de Extremadura la cantidad de 4.000.000 euros.
La mencionada aportación financiera tiene el carácter de subvención nominativa, habida cuenta de su consignación en el estado de gastos del presupuesto del Servicio Público de Empleo Estatal con la correspondiente identificación desagregada expresada a nivel de subconcepto de la clasificación económica del gasto público estatal.
Dos. La citada cantidad se destinará conjuntamente con la aportación financiera que, en su caso, realice la respectiva Comunidad Autónoma, a financiar las acciones y las medidas de fomento de empleo que se describirán en el Convenio de Colaboración que suscriban la Administración General del Estado y la Administración de la Comunidad Autónoma de Extremadura.
Tres. La citada aportación se materializará en dos libramientos por la misma cantidad en los meses de octubre y diciembre de 2012, previa suscripción del Convenio de Colaboración antes citado. Cada uno de los mencionados libramientos requiere la previa solicitud documentada de la Comunidad Autónoma de Extremadura al Servicio Público de Empleo Estatal, en los términos que se establezcan en el Convenio de Colaboración que suscriban ambas Administraciones.
Cuatro. La aplicación por la Comunidad Autónoma de Extremadura de la correspondiente aportación financiera, así como su seguimiento y evaluación se regirá por lo estipulado, al efecto, en el mencionado Convenio de Colaboración.
Cinco. Finalizado el ejercicio 2012 y con anterioridad al 1 de abril de 2013, la Comunidad Autónoma de Extremadura remitirá a la Dirección General del Servicio Público de Empleo Estatal información de los colectivos de desempleados atendidos con las aportaciones hechas efectivas, las acciones realizadas, así como, en su caso, la documentación necesaria a efectos de la cofinanciación del Fondo Social Europeo.
Seis. No obstante lo indicado en el apartado Cinco anterior, el remanente de la aportación financiera no comprometido por la respectiva Comunidad Autónoma en el ejercicio 2012 será reintegrado al Servicio Público de Empleo Estatal en la forma que se determine en la resolución de concesión que adopte dicho Organismo para la efectividad de los libramientos a que se refiere el apartado Tres, con sujeción a las prescripciones que, en materia de subvenciones, establece la Ley 38/2003, de 17 de noviembre, General de Subvenciones y su Reglamento de desarrollo, aprobado por el Real Decreto 887/2006, de 21 de julio.
Asimismo, se deberán reintegrar al Servicio Público de Empleo Estatal las cantidades comprometidas por la Comunidad Autónoma de Extremadura en el ejercicio 2012 que no se hubieran abonado efectivamente a los beneficiarios de las acciones y medidas desarrolladas en el Plan Integral de Empleo regulado en la presente disposición, en el mismo ejercicio en que se hubiera justificado adecuadamente estas acciones y medidas, o en el ejercicio siguiente a que se hubiera producido la justificación señalada en el caso de que la misma se hubiera realizado en el último trimestre del ejercicio natural.
La justificación de los proyectos y acciones financiados con cargo al Plan Integral de Empleo para la Comunidad Autónoma de Extremadura se considerará adecuada, cuando así se manifieste por la Comunidad Autónoma que gestione estos fondos, bien prestando su conformidad al proyecto realizado o bien realizando la liquidación del respectivo expediente.
Septuagésima sexta. Beneficios fiscales aplicables al programa conmemorativo del VIII Centenario de la Batalla de las Navas de Tolosa (1212) y del V de la conquista, anexión e incorporación de Navarra al reino de Castilla (1512).
Uno. La conmemoración del VIII Centenario de la Batalla de las Navas de Tolosa y del V de la conquista de Navarra tendrá la consideración de acontecimiento de excepcional interés público a los efectos de lo dispuesto en el artículo 27 de la Ley 49/2002, de 23 de diciembre, de régimen fiscal de las entidades sin fines lucrativos y de los incentivos fiscales al mecenazgo.
Dos. La duración del programa de apoyo a este acontecimiento abarcará desde el 1 de enero de 2012 a 31 de diciembre de 2012.
Tres. La certificación de la adecuación de los gastos realizados a los objetivos y planes del programa se efectuará en conformidad a lo dispuesto en la citada Ley 49/2002.
Cuatro. Las actuaciones a realizar serán las que aseguren el adecuado desarrollo del acontecimiento. El desarrollo y concreción en planes y programas de actividades específicas se realizarán por el órgano competente en conformidad a lo dispuesto en la citada Ley 49/2002.
Cinco. Los beneficios fiscales de este programa serán los máximos establecidos en el artículo 27.3 de la citada Ley 49/2002.
Septuagésima séptima. Puntos de Venta de la Red Comercial de la Sociedad Estatal de Loterías y Apuestas del Estado.
Uno. Los titulares de los puntos de venta que formen parte de la red comercial externa de la Sociedad Estatal de Loterías y Apuestas del Estado que, a 1 de enero de 2012, no se encontrasen sometidos al régimen de Derecho Privado, previsto en el punto 1 de la Disposición Adicional Trigésimo Cuarta de la Ley 26/2009, de Presupuestos Generales del Estado para el año 2010, y en caso de fallecimiento de éstos, sus sucesores podrán optar a dicho régimen, en el plazo de dos meses desde el inicio de la vigencia de la presente Ley, o mantener, respecto a su vinculación con la mencionada Sociedad Estatal, la naturaleza y régimen jurídico actual, de carácter administrativo, sin modificación alguna del mismo hasta el fallecimiento, jubilación, renuncia o cese del titular.
Dos. La referencia hecha en la Disposición Transitoria Cuarta de la Ley 13/2011, de 27 de mayo, de regulación del juego, a la Disposición Adicional Trigésimo Cuarta de la Ley 26/2009, de 26 de diciembre, de Presupuestos Generales del Estado para el 2010, deberá entenderse hecha a la Disposición Adicional Septuagésima Séptima de la presente Ley.
Septuagésima octava. Beneficios fiscales aplicables a la celebración del «Año Santo Jubilar Mariano 2012-2013 en Almonte (Huelva)».
1. La celebración del «Año Santo Jubilar Mariano 2012-2013 en Almonte (Huelva)» tendrá la consideración de acontecimiento de excepcional interés público a los efectos de lo dispuesto en el artículo 27 de la Ley 49/2002, de 23 de diciembre, de régimen fiscal de las entidades sin fines lucrativos y de los incentivos fiscales al mecenazgo.
2. La duración del programa de apoyo a este acontecimiento abarcará desde 1 de enero de 2012 a 31 de diciembre de 2013.
La certificación de la adecuación de los gastos realizados a los objetivos y planes del programa se efectuará en conformidad a lo dispuesto en la citada Ley 49/2002.
3. Las actuaciones a realizar serán las que aseguren el adecuado desarrollo del acontecimiento. El desarrollo y concreción en planes y programas de actividades específicas se realizará por el órgano competente en conformidad a lo dispuesto en la citada Ley 49/2002.
Los beneficios fiscales de este programa serán los máximos establecidos en el artículo 27.3 de la citada Ley 49/2002.
Septuagésima novena. Creación de la Agencia Estatal de Investigación.
El Gobierno estudiará de acuerdo con las disponibilidades presupuestarias, la viabilidad de la creación de la Agencia Estatal de Investigación.
Octogésima. Beneficios fiscales aplicables a la celebración de «2014 Año Internacional de la Dieta Mediterránea».
Uno. La celebración de «2014 Año Internacional de la Dieta Mediterránea» tendrá la consideración de acontecimiento de excepcional interés público a los efectos de lo dispuesto en el artículo 27 de la Ley 49/2002, de 23 de diciembre, de régimen fiscal de las entidades sin fines lucrativos y de los incentivos fiscales al mecenazgo.
Dos. La duración del programa de apoyo a este acontecimiento abarcará desde 1 de enero de 2012 a 31 de diciembre de 2014.
Tres. La certificación de la adecuación de los gastos realizados a los objetivos y planes del programa se efectuará en conformidad a lo dispuesto en la citada Ley 49/2002.
Cuatro. Las actuaciones a realizar serán las que aseguren el adecuado desarrollo del acontecimiento. El desarrollo y concreción en planes y programas de actividades específicas se realizará por el órgano competente en conformidad a lo dispuesto en la citada Ley 49/2002.
Cinco. Los beneficios fiscales de este programa serán los máximos establecidos en el artículo 27.3 de la citada Ley 49/2002.
Octogésima primera. Bonificaciones aplicables a prestaciones patrimoniales de carácter público en Aeropuertos de Illes Balears.
(…) [18]
El Gobierno promoverá en el Comité Técnico Permanente de Evaluación previsto en la disposición adicional séptima de la Ley 22/2009, de 18 de diciembre, el análisis de la situación relativa a la financiación autonómica de las ciudades con Estatuto de Autonomía de Ceuta y Melilla.
Octogésima tercera. Bonificaciones aplicables a prestaciones patrimoniales de carácter público en Aeropuertos de las Islas Canarias.
Con efectos desde la entrada en vigor de esta Ley y con carácter indefinido, los obligados al pago por los supuestos definidos en el artículo 68.2 letras a) y e) de la Ley 21/2003, tendrán derecho a una subvención del 50% del importe devengado por tales prestaciones patrimoniales, por los vuelos realizados en los aeropuertos de las Islas Canarias –con excepción de los vuelos interinsulares– los días de la semana que se reflejan en el siguiente cuadro, siempre y cuando el beneficiario de la subvención mantenga el número de operaciones ya programadas para los restantes días de la semana, en la fecha límite establecida por la industria para la devolución de slots de la temporada de invierno (31 de agosto) o de verano (31 de enero) correspondiente.
|
Aeropuerto |
Día de la semana |
|
Gran Canaria. |
Martes. |
|
Tenerife Sur. |
Jueves. |
|
Lanzarote. |
Miércoles. |
|
Fuerteventura. |
Martes y Viernes. |
|
Tenerife Norte. |
Sábado. |
|
La Palma. |
Todos los días. |
El disfrute de la presente subvención excluirá la aplicación de las bonificaciones para las prestaciones patrimoniales de aterrizaje y salida de pasajeros contempladas en los artículos 75.7 y 78.3 de la Ley 21/2003.
La subvención deberá solicitarse durante el mes de enero por las operaciones del año anterior, y se satisfará por Aena Aeropuertos S.A. compensando su importe con cualesquiera cantidades que le adeuden los beneficiarios y, no siendo ello posible en todo o en parte, mediante su abono en dinero antes del 31 de mayo.
La Ley de Presupuestos Generales del Estado de cada año podrá actualizar los términos de esta subvención.
Primera. Indemnización por residencia del personal al servicio del sector público estatal.
Durante el año 2012, la indemnización por residencia del personal en activo del sector público estatal continuará devengándose en las áreas del territorio nacional que la tienen reconocida, en las mismas cuantías vigentes a 31 de diciembre de 2011.
No obstante, quienes vinieran percibiendo la indemnización por residencia en cuantías superiores a las establecidas para el personal del sector público estatal continuarán devengándola sin incremento alguno en el año 2012.
Segunda. Complementos personales y transitorios.
Uno. Los complementos personales y transitorios y demás retribuciones que tengan análogo carácter, se regirán por su normativa específica y por lo dispuesto en esta Ley.
Dos. Los complementos personales y transitorios reconocidos en cumplimiento de lo dispuesto en el artículo 13 de la Ley 50/1984, de 30 de diciembre, de Presupuestos Generales del Estado para 1985, al personal incluido en el ámbito de aplicación de la Ley 30/1984, de 2 de agosto, se mantendrán en las mismas cuantías que a 31 de diciembre de 2011 siendo absorbidos por las mejoras que puedan derivarse del cambio de puesto de trabajo.
Incluso en el caso de que el cambio de puesto de trabajo determine una disminución de retribuciones, se mantendrá el complemento personal transitorio fijado al producirse la aplicación del nuevo sistema, a cuya absorción se imputarán las mejoras que puedan derivarse del cambio de puesto de trabajo.
En ningún caso se considerarán los trienios, el complemento de productividad, ni las gratificaciones por servicios extraordinarios.
Tres. Los complementos personales y transitorios reconocidos al personal de las Fuerzas Armadas y de los cuerpos de la Guardia Civil y Nacional de Policía, así como al personal funcionario de la Administración de la Seguridad Social y al estatutario del Instituto Nacional de Gestión Sanitaria, y restante personal con derecho a percibir dichos complementos, se regirán por las mismas normas establecidas en el apartado Dos anterior.
Cuatro. Los complementos personales y transitorios reconocidos al personal destinado en el extranjero se absorberán aplicando las mismas normas establecidas para el que preste servicios en territorio nacional, sin perjuicio de su supresión cuando el funcionario afectado cambie de país de destino.
Tercera. Contratación de inversiones por parte de las entidades públicas empresariales y sociedades mercantiles estatales.
Las entidades públicas empresariales y las sociedades mercantiles estatales a que se refiere la disposición adicional cuadragésima primera que a 30 de junio de 2012 excedan los límites fijados en la citada disposición someterán a la aprobación del Ministerio de Hacienda y Administraciones Públicas, antes del 30 de septiembre de 2012, de una propuesta de reestructuración que permita el diferimiento de los límites contraídos.
Cuarta. Compensación fiscal por deducción en adquisición de vivienda habitual en 2011.
Uno. Tendrán derecho a la deducción regulada en esta disposición los contribuyentes que hubieran adquirido su vivienda habitual con anterioridad a 20 de enero de 2006 utilizando financiación ajena y puedan aplicar en 2011 la deducción por inversión en vivienda habitual prevista en el artículo 68.1 de la Ley 35/2006, de 28 de noviembre, del Impuesto sobre la Renta de las Personas Físicas y de modificación parcial de las leyes de los Impuestos sobre Sociedades, sobre la Renta de no Residentes y sobre el Patrimonio, al constituir su residencia habitual.
Dos. La cuantía de esta deducción será la suma de las deducciones correspondientes a la parte estatal y al tramo autonómico de la deducción por inversión en vivienda habitual, calculadas con arreglo a lo dispuesto en los apartados siguientes.
Tres. La deducción correspondiente a la parte estatal de la deducción por inversión en vivienda habitual será la diferencia positiva entre el importe del incentivo teórico que hubiera correspondido al contribuyente de mantenerse la normativa vigente a 31 de diciembre de 2006 y la deducción por inversión en vivienda habitual prevista en el artículo 68.1 de la Ley del Impuesto que proceda para 2011.
El importe del incentivo teórico será el resultado de aplicar a los primeros 4.507,59 euros invertidos en 2011 en la adquisición de la vivienda habitual el porcentaje del 10 por ciento, y al exceso hasta 9.015 euros, el 7,5 por ciento.
Cuatro. La deducción correspondiente al tramo autonómico de la deducción por inversión en vivienda habitual será la diferencia positiva entre el importe del incentivo teórico que hubiera correspondido al contribuyente de mantenerse la normativa vigente a 31 de diciembre de 2006 y el tramo autonómico de deducción por inversión en vivienda que proceda para 2011.
El importe del incentivo teórico será el resultado de aplicar a los primeros 4.507,59 euros invertidos en 2011 en la adquisición de la vivienda, el porcentaje incrementado de deducción que con arreglo a lo dispuesto en el 79 del texto refundido de la Ley del Impuesto sobre la Renta de las Personas Físicas, aprobado por el Real Decreto Legislativo 3/2004, de 5 de marzo, en su normativa vigente a 31 de diciembre de 2006, resultaba de aplicación en esa Comunidad Autónoma una vez trascurridos dos años desde la adquisición de la vivienda habitual con financiación ajena, incrementado en 3,4 puntos porcentuales, y al exceso hasta 9.015 euros, el porcentaje de deducción que con arreglo a lo dispuesto en el artículo 79 del citado texto refundido, en su normativa vigente a 31 de diciembre de 2006, resultaba de aplicación en esa Comunidad Autónoma para los supuestos de no utilización de financiación ajena, incrementado en 2,55 puntos porcentuales.
A estos efectos, el tramo autonómico de la deducción por inversión en vivienda no podrá ser inferior al que resultaría de aplicar el porcentaje de deducción que, con arreglo a lo dispuesto en el artículo 79 del citado texto refundido, en su normativa vigente a 31 de diciembre de 2006, resultaba de aplicación en esa Comunidad Autónoma para los supuestos de no utilización de financiación ajena, incrementado en 2,55 puntos porcentuales.
Cinco. Se entenderá que el contribuyente ha adquirido su vivienda habitual utilizando financiación ajena cuando cumpla los requisitos establecidos en el artículo 55 del Reglamento del Impuesto sobre la Renta de las Personas Físicas, aprobado por el Real Decreto 1775/2004, de 30 de julio, según redacción vigente a 31 de diciembre de 2006.
Seis. La cuantía de la deducción así calculada se restará de la cuota líquida total, después de la deducción por obtención de rendimientos del trabajo o de actividades económicas a que se refiere el artículo 80 bis de la Ley 35/2006.
Quinta. Compensación fiscal por percepción de determinados rendimientos del capital mobiliario con período de generación superior a dos años en 2011.
Uno. Tendrán derecho a la deducción regulada en esta disposición los contribuyentes que en el período impositivo 2011 integren en la base imponible del ahorro cualquiera de los siguientes rendimientos del capital mobiliario:
a) Rendimientos obtenidos por la cesión a terceros de capitales propios a que se refiere el artículo 25.2 de la Ley 35/2006, de 28 de noviembre, del Impuesto sobre la Renta de las Personas Físicas y de modificación parcial de las leyes de los Impuestos sobre Sociedades, sobre la Renta de no Residentes y sobre el Patrimonio, procedentes de instrumentos financieros contratados con anterioridad a 20 de enero de 2006 y a los que les hubiera resultado de aplicación el porcentaje de reducción del 40 por ciento previsto en el artículo 24.2.a) del texto refundido de la Ley del Impuesto sobre la Renta de las Personas Físicas, aprobado por el Real Decreto Legislativo 3/2004, de 5 de marzo, por tener un período de generación superior a dos años.
b) Rendimientos derivados de percepciones en forma de capital diferido a que se refiere el artículo 25.3.a).1.º de la Ley 35/2006 procedentes de seguros de vida o invalidez contratados con anterioridad a 20 de enero de 2006 y a los que les hubiera resultado de aplicación los porcentajes de reducción del 40 ó 75 por ciento previstos en los artículos 24.2.b) y 94 del texto refundido de la Ley del Impuesto sobre la Renta de las Personas Físicas.
Dos. La cuantía de esta deducción será la diferencia positiva entre la cantidad resultante de aplicar los tipos de gravamen del ahorro previstos en el apartado 2 del artículo 66 de la Ley 35/2006 al saldo positivo resultante de integrar y compensar entre sí el importe total de los rendimientos netos previstos en el apartado anterior, y el importe teórico de la cuota íntegra que hubiera resultado de haber integrado dichos rendimientos en la base liquidable general con aplicación de los porcentajes indicados en el apartado anterior.
Tres. El importe teórico de la cuota íntegra a que se refiere el apartado anterior será el siguiente:
a) Cuando el saldo resultante de integrar y compensar entre sí los rendimientos a que se refiere el apartado uno anterior, aplicando los porcentajes de reducción previstos en los artículos 24.2, 94 y disposición transitoria sexta del texto refundido de la Ley del Impuesto sobre la Renta de las Personas Físicas en su redacción vigente a 31 de diciembre de 2006, sea cero o negativo, el importe teórico de la cuota íntegra será cero.
b) Cuando el saldo resultante de integrar y compensar entre sí los rendimientos previstos en el apartado uno anterior, aplicando los porcentajes de reducción previstos en los artículos 24.2, 94 y disposición transitoria sexta del texto refundido de la Ley del Impuesto sobre la Renta de las Personas Físicas en su redacción vigente a 31 de diciembre de 2006, sea positivo, el importe teórico de la cuota íntegra será la diferencia positiva entre la cuota resultante de aplicar a la suma de la base liquidable general y del saldo positivo anteriormente señalado lo dispuesto en los artículos 63.1.1.º y 74.1.1.º de la Ley 35/2006, y la cuota correspondiente de aplicar lo señalado en dichos artículos a la base liquidable general.
Cuatro. Para la determinación del saldo a que se refiere el apartado tres anterior, solamente se aplicarán las reducciones previstas en los artículos 24.2.b) y 94 del texto refundido de la Ley del Impuesto a la parte del rendimiento neto que corresponda a primas satisfechas hasta el 19 de enero de 2006, y las posteriores cuando se trate de primas ordinarias previstas en la póliza original del contrato de seguro.
A efectos de determinar la parte del rendimiento total obtenido que corresponde a cada prima del contrato de seguro de capital diferido, se multiplicará dicho rendimiento total por el coeficiente de ponderación que resulte del siguiente cociente:
En el numerador, el resultado de multiplicar la prima correspondiente por el número de años transcurridos desde que fue satisfecha hasta el cobro de la percepción.
En el denominador, la suma de los productos resultantes de multiplicar cada prima por el número de años transcurridos desde que fue satisfecha hasta el cobro de la percepción.
Cinco. La entidad aseguradora comunicará al contribuyente el importe de los rendimientos netos derivados de percepciones en forma de capital diferido procedentes de seguros de vida e invalidez correspondientes a cada prima, calculados según lo dispuesto en el apartado anterior y con la aplicación de los porcentajes de reducción previstos en los artículos 24.2, 94 y disposición transitoria sexta del texto refundido de la Ley del Impuesto sobre la Renta de las Personas Físicas.
Seis. La cuantía de la deducción así calculada se restará de la cuota líquida total, después de la deducción por obtención de rendimientos del trabajo o de actividades económicas a que se refiere el artículo 80 bis de la Ley 35/2006.
Sexta. Obligaciones pendientes de abono de las asignaciones financieras a favor de la ONCE del ejercicio 2011.
La Sociedad Estatal Loterías y Apuestas del Estado asumirá las obligaciones pendientes de abono de las asignaciones financieras del ejercicio 2011, correspondiente al resultado negativo del ejercicio 2010, a favor de la Organización Nacional de Ciegos Españoles (ONCE) que se deriven de la disposición adicional decimoctava de la Ley 47/2003, de 26 de noviembre, General Presupuestaria, modificada por la disposición final primera del Real Decreto-ley 18/2011, de 18 de noviembre.
Séptima. Vigencia de disposiciones reglamentarias.
Durante 2012 se mantienen vigentes las normas contenidas en las disposiciones de desarrollo, dictadas en materia de pensiones y prestaciones públicas de la Ley 39/2010, de 22 de diciembre, de Presupuestos Generales del Estado para 2011, en todo aquello que no se opongan a lo establecido en el título IV y disposiciones concordantes de esta Ley.
Octava. Normas transitorias en materia de bonificaciones al transporte marítimo y aéreo.
(…) [19]
Primera. Derogación del artículo 62 de la Ley 55/1999, de 29 de diciembre, de medidas fiscales, administrativas y del orden social.
Se deroga el artículo 62 de la Ley 55/1999, de 29 de diciembre, de medidas fiscales, administrativas y del orden social.
Segunda. Derogación de la compensación por el extracoste de generación de energía eléctrica insular y extrapeninsular.
Queda derogada la disposición adicional quinta «Compensaciones por los extracostes de generación de los Sistemas Eléctricos Insulares y Extrapeninsulares» del Real Decreto-ley 20/2011, de 30 de diciembre, de medidas urgentes en materia presupuestaria, tributaria y financiera para la corrección del déficit público.
Tercera. Derogación del artículo 9 de la Ley 24/2001, de 27 de diciembre.
Con efectos desde el 1 de enero de 2013 queda derogado el artículo 9 de la Ley 24/2001, de 27 de diciembre, de Medidas Fiscales, Administrativas y del Orden Social.
Quedan derogadas cuantas disposiciones se opongan a lo previsto en la presente Ley.
Primera. Modificación del texto refundido de las Leyes 116/1969, de 30 de diciembre, y 24/1972, de 21 de junio, por el que se regula el Régimen Especial de la Seguridad Social de los Trabajadores del Mar, aprobado por Decreto 2864/1974, de 30 de agosto.
Con efectos a partir de la entrada en vigor de esta Ley y vigencia indefinida, se modifica el artículo 9 del texto refundido de las Leyes 116/1969, de 30 diciembre, y 24/1972, de 21 de junio, por el que se regula el Régimen Especial de la Seguridad Social de los Trabajadores del Mar, aprobado por Decreto 2864/1974, de 30 de agosto, que queda redactado en los siguientes términos:
«Artículo 9. La justificación de haber sido inscrita la embarcación en el Registro constituirá requisito necesario para que las autoridades marítimas autoricen su despacho para salir a la mar.»
Segunda. Modificación del texto refundido de la Ley de Clases Pasivas del Estado, aprobado por Real Decreto Legislativo 670/1987, de 30 de abril.
Con efectos a partir de la entrada en vigor de esta Ley y vigencia indefinida, se modifica el texto refundido de la Ley de Clases Pasivas del Estado, aprobado por Real Decreto Legislativo 670/1987, de 30 de abril, en los siguientes términos:
Se incluye una nueva disposición adicional, la decimotercera, al texto refundido de la Ley de Clases Pasivas del Estado, con la siguiente redacción:
«Disposición adicional decimotercera.
A efectos de la extinción de las pensiones a favor de familiares del Régimen de Clases Pasivas del Estado reconocidas al amparo de la legislación vigente a 31 de diciembre de 1984, así como a las reconocidas en aplicación de la legislación especial de guerra, se equipara al matrimonio la constitución de una pareja de hecho en los términos que establece el artículo 38.4 del presente texto refundido.»
Tercera. Modificación del texto refundido de la Ley sobre Seguridad Social de las Fuerzas Armadas, aprobado por Real Decreto-legislativo 1/2000, de 9 de junio.
Con efectos a partir de la entrada en vigor de esta Ley y vigencia indefinida se modifica el apartado 2 del artículo 3 de la Ley sobre Seguridad Social de las Fuerzas Armadas, que queda redactado en los siguientes términos:
«Artículo 3. Campo de aplicación.
…
2. También queda obligatoriamente incluido en el campo de aplicación de este régimen especial de seguridad social:
a) El personal comprendido en alguno de los apartados del número anterior que pase a retiro o jubilación.
b) El personal que tenga reconocida alguna de las pensiones de inutilidad para el servicio previstas en la normativa que desarrolla el artículo 52 bis.2 del Texto Refundido de la Ley de Clases Pasivas del Estado, aprobada por Real Decreto Legislativo 670/1987, de 30 de abril, siempre que no esté obligatoriamente incluido en el campo de aplicación de otro Régimen de Seguridad Social, con ocasión del desempeño de alguna actividad por cuenta propia o ajena.»
El resto del artículo permanece con la misma redacción.
Cuarta. Modificación de la Ley 33/2003, de 3 de noviembre, de Patrimonio de las Administraciones Públicas.
Con efectos a partir de la entrada en vigor de esta Ley y vigencia indefinida se introducen las siguientes modificaciones en la Ley 33/2003, de 3 de noviembre, de Patrimonio de las Administraciones Públicas:
Uno. El artículo 48 queda redactado en los siguientes términos:
«Artículo 48. Premio por denuncia.
1. A las personas que, sin venir obligadas a ello por razón de su cargo o funciones promuevan el procedimiento de investigación denunciando, con los requisitos reglamentariamente establecidos, la existencia de bienes y derechos que presumiblemente sean de titularidad pública, se les abonará como premio el diez por ciento del valor de los bienes o derechos denunciados, siempre que el procedimiento concluya con su incorporación al Patrimonio del Estado y esta incorporación no sea revocada posteriormente.
2. La resolución que ponga fin al procedimiento de investigación se pronunciará sobre si la denuncia reúne los requisitos subjetivos y objetivos necesarios para la percepción del premio.
3. El premio se devengará una vez se hayan vendido los bienes investigados, calculándose sobre el importe líquido obtenido por su venta.
4. Si los bienes no se hubieran vendido, el denunciante podrá reclamar el abono del premio una vez transcurrido un plazo de cinco años desde la incorporación de los bienes siempre que no se encuentre pendiente un procedimiento administrativo o judicial del que pueda derivarse la revocación de la titularidad sobre el inmueble incorporado. En este supuesto, el importe del premio se calculará tomando como base el valor catastral de los bienes o derechos.»
Dos. Se añade un nuevo apartado 6 en el artículo 112, con el siguiente tenor:
«6. Los expedientes de enajenación, permuta o cesión gratuita de bienes del Patrimonio del Estado podrán tramitarse aún cuando los bienes se mantengan afectados a un uso o a un servicio público durante la instrucción del mismo, siempre que se proceda a su desafectación antes de dictar la resolución o acto aprobatorio de la correspondiente operación patrimonial.»
Tres. El apartado 4 del artículo 116 quedará redactado como sigue:
«4. La adquisición podrá realizarse mediante concurso público o mediante el procedimiento de licitación restringida regulado en el apartado 4 de la disposición adicional decimoquinta, salvo que se acuerde la adquisición directa por las peculiaridades de la necesidad a satisfacer, las condiciones del mercado inmobiliario, la urgencia de la adquisición resultante de acontecimientos imprevisibles, o la especial idoneidad del bien.
Igualmente, se podrá acordar la adquisición directa en los siguientes supuestos:
a) Cuando el vendedor sea otra Administración pública o, en general, cualquier persona jurídica de derecho público o privado perteneciente al sector público.
A estos efectos, se entenderá por persona jurídica de Derecho privado perteneciente al sector público la sociedad mercantil en cuyo capital sea mayoritaria la participación directa o indirecta de una o varias Administraciones públicas o personas jurídicas de Derecho público.
b) Cuando fuera declarado desierto el concurso promovido para la adquisición.
c) Cuando se adquiera a un copropietario una cuota de un bien, en caso de condominio.
d) Cuando la adquisición se efectúe en virtud del ejercicio de un derecho de adquisición preferente.»
Cuatro. El apartado 1 del artículo 124 quedará redactado como sigue:
«1. Los arrendamientos se concertarán mediante concurso público o mediante el procedimiento de licitación restringida regulado en el apartado 4 de la disposición adicional decimoquinta, salvo que, de forma justificada y por las peculiaridades de la necesidad a satisfacer, las condiciones del mercado inmobiliario, la urgencia de la contratación debida a acontecimientos imprevisibles, o la especial idoneidad del bien, se considere necesario o conveniente concertarlos de modo directo.»
Cinco. Se modifica el artículo 137, que quedará redactado como sigue:
«Artículo 137. Formas de enajenación.
1. La enajenación de los inmuebles podrá realizarse mediante subasta, concurso o adjudicación directa.
2. La subasta podrá celebrarse al alza o a la baja, y, en su caso, con presentación de posturas en sobre cerrado; podrá acudirse igualmente a sistemas de subasta electrónica. La modalidad de la subasta se determinará atendiendo a las circunstancias de la enajenación, y la adjudicación se efectuará a favor de quien presente la oferta económica más ventajosa.
En el caso de que la adjudicación resultase fallida por no poder formalizarse el contrato por causa imputable al adjudicatario, podrá realizarse la enajenación a favor del licitador que hubiese presentado la siguiente oferta más ventajosa o procederse a la enajenación directa del bien.
3. Se seguirá el procedimiento de concurso respecto de aquéllos bienes que hayan sido expresamente calificados como adecuados para ser enajenados tomando en consideración criterios que, por su conexión con las directrices de políticas públicas específicas, puedan determinar que la venta coadyuve sustantivamente a su implementación. A estos efectos, el Consejo de Ministros, a propuesta del Departamento responsable de la política pública considerada, identificará los bienes que deben ser enajenados mediante este procedimiento y fijará los criterios que deben tomarse en cuenta en el concurso y su ponderación.
4. Se podrá acordar la adjudicación directa en los siguientes supuestos:
a) Cuando el adquirente sea otra Administración pública o, en general, cualquier persona jurídica de derecho público o privado perteneciente al sector público.
A estos efectos, se entenderá por persona jurídica de derecho privado perteneciente al sector público la sociedad mercantil en cuyo capital sea mayoritaria la participación directa o indirecta de una o varias Administraciones públicas o personas jurídicas de Derecho público.
b) Cuando el adquirente sea una entidad sin ánimo de lucro, declarada de utilidad pública, o una iglesia, confesión o comunidad religiosa legalmente reconocida.
c) Cuando el inmueble resulte necesario para dar cumplimiento a una función de servicio público o a la realización de un fin de interés general por persona distinta de las previstas en los párrafos a) y b).
d) Cuando fuera declarada desierta la subasta o concurso promovidos para la enajenación o éstos resultasen fallidos como consecuencia del incumplimiento de sus obligaciones por parte del adjudicatario, siempre que no hubiese transcurrido más de un año desde la celebración de los mismos. En este caso, las condiciones de la enajenación no podrán ser inferiores de las anunciadas previamente o de aquellas en que se hubiese producido la adjudicación.
e) Cuando se trate de solares que por su forma o pequeña extensión resulten inedificables y la venta se realice a un propietario colindante.
f) Cuando se trate de fincas rústicas que no lleguen a constituir una superficie económicamente explotable o no sean susceptibles de prestar una utilidad acorde con su naturaleza, y la venta se efectúe a un propietario colindante.
g) Cuando la titularidad del bien o derecho corresponda a dos o más propietarios y la venta se efectúe a favor de uno o más copropietarios.
h) Cuando la venta se efectúe a favor de quien ostente un derecho de adquisición preferente reconocido por disposición legal.
i) Cuando por razones excepcionales se considere conveniente efectuar la venta a favor del ocupante del inmueble.
5. Cuando varios interesados se encontraran en un mismo supuesto de adjudicación directa, se resolverá la misma atendiendo al interés general concurrente en el caso concreto.
6. La participación en procedimientos de adjudicación requerirá el ingreso de un 25 por ciento del precio de venta en concepto de fianza.»
Seis. Se añade un nuevo apartado 11 a la disposición adicional décima del siguiente tenor:
«11. Las resoluciones por las que se aprueben las tarifas, a las que se refiere el apartado 4 anterior, serán objeto de publicación en el ''Boletín Oficial del Estado'', cuando las tarifas aprobadas resulten aplicables a encomiendas que puedan ser atribuidas por distintos órganos, organismos o entidades del sector público estatal, o cuando por su relevancia así lo estime necesario la autoridad que aprueba las tarifas.»
Siete. Se añade un nuevo apartado 4 en la disposición adicional decimoquinta, con el siguiente tenor:
«4. La adquisición y el arrendamiento de inmuebles podrán efectuarse mediante una licitación competitiva entre operadores preseleccionados, mediante un procedimiento basado en la formación de una bolsa permanente de ofertas y la realización de procesos restringidos de selección entre las incorporadas al sistema. La articulación del sistema y la selección de ofertas en el seno del mismo se regirán por las siguientes normas:
a) La implementación del sistema se acordará por Orden del Ministro de Hacienda y Administraciones Públicas en la que se especificarán el tipo de operaciones patrimoniales a que se refiere; las condiciones particulares de las mismas, de ser procedente; la duración del sistema, que podrá ser indefinida; y las características y condiciones técnicas, urbanísticas y jurídicas de los inmuebles susceptibles de incorporarse al sistema y su ubicación.
b) La Orden se publicará en el ''Boletín Oficial del Estado'' y en la sede electrónica del Ministerio de Hacienda y Administraciones Públicas, sin perjuicio de la posibilidad de utilizar otros medios de difusión, facilitándose en el anuncio toda la información necesaria para incorporarse al sistema. El sistema se articulará por medios electrónicos, accediendo al mismo a través de la sede electrónica del Ministerio de Hacienda y Administraciones Públicas, y en la Orden Ministerial se facilitarán los datos relativos al equipo electrónico utilizado y las especificaciones técnicas de conexión, así como los programas y aplicaciones necesarios para hacer uso del sistema, que serán de descarga gratuita.
c) Durante la vigencia del sistema, y a efectos de ser incluido en él, todo interesado podrá presentar ofertas indicativas. Sólo se admitirá una oferta por cada inmueble o parte del mismo susceptible de aprovechamiento independiente y la presentación deberá hacerse por quien tenga su disponibilidad y capacidad jurídica suficiente para concluir el negocio de que se trate. El sistema deberá garantizar la confidencialidad de las ofertas presentadas.
La participación en el sistema de licitación restringida será gratuita para los interesados.
d) Las ofertas indicativas serán evaluadas, a efectos de comprobar su conformidad con las bases del sistema, en un plazo máximo de quince días a partir de su presentación, comunicándose al interesado la admisión o el rechazo de la misma.
e) Las ofertas indicativas podrán modificarse, siempre que sigan siendo conformes a las especificaciones requeridas, o retirarse en cualquier momento, sin penalización.
Cada adquisición o arrendamiento que se pretenda adjudicar será objeto de una licitación específica dentro del sistema. A estos efectos, deberán definirse las características concretas del inmueble que se pretende adquirir, las condiciones especiales del contrato, en su caso, el precio máximo considerado admisible, y los criterios que se aplicarán en la valoración de las ofertas.
f) Todos los interesados admitidos en el sistema y cuyas ofertas indicativas respondan a los requerimientos definidos para la licitación serán invitados a presentar una oferta para el contrato específico de adquisición o arrendamiento que se pretenda adjudicar, a cuyo efecto se les concederá un plazo de cinco días, con indicación de los criterios que se tomarán en cuenta para la adjudicación y su ponderación.
g) En todo lo no previsto específicamente, se aplicarán las normas que regulan la celebración de concursos para la adquisición y arrendamiento de inmuebles, salvo lo establecido en cuanto la apertura pública de las ofertas.»
Quinta. Modificación de la Ley 47/2003, de 26 de noviembre, General Presupuestaria.
Con efectos a partir de la entrada en vigor de esta Ley y con vigencia indefinida se modifica la Ley 47/2003, de 26 de noviembre, General Presupuestaria, de la siguiente forma:
Uno. Se modifica el apartado 1 del artículo 26 de la Ley 47/2003, de 26 de noviembre, General Presupuestaria, que queda redactado como sigue:
«Artículo 26. Principios y reglas de programación presupuestaria.
1. La programación presupuestaria se regirá por los principios de estabilidad presupuestaria, sostenibilidad financiera, plurianualidad, transparencia, eficiencia en la asignación y utilización de los recursos públicos, responsabilidad y lealtad institucional, conforme a lo dispuesto en la Ley Orgánica 2/2012, de 27 de abril, de Estabilidad Presupuestaria y Sostenibilidad Financiera.»
Dos. Se modifica el apartado 2 del artículo 28 de la Ley General Presupuestaria, que queda redactado en los siguientes términos:
«Artículo 28. Escenarios presupuestarios plurianuales y objetivo de estabilidad.
2. Los escenarios presupuestarios plurianuales se ajustarán al objetivo de estabilidad presupuestaria correspondiente al Estado y a la Seguridad Social de conformidad con lo establecido en el artículo 15 de la Ley Orgánica 2/2012, de 27 de abril, de Estabilidad Presupuestaria y Sostenibilidad Financiera.»
Tres. Se modifica el apartado 1 del artículo 36 de la Ley General Presupuestaria, que queda redactado como sigue:
«Artículo 36. Procedimiento de elaboración.
1. La fijación anual del límite de gasto no financiero que debe respetar el presupuesto del Estado se efectuará con la extensión y de la forma prevista en el artículo 30 de la Ley Orgánica 2/2012, de 27 de abril, de Estabilidad Presupuestaria y Sostenibilidad Financiera.»
Cuatro. Con efectos a partir de la entrada en vigor de esta ley y vigencia indefinida, se modifica el apartado c) del punto 1 del artículo 40 de la Ley General Presupuestaria, que queda redactado en los siguientes términos:
«Artículo 40. Estructura de los estados de gastos de los Presupuestos Generales del Estado.
c) La clasificación económica, que agrupará los créditos por capítulos separando las operaciones corrientes, las de capital, las financieras y el Fondo de Contingencia de ejecución presupuestaria.
En los créditos para operaciones corrientes se distinguirán los gastos de personal, los gastos corrientes en bienes y servicios, los gastos financieros y las transferencias corrientes.
En los créditos para operaciones de capital se distinguirán las inversiones reales y las transferencias de capital.
El Fondo de Contingencia recogerá la dotación para atender necesidades imprevistas en la forma establecida en el artículo 50 de esta Ley.
En los créditos para operaciones financieras se distinguirán las de activos financieros y las de pasivos financieros.
Los capítulos se desglosarán en artículos y estos, a su vez, en conceptos que podrán dividirse en subconceptos.»
Cinco. Se modifica el apartado 3 del artículo 53 de la Ley General Presupuestaria, que queda redactado en los siguientes términos:
«3. La generación sólo podrá realizarse cuando se hayan efectuado los correspondientes ingresos que la justifican. No obstante, en el caso de los organismos autónomos y de la Seguridad Social, la generación como consecuencia del supuesto previsto en el párrafo a) del apartado anterior podrá realizarse una vez efectuado el reconocimiento del derecho por el organismo o entidad correspondiente, o cuando exista un compromiso firme de aportación, siempre que el ingreso se prevea realizar en el propio ejercicio.»
El resto de apartados permanece con la misma redacción.
Seis. Se modifica la letra a) del apartado 2 del artículo 54 de la Ley General Presupuestaria, que queda redactada en los siguientes términos:
«a) Los destinados al pago de pensiones de todo tipo; prestaciones por incapacidad temporal; protección a la familia; maternidad, paternidad y riesgos durante el embarazo y la lactancia natural; cuidado de menores afectados por cáncer u otra enfermedad grave; así como las entregas únicas, siempre que se encuentren legal o reglamentariamente establecidas y sea obligatorio y no graciable su pago por parte de la Seguridad Social y su cuantía esté objetivamente determinada.»
Siete. Se modifica el último párrafo del apartado 3 y el apartado 4 del artículo 54 de la Ley General Presupuestaria, que quedan redactados como sigue:
«La financiación de las ampliaciones de crédito en el Presupuesto de las Entidades de la Seguridad Social podrá realizarse con cargo a la parte del remanente de tesorería al fin del ejercicio anterior que no haya sido aplicada en el presupuesto, con mayores ingresos sobre los previstos inicialmente o con baja en otros créditos del presupuesto. Si los ingresos proceden de aportaciones del Estado mayores a las inicialmente previstas en el presupuesto, la ampliación de crédito podrá autorizarse una vez efectuado el reconocimiento del derecho por parte de la correspondiente entidad.
4. No podrán ampliarse créditos que hayan sido previamente minorados, salvo en el ámbito de las entidades que integran el sistema de la Seguridad Social y en el de la sección 06 "Deuda Pública" siempre que su aprobación no reduzca la capacidad de financiación del Estado en el ejercicio, computada en la forma establecida en el artículo 27 de la Ley Orgánica 2/2012, de 27 de abril, de Estabilidad Presupuestaria y Sostenibilidad Financiera o cuando la minoración resulte de un traspaso de competencias a las Comunidades Autónomas.»
El resto de apartados permanece con la misma redacción.
Ocho. Se modifica el primer párrafo del apartado 2 del artículo 57 de la Ley General Presupuestaria, que queda redactado en los siguientes términos:
«2. La financiación de los créditos extraordinarios o suplementarios únicamente podrá realizarse con cargo a la parte del remanente de tesorería al fin del ejercicio anterior que no haya sido aplicada en el presupuesto de la entidad o con mayores ingresos sobre los previstos inicialmente. Si los ingresos proceden de aportaciones del Estado mayores a las inicialmente previstas en el presupuesto, el suplemento de crédito o crédito extraordinario podrá autorizarse una vez efectuado el reconocimiento del derecho por parte de la correspondiente entidad.»
El resto de apartados permanece con la misma redacción.
Nueve. Se modifica el artículo 59 de la Ley General Presupuestaria, que queda redactado como sigue:
«Artículo 59. Exclusión de la aplicación de determinadas modificaciones al Fondo de Contingencia.
A las modificaciones relativas al pago de la Deuda Pública, a las que afecten a los créditos destinados a financiar a las comunidades autónomas y entidades locales en aplicación de sus respectivos sistemas de financiación, así como a las que no reduzcan la capacidad de financiación del Estado en el ejercicio, computadas en la forma establecida en el artículo 27 de la Ley Orgánica 2/2012, de 27 de abril, de Estabilidad Presupuestaria y Sostenibilidad Financiera, no les será de aplicación lo establecido en el artículo 50 de la presente Ley, con excepción de los créditos extraordinarios y suplementos de crédito a que se refiere el artículo 58.c) anterior.»
Diez. Se da nueva redacción al apartado 2 y se añade un apartado 3 al artículo 67 de la Ley 47/2003, de 26 de noviembre, General Presupuestaria, que quedan redactados como sigue:
«2. Cuando alguna de las entidades citadas en el apartado anterior reciba con cargo a los Presupuestos Generales del Estado subvenciones de explotación o de capital u otra aportación de cualquier naturaleza, o bien se trate de entidades que se financien mediante ingresos de naturaleza tributaria, mediante ingresos basados en la explotación del dominio público o se trate de entidades en las que al menos el 75 % de su importe neto de cifra de negocios tenga su origen en transacciones con otras entidades del sector público estatal, las autorizaciones para la modificación de sus presupuestos de explotación y capital se ajustarán a lo siguiente:
a) Si la variación afectase a las aportaciones estatales recogidas en los Presupuestos Generales del Estado, la competencia corresponderá a la autoridad que la tuviera atribuida respecto de los correspondientes créditos presupuestarios.
b) Si las variaciones afectasen al volumen de endeudamiento a corto y largo plazo, salvo que se trate de operaciones de crédito que se concierten y se cancelen en el mismo ejercicio presupuestario, de las sociedades mercantiles estatales, de las entidades del sector público empresarial y de las fundaciones del sector público estatal, será competencia, previo informe favorable de la Dirección General del Patrimonio del Estado en el supuesto de que resulte de aplicación lo establecido en el artículo 177 de la Ley 33/2003, de 3 de noviembre, del Patrimonio de las Administraciones Públicas:
– Del Ministerio del que dependan funcionalmente cuando su importe sea superior a los 300.000 euros pero no exceda de la cuantía de 600.000 euros respecto de las cifras aprobadas en su presupuesto de capital,
– Del Ministro de Hacienda y Administraciones Públicas cuando su importe sea superior a 600.000 euros pero no exceda de la cuantía de 12.000.000 euros de las cifras aprobadas en su presupuesto de capital,
– Del Consejo de Ministros cuando su importe exceda de la cuantía de 12.000.000 euros de las cifras aprobadas en su presupuesto de capital.»
«3. La evaluación de la variación del volumen de endeudamiento a corto y largo plazo respecto a lo reflejado en los presupuestos de explotación y de capital se efectuará en términos netos y con relación al fin del ejercicio, sin que con cargo al mismo se computen las variaciones de pasivo circulante derivadas de operaciones de tesorería concertadas con las entidades filiales y empresas en que se participe, directa o indirectamente, de forma mayoritaria.»
Once. Se añade un punto nuevo a la redacción del artículo 86 de la Ley General Presupuestaria, con el siguiente texto:
«3. En el caso de actuaciones cofinanciadas con el Fondo Europeo Agrícola de Desarrollo Rural (FEADER) que cuenten con una programación aprobada por la Unión Europea y cuya ejecución sea competencia de las Comunidades Autónomas, los créditos que figuren en la Ley de Presupuestos Generales del Estado, como aportación de fondos de la Administración General del Estado (AGE) se librarán con la periodicidad con la que se remitan los importes financiados con los anticipos de tesorería a que se refiere el artículo 82.1.a).»
Doce. Se modifica el artículo 108 de la Ley General Presupuestaria, que queda redactado en los siguientes términos:
«Artículo 108. Cuentas del Tesoro Público y operaciones de gestión tesorera.
1. Con carácter general, los ingresos y pagos de la Administración General del Estado, sus organismos autónomos y las agencias estatales, se canalizarán a través de la cuenta o cuentas que se mantengan en el Banco de España, en los términos que se convenga con éste, conforme al artículo 13 de la Ley 13/1994, de 1 de junio, de Autonomía del Banco de España. No obstante, el Ministro de Economía y Competitividad podrá establecer supuestos excepcionales en los que la Secretaría General del Tesoro y Política Financiera podrá autorizar la apertura de cuentas en otras entidades de crédito, en los términos establecidos en el artículo siguiente.
2. Con objeto de facilitar la gestión tesorera, el Ministro de Economía y Competitividad podrá autorizar a la Secretaría General del Tesoro y Política Financiera a realizar operaciones a corto plazo de adquisición temporal de activos o de préstamo. En dicha autorización se concretarán las condiciones en que podrán efectuarse tales operaciones.
Excepcionalmente, y con la misma finalidad, el Ministro de Economía y Competitividad podrá autorizar a la Secretaría General del Tesoro y Política Financiera a realizar operaciones pasivas de préstamo a un plazo no superior a tres meses.
Las operaciones a que se refieren los párrafos anteriores tendrán carácter no presupuestario, salvo los rendimientos o gastos que deriven de las mismas que se aplicarán al presupuesto del Estado.
Las operaciones de adquisición temporal de activos podrán tener por objeto los mismos valores que el Banco de España admita en sus operaciones de política monetaria.
Se autoriza a la Secretaría General del Tesoro y Política Financiera a tramitar la adhesión a mercados secundarios de valores, tales como AIAF Mercado de Renta Fija, siempre que ello resulte necesario a los efectos de poder utilizar valores negociados en los mismos en las operaciones de adquisición temporal de activos.
3. Los activos a que se refiere el apartado anterior, que hubieran sido objeto de garantía a favor del Banco de España, según lo previsto en la disposición adicional sexta de la Ley 13/1994, de 1 de junio, de Autonomía del Banco de España, podrán ser aplicados temporalmente por sus titulares en cobertura de las operaciones de gestión tesorera de la Secretaría General del Tesoro y Política Financiera, instrumentadas a través del Banco de España, en los términos que el Ministro de Economía y Competitividad establezca y siempre que se cumplan las siguientes condiciones:
a) Que el titular de los activos otorgue su consentimiento, el cual podrá prestarse en el contrato o documento de garantía celebrado con el Banco de España.
b) Que existan activos de garantía disponibles, una vez garantizadas adecuadamente las obligaciones frente al Banco de España y a satisfacción de éste.
Los activos citados quedarán sujetos al cumplimiento de las obligaciones frente al Tesoro Público, teniendo esta garantía plenos efectos frente a terceros, sin más formalidad que la de que el Banco de España verifique que existen activos de garantía disponibles para el cumplimiento de cada una de dichas obligaciones. Una vez satisfechas tales obligaciones, los activos quedarán de nuevo afectos en garantía frente al Banco de España.
En caso de incumplimiento de las obligaciones contraídas frente al Tesoro Público, la ejecución de las garantías aplicadas temporalmente se realizará por el Banco de España actuando por cuenta del primero, a través de los procedimientos previstos en la disposición adicional sexta de la Ley 13/1994, de 1 de junio, de Autonomía del Banco de España. A estos efectos, la certificación prevista en la misma deberá ser expedida por la Secretaría General del Tesoro y Política Financiera, debiendo acompañarse igualmente una certificación del Banco de España acreditativa de la afección temporal de los activos de garantía que sean objeto de ejecución.»
Trece. Se modifica el artículo 124 de la Ley 47/2003, que queda redactado en los siguientes términos:
«Artículo 124. Competencias del Ministro de Hacienda y Administraciones Públicas.
Corresponde al Ministro de Hacienda y Administraciones Públicas, a propuesta de la Intervención General de la Administración del Estado:
a) Aprobar el Plan General de Contabilidad Pública y las normas para la formulación de cuentas anuales consolidadas en el ámbito del sector público en los que se recogerán y desarrollarán los principios contables públicos.
b) Determinar los criterios generales de registro de datos, presentación de la información contable, contenido de las cuentas anuales que deben rendirse al Tribunal de Cuentas y los procedimientos de remisión de las mismas regulando, a tales efectos, la utilización de medios electrónicos, informáticos o telemáticos.
c) Determinar el contenido, la estructura, las normas de elaboración y los criterios de consolidación de la Cuenta General del Estado.
d) Establecer la rendición de cuentas anuales consolidadas, respecto de las entidades del sector público estatal.
e) Determinar el contenido del informe previsto en el apartado 3 del artículo 129 de esta Ley.»
Catorce. Se modifica el artículo 130 de la Ley 47/2003, que queda redactado en los siguientes términos:
«Artículo 130. Contenido de la Cuenta General del Estado.
1. La Cuenta General del Estado se formará mediante la consolidación de las cuentas anuales de las entidades que integran el sector público estatal y comprenderá el balance consolidado, la cuenta del resultado económico patrimonial consolidada, el estado de cambios en el patrimonio neto consolidado, el estado de flujos de efectivo consolidado, el estado de liquidación del presupuesto consolidado y la memoria consolidada.
La Cuenta General del Estado deberá suministrar información sobre la situación patrimonial y financiera, el resultado económico patrimonial y la ejecución del presupuesto del sector público estatal.
A la Cuenta General del Estado se acompañará la cuenta de gestión de tributos cedidos a las comunidades autónomas conforme a lo preceptuado en el artículo 60 de la Ley 22/2009, de 18 de diciembre, por la que se regula el sistema de financiación de las Comunidades Autónomas de régimen común y Ciudades con Estatuto de Autonomía y se modifican determinadas normas tributarias.
2. A los efectos de obtener las cuentas consolidadas, el Ministro de Hacienda y Administraciones Públicas podrá determinar la integración de las cuentas anuales de las entidades controladas, directa o indirectamente, por la Administración General del Estado que no forman parte del sector público estatal, las de las entidades multigrupo y las de las entidades asociadas.
En este caso, dichas entidades deberán remitir a la Intervención General de la Administración del Estado sus cuentas anuales aprobadas acompañadas, en su caso, del informe de auditoría dentro de los siete meses siguientes a la terminación del ejercicio económico.
3. A los efectos de lo establecido en el apartado anterior se entiende por control el poder de dirigir las políticas financieras y la actividad de otra entidad con la finalidad de obtener rendimientos económicos o potencial de servicio.
Las entidades multigrupo son entidades no controladas por la Administración General del Estado, gestionadas por dicha Administración General u otra entidad controlada por ella, que participan en su capital social o patrimonio, conjuntamente con otra u otras entidades.
Las entidades asociadas son entidades no controladas por la Administración General del Estado, en las que dicha Administración General u otra entidad controlada por ella ejercen una influencia significativa por tener una participación en su capital social o patrimonio que, creando con ésta una vinculación duradera, esté destinada a contribuir a su actividad.»
Quince. Se modifica el artículo 131 de la Ley General Presupuestaria, que queda redactado en los siguientes términos:
«Artículo 131. Formación y remisión de la Cuenta General del Estado al Tribunal de Cuentas.
1. La Cuenta General del Estado de cada año se formará por la Intervención General de la Administración del Estado y se elevará al Gobierno para su remisión al Tribunal de Cuentas antes del día 31 de octubre del año siguiente al que se refiera.
2. La Intervención General de la Administración del Estado podrá recabar de las distintas entidades la información que considere necesaria para efectuar los procesos de consolidación contable.
3. La falta de remisión de cuentas no constituirá obstáculo para que la Intervención General de la Administración del Estado pueda formar la Cuenta General del Estado con las cuentas recibidas.
4. Se podrán consolidar las cuentas de una entidad aunque en el preceptivo informe de auditoría de cuentas se hubiera denegado opinión, emitido informe desfavorable o con salvedades, si bien estas circunstancias se harán constar en la memoria explicativa de dicha Cuenta General.»
Dieciséis. Se modifica el artículo 144 de la Ley 47/2003, mediante la inclusión de un nuevo apartado 6, con el siguiente tenor literal:
«6. La Intervención General de la Administración del Estado podrá asumir, mediante la formalización del oportuno Convenio y en todo caso valorando la disponibilidad de medios para el ejercicio adecuado de las funciones que se le atribuyen en la presente Ley, la realización de actuaciones encaminadas a la mejora de los procesos de gestión económico-financieros y contabilización o al establecimiento de medidas que refuercen su supervisión, en el ámbito de los organismos, sociedades y demás entidades integradas en el Sector Público Estatal, cuando dichos cometidos no deriven directamente del ejercicio de las funciones de control reguladas en este Título. En dicho Convenio deberá preverse la contraprestación económica que habrá de satisfacer el ente público al Estado, que se ingresará en el Tesoro Público y podrá generar crédito en los servicios correspondientes de la Intervención General de la Administración del Estado, de conformidad con lo dispuesto en la legislación presupuestaria. A tal efecto, y una vez acreditado el ingreso en el Tesoro Público del importe de la referida compensación económica, el Ministerio de Hacienda tramitará el oportuno expediente de modificación presupuestaria por tal concepto.»
Diecisiete. Se añade la letra g) al apartado 1 del artículo 159, con la siguiente redacción:
«g) En los departamentos ministeriales y entidades gestoras y servicios comunes de la Seguridad Social, verificar, mediante técnicas de auditoría, que los datos e información con trascendencia económica proporcionados por los órganos gestores como soporte de la información contable, reflejan razonablemente las operaciones derivadas de su actividad. La Intervención General de la Administración del Estado establecerá el procedimiento, alcance y periodicidad de las actuaciones a desarrollar.»
Dieciocho. Se modifica el artículo 167, que queda redactado en los siguientes términos:
«Artículo 167. Definición.
1. La auditoría de las cuentas anuales es la modalidad de la auditoría de regularidad contable que tiene por finalidad la verificación relativa a si las cuentas anuales representan en todos los aspectos significativos la imagen fiel del patrimonio, de la situación financiera, de los resultados de la entidad y, en su caso, la ejecución del presupuesto de acuerdo con las normas y principios contables y presupuestarios que le son de aplicación y contienen la información necesaria para su interpretación y comprensión adecuada.
2. Las auditorías realizadas por la Intervención General de la Administración del Estado, de las cuentas anuales de las entidades del sector público estatal sometidas al Plan General de Contabilidad de la empresa española y sus adaptaciones, comprenderán, además de la finalidad prevista en el apartado 1, la revisión de que la información contable incluida en el informe relativo al cumplimiento de las obligaciones de carácter económico-financiero que asumen dichas entidades como consecuencia de su pertenencia al sector público, prevista en el apartado 3 del artículo 129 de esta Ley, concuerda con la contenida en las cuentas anuales.
3. La auditoría de las cuentas anuales de las fundaciones del sector público estatal, además de la finalidad prevista en los apartados 1 y 2, verificará cuando así se determine en el plan anual de auditorías a que se refiere el artículo 165 de esta ley el cumplimiento de los fines fundacionales y de los principios a los que deberá ajustar su actividad en materia de selección de personal, contratación y disposición dineraria de fondos a favor de los beneficiarios cuando estos recursos provengan del sector público estatal. Asimismo, se extenderá a la verificación de la ejecución de los presupuestos de explotación y capital.
4. La Intervención General de la Administración del Estado podrá extender el objeto de la auditoría de cuentas anuales a otros aspectos de la gestión de los entes públicos en especial cuando no estén sometidos a función interventora o control financiero permanente.»
El resto del artículo permanece con la misma redacción.
Diecinueve. Se modifica el artículo 175 de la Ley General Presupuestaria, que queda redactado en los siguientes términos:
«Artículo 175. Auditoría de privatizaciones.
La Intervención General de la Administración del Estado realizará la auditoría de las operaciones de transmisión de la propiedad de sociedades mercantiles estatales, participaciones, acciones o unidades o ramas de negocio, cuando las mismas representen una participación significativa en el patrimonio de la sociedad, y en todo caso, cuando comporten la pérdida del control político de aquéllas. Dicha auditoría se efectuará sobre la cuenta del resultado económico y contable, así como la memoria explicativa de los aspectos de la operación, que deberán emitirse en cada operación de enajenación antes referida.»
Veinte. Se añade un nuevo párrafo a la disposición adicional novena de la Ley 47/2003, con la siguiente redacción:
«Disposición adicional novena. Sociedades mercantiles y otros entes controlados por el sector público.
El Estado promoverá la celebración de convenios con las comunidades autónomas o las entidades locales, con el objeto de coordinar el régimen presupuestario, financiero, contable y de control de las sociedades mercantiles en las que participen, de forma minoritaria, las entidades que integran el sector público estatal, la Administración de las comunidades autónomas o las entidades locales, o los entes a ellas vinculados o dependientes, cuando la participación en los mismos considerada conjuntamente fuera mayoritaria o conllevara su control político.
Lo anterior será de aplicación a los consorcios, que no cumpliendo los requisitos establecidos en el párrafo h) del apartado 1 del artículo 2 de esta Ley respecto de ninguna de las Administraciones que en dichos entes participen, sean financiados mayoritariamente con recursos procedentes del Estado, las comunidades autónomas o corporaciones locales, las Administraciones anteriores hayan aportado mayoritariamente a los mismos dinero, bienes o industria o se hayan comprometido, en el momento de su constitución, a financiar mayoritariamente dicho ente y siempre que sus actos estén sujetos directa o indirectamente al poder de decisión conjunto de dichas Administraciones. Los Presupuestos de esos consorcios, en los términos que se determine por el Ministerio de Hacienda y Administraciones Públicas, acompañarán, a efectos informativos, a los Presupuestos Generales del Estado cuando el porcentaje de participación del Sector Público Estatal sea igual o superior al de cada una de las restantes Administraciones Públicas consorciadas.
Estas sociedades mercantiles y consorcios quedarán obligados a rendir sus cuentas anuales al Tribunal de Cuentas, por conducto de la Intervención General de la Administración del Estado, cuando la participación del sector público estatal sea igual o superior al de cada una de las restantes Administraciones Públicas, sin perjuicio de lo establecido en la normativa propia de cada Comunidad Autónoma. Será de aplicación el procedimiento de rendición previsto en esta Ley.»
Veintiuno. Se añade una nueva disposición transitoria quinta a la Ley General Presupuestaria, que queda redactada en los siguientes términos:
«Disposición transitoria quinta.
Hasta la entrada en vigor del desarrollo reglamentario correspondiente, la Cuenta General del Estado se elaborará conforme a lo previsto en la Orden del Ministerio de Hacienda de 12 de diciembre de 2000, por la que se regula la elaboración de la Cuenta General del Estado.»
Sexta. Porcentajes de cesión de rendimientos recaudatorios de impuestos estatales a favor de las Entidades locales.
Con vigencia indefinida, y para su consideración en la liquidación definitiva correspondiente al ejercicio 2010 de la cesión de los impuestos estatales a favor de las Entidades locales, se modifican los siguientes preceptos del texto refundido de la Ley Reguladora de las Haciendas Locales, aprobado por Real Decreto Legislativo 2/2004, de 5 de marzo:
Uno. Se modifica el apartado 1 del artículo 112 del texto refundido de la Ley Reguladora de las Haciendas Locales, aprobado por Real Decreto Legislativo 2/2004, de 5 de marzo, que queda con la siguiente redacción:
«1. A cada uno de los municipios incluidos en el ámbito subjetivo antes fijado se le cederán los siguientes porcentajes de los rendimientos que no hayan sido objeto de cesión a las Comunidades Autónomas, obtenidos en los impuestos estatales que se citan:
a) El 2,1336 por 100 de la cuota líquida estatal del Impuesto sobre la Renta de las Personas Físicas.
b) El 2,3266 por 100 de la recaudación líquida por el Impuesto sobre el Valor Añadido imputable a cada municipio.
c) El 2,9220 por 100 de la recaudación líquida imputable a cada municipio por los Impuestos Especiales sobre la Cerveza, sobre el Vino y Bebidas Fermentadas, sobre Productos Intermedios, sobre Alcohol y Bebidas Derivadas, sobre Hidrocarburos y sobre Labores de Tabaco.»
Dos. Los porcentajes definidos en el apartado anterior sustituirán, para cada uno de los impuestos citados, a los establecidos en los artículos 115.1, 116 y 117 del texto refundido de la Ley Reguladora de las Haciendas Locales, aprobado por Real Decreto Legislativo 2/2004, de 5 de marzo.
Tres. Se modifica el apartado 1 del artículo 136 del texto refundido de la Ley Reguladora de las Haciendas Locales, aprobado por Real Decreto Legislativo 2/2004, de 5 de marzo, que queda con la siguiente redacción:
«1. A cada una de las provincias y entes asimilados incluidos en el ámbito subjetivo antes fijado se le cederán los siguientes porcentajes de los rendimientos que no hayan sido objeto de cesión a las Comunidades Autónomas, obtenidos en los impuestos estatales que se citan:
a) El 1,2561 por 100 de la cuota líquida estatal del Impuesto sobre la Renta de las Personas Físicas.
b) El 1,3699 por 100 de la recaudación líquida por el Impuesto sobre el Valor Añadido imputable a cada provincia o ente asimilado.
c) El 1,7206 por 100 de la recaudación líquida imputable a cada provincia o ente asimilado por los Impuestos Especiales sobre la Cerveza, sobre el Vino y Bebidas Fermentadas, sobre Productos Intermedios, sobre el Alcohol y Bebidas Derivadas, sobre Hidrocarburos y sobre las Labores del Tabaco.»
Cuatro. Los porcentajes definidos en el apartado anterior sustituirán, para cada uno de los impuestos citados, a los establecidos en los artículos 137.1, 138 y 139 del texto refundido de la Ley Reguladora de las Haciendas Locales, aprobado por Real Decreto Legislativo 2/2004, de 5 de marzo.
Séptima. Modificación del Texto Refundido de la Ley Reguladora de las Haciendas Locales, aprobado por Real Decreto Legislativo 2/2004, de 5 de marzo.
Con vigencia indefinida, y para su consideración en la liquidación definitiva correspondiente al ejercicio 2010 de la cesión del Impuesto sobre la Renta de las Personas Físicas a favor de las Entidades locales, se modifican los siguientes preceptos del Texto Refundido de la Ley Reguladora de las Haciendas Locales aprobado por Real Decreto Legislativo 2/2004, de 5 de marzo:
Uno. Se modifica el apartado 1 del artículo 113 del Texto Refundido de la Ley Reguladora de las Haciendas Locales aprobado por Real Decreto Legislativo 2/2004, de 5 de marzo, que queda con la siguiente redacción:
«1. A los efectos de lo dispuesto en el apartado 1 del artículo anterior, se entenderá por importe de la cuota líquida en el Impuesto sobre la Renta de las Personas Físicas:
1.º Las cuotas líquidas estatales que los residentes en el territorio del municipio hayan consignado en la declaración del Impuesto sobre la Renta de las Personas Físicas presentada e ingresada dentro de los plazos establecidos por la normativa reguladora del Impuesto, minorada en la parte correspondiente de las deducciones por doble imposición y compensaciones fiscales citadas en el artículo 26.2.a).1.º de la Ley 22/2009, de 18 de diciembre, por la que se regula el sistema de financiación de las Comunidades Autónomas de régimen común y Ciudades con Estatuto de Autonomía y se modifican determinadas normas tributarias.
2.º El resultado de aplicar el 50 por ciento a las cuotas líquidas de los contribuyentes que hayan optado por tributar por el Impuesto sobre la Renta de No Residentes, conforme al régimen fiscal especial aplicable a los trabajadores desplazados a territorio español regulado en el artículo 93 de la Ley 35/2006, de 28 de noviembre, del Impuesto sobre la Renta de las Personas Físicas y de modificación parcial de las Leyes de los Impuesto sobre Sociedades, sobre la Renta de No Residentes y sobre el Patrimonio.
3.º El resultado de aplicar el 50 por ciento sobre los pagos a cuenta realizados o soportados por los contribuyentes residentes en el territorio del municipio que no estén obligados a declarar y que no hayan presentado declaración.
4.º El resultado de aplicar el 50 por ciento sobre los pagos a cuenta realizados o soportados por los contribuyentes residentes en el territorio del municipio que no estando incluidos en el apartado anterior no hayan presentado declaración dentro de los plazos establecidos por la normativa reguladora del Impuesto.
5.º La parte de la deuda tributaria que, correspondiente al Estado, sea cuantificada o, en su caso consignada, por actas de inspección, liquidaciones practicadas por la Administración y declaraciones presentadas fuera de los plazos establecidos por la normativa reguladora del impuesto. A estos efectos, se entenderá por deuda tributaria la constituida por la cuota líquida más los conceptos a que se refiere el apartado 2 del artículo 58 de la Ley 58/2003, de 17 de diciembre, General Tributaria, con excepción de los recargos previstos en sus párrafos c) y d) y, en su caso, por los pagos a cuenta del impuesto. Esta partida se minorará por el importe de las devoluciones por ingresos indebidos que deban imputarse al Estado, incluidos los intereses legales.
No se considerará en la parte de la deuda tributaria correspondiente al Estado los importes señalados en el párrafo anterior cuando formen parte de la deuda tributaria correspondiente al Estado por alguno de los conceptos previstos en los apartados 1.º a 4.º anteriores.»
Dos. Se modifica el apartado 5 del artículo 115 del Texto Refundido de la Ley Reguladora de las Haciendas Locales aprobado por Real Decreto Legislativo 2/2004, de 5 de marzo, que queda con la siguiente redacción:
«5. Cuando no fuese posible determinar la permanencia a que se refiere el apartado anterior, se considerarán residentes en el territorio del municipio donde tenga su principal centro de intereses, se considerará como tal el territorio donde obtengan la mayor parte de la base imponible del Impuesto sobre la Renta de las Personas Físicas, determinada por los siguientes componentes de renta:
a) Rendimientos del trabajo, que se entenderán obtenidos donde radique el centro de trabajo respectivo, si existe.
b) Rendimientos del capital inmobiliario y ganancias patrimoniales derivadas de bienes inmuebles, que se entenderán obtenidos en el lugar en que radiquen estos.
c) Rendimientos derivados de actividades económicas, ya sean empresariales o profesionales, que se entenderán obtenidos donde radique el centro de gestión de cada una de ellas.»
En relación con los posibles efectos derivados de cambios de residencia se estará a lo dispuesto en el artículo 28.4 de la Ley 22/2009, de 18 de diciembre, por la que se regula el sistema de financiación de las Comunidades Autónomas de régimen común y Ciudades con Estatuto de Autonomía y se modifican determinadas normas tributarias.
Octava. Modificación de la Ley 39/2006, de 14 de diciembre, de Promoción de la Autonomía Personal y Atención a las Personas en Situación de Dependencia.
Con efectos desde la fecha de entrada en vigor de esta ley y vigencia indefinida, se da nueva redacción al primer apartado de la disposición final primera de la Ley 39/2006, de 14 de diciembre, de Promoción de la Autonomía Personal y Atención a las Personas en Situación de Dependencia, que queda redactado en los siguientes términos:
«1. La efectividad del derecho a las prestaciones de dependencia incluidas en la presente Ley se ejercitará progresivamente, de modo gradual, y se realizará de acuerdo con el siguiente calendario a partir del 1 de enero de 2007:
El primer año a quienes sean valorados en el Grado III de Gran Dependencia, niveles 1 y 2.
En el segundo y tercer año a quienes sean valorados en el Grado II de Dependencia Severa, nivel 2.
En el tercer y cuarto año a quienes sean valorados en el Grado II de Dependencia Severa, nivel 1.
El quinto año, que finaliza el 31 de diciembre de 2011, a quienes sean valorados en el Grado I de Dependencia Moderada, Nivel 2, y se les haya reconocido la concreta prestación.
A partir del 1 de enero de 2014 al resto de quienes sean valorados en el Grado I de Dependencia Moderada, Nivel 2.
A partir del 1 de enero de 2014 a quienes sean valorados en el Grado I de Dependencia Moderada, nivel 1.»
Novena. Modificación de la Ley 55/2007, de 28 de diciembre, del Cine.
Con efectos de la entrada en vigor de esta Ley y vigencia indefinida, se modifica la Ley 55/2007, de 28 de diciembre, del Cine, que queda de la siguiente forma:
Uno. Se da nueva redacción al artículo 36 de la Ley 55/2007, de 28 de diciembre, del Cine, que quedará redactado de la siguiente manera:
«Artículo 36. Fomento de la cinematografía y el audiovisual en lenguas cooficiales distintas al castellano.
Sin perjuicio de lo dispuesto en el artículo 19.3, y con el fin de atender al fomento y protección del uso de las lenguas cooficiales distintas a la castellana en la cinematografía y el audiovisual, promoviendo la pluralidad cultural de España y la igualdad de oportunidades de las lenguas propias de cada territorio en materia de expresión y difusión audiovisual, se establecerá un fondo de ayudas o créditos específicos que serán transferidos en su integridad a los organismos competentes de las Comunidades Autónomas, que los gestionarán conforme a sus competencias.
Esta aportación del Estado, basada en el principio de corresponsabilidad, se dotará dentro de los límites presupuestarios aprobados en cada ejercicio y se destinará al fomento de la producción, distribución, exhibición y promoción de la industria cinematográfica y audiovisual en las citadas lenguas.»
El resto de artículos permanece con la misma redacción.
Dos. Se da nueva redacción a la disposición adicional sexta de la Ley del Cine que quedará redactada de la siguiente manera:
«Disposición adicional sexta. Convenios para el fomento de la cinematografía y el audiovisual en lenguas cooficiales distintas al castellano.
El Ministerio de Cultura, mediante convenio, concretará dentro de las disponibilidades presupuestarias anuales, los créditos previstos en el artículo 36 de esta Ley, de forma que la dotación que reciba cada Comunidad Autónoma con lengua cooficial sea anualmente equivalente a la suma de aportaciones que dicha Comunidad haya destinado en el ejercicio anterior para el soporte y fomento de la producción, distribución, exhibición y promoción del audiovisual en lengua cooficial distinta al castellano.
La dotación que reciba cada Comunidad Autónoma no será superior al 50 % del total de las ayudas que las empresas audiovisuales residentes en dicha Comunidad hayan recibido del Instituto de la Cinematografía y de las Artes Audiovisuales en el ejercicio anterior.»
Décima. Reintegros de los saldos deudores resultantes a cargo de las Entidades locales en las liquidaciones definitivas de la participación en tributos del Estado de los años 2008 y 2009.
A partir del año 2012, y con vigencia indefinida, se aplicarán las siguientes normas en los reintegros de los saldos deudores resultantes a cargo de las Entidades locales en las liquidaciones definitivas de la participación en tributos del Estado de los años 2008 y 2009.
1. El importe que, a 1 de enero de 2012, hubiere estado pendiente de reintegrar por las Entidades locales a la Hacienda del Estado, derivado de las liquidaciones definitivas de la participación en tributos del Estado de los años 2008 y 2009 se fraccionará por el Ministerio de Hacienda y Administraciones Públicas en 120 mensualidades desde aquella fecha para aquellas Entidades locales que, a la fecha de publicación de la presente norma, hayan presentado la liquidación de sus presupuestos generales del ejercicio 2011.
Las Entidades locales a las que se refieren los artículos 111 y 135 del Texto Refundido de la Ley Reguladora de las Haciendas Locales, aprobado por Real Decreto Legislativo 2/2004, de 5 de marzo, deberán presentar, con carácter previo, un compromiso aprobado por sus respectivos Plenos de acordar con el Ministerio de Hacienda y Administraciones Públicas un plan de ajuste que garantice el cumplimiento de los objetivos de estabilidad presupuestaria y de deuda pública, para lo que se tendrá en cuenta lo dispuesto en el siguiente párrafo.
En el caso de que las Entidades locales incumplan los objetivos de estabilidad presupuestaria, los límites de endeudamiento que les resulten de aplicación o los plazos establecidos en la Ley 3/2004, de 29 de diciembre, por la que se establecen medidas de lucha contra la morosidad en las operaciones comerciales, deberán aprobar un plan de ajuste, que garantice la corrección de aquellos incumplimientos, mediante acuerdo de sus respectivos Plenos, que, además, deberán aceptar la posible imposición por el Ministerio de Hacienda y Administraciones Públicas de condiciones particulares en materia de seguimiento y remisión de información, así como, en su caso, de adopción de medidas de ajuste extraordinarias que permitan aquella corrección. Asimismo, aquellas entidades deberán presentar un certificado del secretario o del secretario-interventor del acuerdo del Pleno con el anterior contenido y aprobatorio del plan de ajuste antes citado, así como el informe del interventor o del secretario-interventor en el que se recojan las medidas de aquel plan.
Se entenderá cumplido el requisito de la aprobación del plan de ajuste en aquellos casos en los que se hubiera aprobado el regulado en el artículo 7 del Real Decreto-ley 4/2012, de 24 de febrero, por el que se determinan obligaciones de información y procedimientos necesarios para establecer un mecanismo de financiación para el pago a los proveedores de las entidades locales.
2. A las Entidades locales que, no habiendo presentado la documentación citada en el apartado anterior, lo hagan con posterioridad a la fecha de publicación de esta Ley y con fecha límite el día 30 de septiembre de 2012, el Ministerio de Hacienda y Administraciones Públicas les aplicará a partir de 1 de enero de 2013 el fraccionamiento en 108 mensualidades del importe pendiente de reintegro en dicha fecha correspondiente a las liquidaciones mencionadas en el apartado anterior.
3. La aplicación efectiva del fraccionamiento citado en el apartado 1 anterior se iniciará en la entrega a cuenta de la participación en tributos del Estado del mes siguiente al de la publicación de la presente norma, de acuerdo con las siguientes reglas:
A) A partir del importe que hubiere estado pendiente de reintegrar a 1 de enero de 2012 de las liquidaciones correspondientes a los años 2008 y 2009, se determinará la devolución mensual considerando el período de reintegro de 120 mensualidades.
B) La cuantía anterior se elevará al año y se minorará en los importes reintegrados en las entregas a cuenta de 2012 anteriores a aquella en la que se aplique la modalidad de fraccionamiento regulada en esta disposición.
C) Si el resultado anterior fuere positivo se distribuirá, por partes iguales, mediante reintegros aplicables en las entregas a cuenta en las que se aplique la modalidad de fraccionamiento regulada en esta disposición.
D) Si el resultado de la operación descrita en la letra B) anterior fuere negativo, no se practicará reintegro alguno en las entregas a cuenta en las que se pudiese aplicar la modalidad de fraccionamiento regulada en esta disposición, y la diferencia reintegrada en exceso minorará la cuantía a devolver en el año 2013.
4. A partir del año 2014 se mantendrá la modalidad de fraccionamiento establecida en los apartados 1 y 2 anteriores, siempre que las Entidades locales afectadas aporten la liquidación de sus presupuestos generales del ejercicio inmediato anterior y la del anterior a éste, acompañando a esta última un informe del interventor o del secretario-interventor especificando los ajustes que procedan y el cálculo de la capacidad de financiación conforme al Sistema Europeo de Cuentas Nacionales y Regionales. Este informe podrá ser objeto de estudio por el Ministerio de Hacienda y Administraciones Públicas, que, en su caso, podrá rectificar de forma fundada aquel cálculo.
Los plazos y el desarrollo del procedimiento de remisión de aquella documentación se regularán por las Leyes de Presupuestos Generales del Estado para el año 2014 y siguientes.
5. A aquellas Entidades locales que no se encuentren en los supuestos citados en los apartados 1 y 2 anteriores o que presenten necesidad de financiación de acuerdo con el Sistema Europeo de Cuentas Nacionales y Regionales conforme al informe que emita el interventor o el secretario-interventor de la entidad, o en su posible rectificación, citados en el apartado 4 anterior se les aplicará los procedimientos de reintegro establecidos en los apartados Dos y Cinco del artículo 91 de la Ley 26/2009, de 23 de diciembre, de Presupuestos Generales del Estado para el año 2010, por lo que se refiere a la liquidación definitiva del año 2008, y en los apartados Dos y Cinco del artículo 99 de la Ley 39/2010, de 22 de diciembre, de Presupuestos Generales del Estado para el año 2011, por lo que respecta a la liquidación definitiva del año 2009.
6. La documentación a la que se refiere la presente disposición se deberá remitir al órgano competente del Ministerio de Hacienda y Administraciones Públicas por medios telemáticos y firmada electrónicamente.
7. Si el importe pendiente de reintegro a la fecha de publicación de la presente norma fuese igual o inferior a 120 euros, se reintegrará por su totalidad en la entrega a cuenta de la participación en tributos del Estado del mes siguiente al de aquella fecha.
Undécima. Modificación de la Ley 9/2009, de 6 de octubre, de ampliación de la duración del permiso de paternidad en los casos de nacimiento, adopción o acogida.
Se da nueva redacción a la disposición final segunda de la Ley 9/2009, de 6 de octubre, de ampliación de la duración del permiso de paternidad en los casos de nacimiento, adopción o acogida, en los siguientes términos:
«Disposición final segunda.
La presente Ley entrará en vigor a partir del 1 de enero de 2013.»
Duodécima. Modificación de la Ley 22/2009, de 18 de diciembre, por la que se regula el sistema de financiación de las Comunidades Autónomas de régimen común y Ciudades con Estatuto de Autonomía y se modifican determinadas normas tributarias.
Con efectos desde el 1 de enero de 2013 se introducen las siguientes modificaciones en la Ley 22/2009, de 18 de diciembre, por la que se regula el sistema de financiación de las Comunidades Autónomas de régimen común y Ciudades con Estatuto de Autonomía y se modifican determinadas normas tributarias:
Uno. Se modifica el artículo 16, que queda redactado de la siguiente forma:
«Artículo 16. Cesión parcial de la recaudación líquida por los tipos estatales del Impuesto sobre Hidrocarburos: determinación de las entregas a cuenta y de la liquidación definitiva.
Las Comunidades Autónomas participarán en la recaudación líquida que se obtenga en cada ejercicio, mediante la determinación de una entrega a cuenta del rendimiento definitivo.
La determinación de la cuantía de esta entrega a cuenta se efectuará mediante la siguiente operación:
ACIEHi (x) = [58% * RPIEH1(x) + 100% * RPIEH2 (x)]* ICHPi(x) *0,98
Siendo:
ACIEHi (x) el importe anual del anticipo a la Comunidad Autónoma i, en concepto de entrega a cuenta de la recaudación por los tipos estatales del Impuesto sobre Hidrocarburos obtenida en el año (x).
RPIEH1(x) la recaudación líquida prevista por el Impuesto sobre Hidrocarburos en el año (x), derivada de la aplicación del tipo estatal general.
RPIEH2 (x) la recaudación líquida prevista por el Impuesto sobre Hidrocarburos en el año (x) derivada de la aplicación del tipo estatal especial.
ICHPi (x) el índice provisional de entregas de gasolinas, gasóleos y fuelóleos, ponderadas por los correspondientes tipos impositivos estatales, de la Comunidad Autónoma i para el año (x).
El importe que se obtenga en concepto de entrega a cuenta, según la fórmula establecida en los párrafos anteriores, se hará efectivo a cada Comunidad Autónoma mediante entrega por doceavas partes mensuales, tramitándose como devoluciones de ingresos en el concepto de Impuesto sobre Hidrocarburos.
El valor definitivo de la cesión de la recaudación líquida por los tipos estatales del Impuesto sobre Hidrocarburos en el año (x) será el que se derive de la aplicación de la siguiente fórmula:
IEHi (x) = [IEH1 (x) * 58% + IEH2 (x) * 100%] * ICHi (x)
Siendo:
IEHi (x) el valor definitivo de la cesión de la recaudación líquida por el Impuesto sobre Hidrocarburos en el año (x), correspondiente a la Comunidad Autónoma i.
IEH1 (x) la recaudación líquida del Impuesto sobre Hidrocarburos obtenida por el Estado en el año (x), derivada de la aplicación del tipo estatal general.
IEH2 (x) la recaudación líquida del Impuesto sobre Hidrocarburos obtenida por el Estado en el año (x), derivada de la aplicación del tipo estatal especial.
ICHi (x) el índice de entregas de gasolinas, gasóleos y fuelóleos, según datos del Ministerio de Industria, Energía y Turismo, ponderadas por los correspondientes tipos impositivos estatales, de la Comunidad Autónoma i para el año (x).
La liquidación definitiva se determinará por la diferencia entre el valor definitivo de la cesión de la recaudación líquida por los tipos estatales del Impuesto sobre Hidrocarburos que resulte de la aplicación de la fórmula anterior y las entregas a cuenta percibidas por este tributo en ese año.»
Dos. Se modifica el apartado 4 del artículo 19, que queda redactado de la siguiente forma:
«4. Los valores normativos de los recursos tributarios que no se liquidan por el Estado serán los siguientes:
I. Impuesto sobre Transmisiones Patrimoniales y Actos Jurídicos Documentados. Los valores normativos serán los siguientes:
a) Para el año 2009, el valor normativo de este impuesto para cada Comunidad Autónoma se corresponde con el 85% del importe recaudado por este impuesto, en términos homogéneos.
b) Para el resto de años, el valor normativo en el año (x) para cada Comunidad Autónoma será el resultado de aplicar al valor normativo del año 2009 el índice que resulta de la variación de la suma de los rendimientos definitivos por el IRPF, IVA e IIEE de fabricación percibidos por cada Comunidad Autónoma en el año (x) respecto a los rendimientos por esos mismos conceptos en el año 2009, en términos homogéneos y sin capacidad normativa.
II. Impuesto sobre Sucesiones y Donaciones, Tributos sobre el Juego y tasas afectas a los servicios transferidos. Los valores normativos en el año (x) serán el resultado de actualizar sus importes en el año base, por el cociente entre el ITE definitivo del año (x) en relación al ITE del año base, calculados conforme se definen en el artículo 20.
III. Impuesto Especial sobre Determinados Medios de Transporte. El valor normativo en el año (x) se corresponde con la recaudación real por este impuesto imputada a cada Comunidad Autónoma en el año (x), sin el ejercicio de competencias normativas.»
Tres. Se modifica el artículo 40, que queda redactado de la siguiente forma:
«Artículo 40. Alcance de la cesión y punto de conexión en el Impuesto sobre Hidrocarburos.
1. Se cede a la Comunidad Autónoma el 58 por ciento del rendimiento derivado del tipo estatal general y el 100 por ciento del rendimiento derivado del tipo estatal especial del Impuesto sobre Hidrocarburos producido en su territorio. Asimismo, se cede el rendimiento derivado del tipo autonómico de este impuesto, en los términos previstos en artículo 44 de la presente Ley.
2. Se considerará producido en el territorio de una Comunidad Autónoma el rendimiento cedido del Impuesto sobre Hidrocarburos derivado de la aplicación de los tipos estatales general y especial que corresponda al índice de las entregas de gasolinas, gasóleos y fuelóleos en el territorio de dicha Comunidad Autónoma, según datos del Ministerio de Industria, Energía y Turismo, ponderadas por los correspondientes tipos impositivos estatales.»
Cuatro. Se modifica el artículo 44, que queda redactado de la siguiente forma:
«Artículo 44. Alcance de la cesión y puntos de conexión en el rendimiento derivado del tipo autonómico del Impuesto sobre Hidrocarburos.
Se cede a la Comunidad Autónoma el rendimiento del tipo autonómico del Impuesto sobre Hidrocarburos producido en su territorio. Se considerará producido en el territorio de una Comunidad Autónoma el rendimiento cedido del tipo autonómico del Impuesto sobre Hidrocarburos cuando el consumo final de los productos gravados se produzca en su territorio, según lo dispuesto en el artículo 50 ter de la Ley 38/1992, de 28 de diciembre, de Impuestos Especiales.»
Cinco. Se modifica el artículo 52, que queda redactado de la siguiente forma:
«Artículo 52. Alcance de las competencias normativas en el Impuesto sobre Hidrocarburos.
1. En el Impuesto sobre Hidrocarburos las Comunidades Autónomas podrán asumir competencias normativas sobre el tipo de gravamen autonómico aplicable a los siguientes productos dentro de la banda que se indica en cada caso:
a) Productos comprendidos en los epígrafes 1.1, 1.2.1, 1.2.2, 1.3, 1.13 y 1.14 del artículo 50 de la Ley 38/1992, de 28 de diciembre, de Impuestos Especiales: desde 0 hasta 48 euros por 1.000 litros.
b) Productos comprendidos en los epígrafes 1.4 y 1.15 del artículo 50 de la Ley 38/1992, de 28 de diciembre, de Impuestos Especiales: desde 0 euros hasta 12 euros por 1.000 litros.
c) Productos comprendidos en el epígrafe 1.5 del artículo 50 de la Ley 38/1992, de 28 de diciembre, de Impuestos Especiales: desde 0 euros hasta 2 euros por tonelada.
d) Productos comprendidos en el epígrafe 1.11 del artículo 50 de la Ley 38/1992, de 28 de diciembre, de Impuestos Especiales: desde 0 euros hasta 48 euros por 1.000 litros.
El límite superior de la banda podrá ser actualizado por la Ley de Presupuestos Generales del Estado.
2. Cuando se trate de gasóleo de uso general, a que se refiere el epígrafe 1.3, las Comunidades Autónomas podrán no ejercer, en todo o en parte, la competencia normativa en relación con el gasóleo al que resulte aplicable la devolución del Impuesto sobre Hidrocarburos establecida en el artículo 52 bis de la Ley 38/1992, de 28 de diciembre, de Impuestos Especiales. En tal caso, la no aplicación total o parcial del tipo de gravamen autonómico revestirá la forma de devolución parcial del impuesto previamente satisfecho respecto del referido gasóleo, en los términos que establezca la normativa reguladora del Impuesto sobre Hidrocarburos. En el supuesto indicado la Comunidad Autónoma fijará el tipo de devolución, cuyo importe no podrá exceder del importe del tipo de gravamen autonómico al que hubiera tributado el indicado gasóleo.
3. El tipo de gravamen autonómico aprobado por cada Comunidad Autónoma se aplicará a los productos gravados cuyo consumo final se produzca en su territorio, de acuerdo con el punto de conexión a que se refiere el artículo 44 de la presente Ley.»
Seis. Se introduce una nueva disposición transitoria séptima, con la siguiente redacción:
«Disposición transitoria séptima. Integración del Impuesto sobre las Ventas Minoristas de Determinados Hidrocarburos en el Impuesto sobre Hidrocarburos.
1. Las modificaciones en los tipos impositivos estatales del Impuesto sobre Hidrocarburos aprobadas como consecuencia de la integración del Impuesto sobre las Ventas Minoristas de Determinados Hidrocarburos en el Impuesto sobre Hidrocarburos no se considerarán supuesto de revisión del Fondo de Suficiencia Global de los previstos en el artículo 21 de esta Ley.
2. Las recaudaciones derivadas de liquidaciones del Impuesto sobre las Ventas Minoristas de Determinados Hidrocarburos y las devoluciones de ingresos realizadas de dicho impuesto con posterioridad a su derogación corresponderán a las Comunidades Autónomas en los términos previstos con anterioridad a dicha derogación. Para hacer efectivo lo anterior el Estado podrá realizar los descuentos necesarios en cualquiera de los pagos derivados de la aplicación del sistema de financiación.
3. Durante 2013 los tipos de gravamen autonómicos del Impuesto sobre las Ventas Minoristas de Determinados Hidrocarburos aprobados por las Comunidades Autónomas seguirán subsistentes como tipos autonómicos del Impuesto sobre Hidrocarburos, en tanto no sean aprobados expresamente los nuevos tipos de gravamen autonómicos de este impuesto.
4. A los efectos señalados en el apartado 3 del artículo 20, la modificación del rendimiento cedido por el Impuesto sobre Hidrocarburos como consecuencia del establecimiento del tipo estatal especial, que se establece en el artículo 16, no supondrá un supuesto de distinto término de cesión respecto al rendimiento cedido con anterioridad a la modificación del artículo 16 derivada de la integración del Impuesto sobre las Ventas Minoristas de Determinados Hidrocarburos en el Impuesto sobre Hidrocarburos.
5. Como consecuencia de la derogación del artículo 9 de la Ley 24/2001, de 27 de diciembre, de Medidas Fiscales, Administrativas y del Orden Social, y la consiguiente supresión del Impuesto sobre las Ventas Minoristas de Determinados Hidrocarburos, el tramo estatal del citado impuesto queda sustituido por el tipo estatal especial del Impuesto sobre Hidrocarburos y el tramo autonómico del Impuesto sobre las Ventas Minoristas de Determinados Hidrocarburos queda sustituido por el tipo autonómico del Impuesto sobre Hidrocarburos.
6. Todas las referencias al Impuesto sobre las Ventas Minoristas de Determinados Hidrocarburos que se encuentren en la normativa vigente se entenderán realizadas a los tipos estatal especial y autonómico del Impuesto sobre Hidrocarburos.»
Décima tercera. Modificación del Real Decreto-Ley 9/2010, de 28 de mayo, por el que se autoriza a la Administración General del Estado al otorgamiento de avales a determinadas operaciones de financiación en el marco del Mecanismo Europeo de Estabilización Financiera de los Estados miembros de la Zona del Euro.
Con efectos a partir de la entrada en vigor de esta Ley y vigencia indefinida se modifica el apartado 1 del artículo único del Real Decreto-ley 9/2010, de 28 de mayo, por el que se autoriza a la Administración General del Estado al otorgamiento de avales a determinadas operaciones de financiación en el marco del Mecanismo Europeo de Estabilización Financiera de los Estados miembros de la Zona del Euro, que queda redactado en los siguientes términos:
«Al amparo de lo establecido en el artículo 114 de la Ley 47/2003, de 26 de noviembre, General Presupuestaria, se autoriza a la Administración General del Estado a otorgar avales, hasta el importe máximo del compromiso establecido para España en los acuerdos reguladores de la "Facilidad Europea de Estabilización Financiera", y conforme a las características en ellos especificadas, en garantía de las obligaciones económicas exigibles a la misma, derivadas de las emisiones de instrumentos financieros, de la concertación de operaciones de préstamo y crédito, así como de cualesquiera otras operaciones de financiación que realice la sociedad "Facilidad Europea de Estabilización Financiera".»
Décima cuarta. Modificación del Real Decreto-ley 13/2010, de 3 de diciembre, de actuaciones en el ámbito fiscal, laboral y liberalizadoras para fomentar la inversión y la creación de empleo.
Con efectos de 1 de enero y con vigencia hasta 31 de diciembre de 2012, se modifica lo dispuesto en el artículo 15 del Real Decreto-ley 13/2010, de 3 de diciembre, de actuaciones en el ámbito fiscal, laboral y liberalizadoras para fomentar la inversión y la creación de empleo, que quedará redactado de la siguiente manera:
«Con el fin de reforzar la atención a las personas demandantes de empleo y a las empresas que ofertan empleo, se aprueba la medida consistente en la incorporación de 1.500 personas como promotoras de empleo, que realizarán su actividad en las oficinas de empleo de los Servicios Públicos de Empleo, desde el 1 de febrero de 2011 hasta el 30 de junio de 2012.
Esta medida será de aplicación en todo el territorio del Estado y su gestión se realizará por las Comunidades Autónomas con competencias estatutariamente asumidas en el ámbito del trabajo, el empleo y la formación y por el Servicio Público de Empleo Estatal en el ámbito de sus respectivas competencias.
Respecto de la gestión por las Comunidades Autónomas de esta medida, los créditos correspondientes se distribuirán territorialmente entre dichas administraciones, de conformidad con lo establecido en la normativa estatal.»
Décima quinta. Sociedades concesionarias de autopistas de peaje dependientes de la Administración General del Estado.
Se autoriza al Gobierno para que en el plazo de tres meses, si las circunstancias económicas de las sociedades concesionarias así lo aconsejan, y mediante Real Decreto pueda adoptar las medidas siguientes para las sociedades concesionarias de autopistas de peaje dependientes de la Administración General del Estado:
a) Ampliar el ámbito de aplicación de la cuenta de compensación prevista en la Disposición Adicional octava de la Ley 43/2010, de 30 de diciembre, del servicio postal universal, de los derechos de los usuarios y del mercado postal.
b) Prorrogar el periodo de vigencia de la cuenta de compensación hasta el año 2021 inclusive.
c) Modificar en los términos legalmente previstos el plazo de las concesiones de autopistas de peaje dependientes de la Administración General del Estado.
Décima sexta. Modificación de la Ley 13/2011, de 27 de mayo, de regulación del juego.
Uno. La Disposición adicional tercera de la Ley 13/2011, de 27 de mayo, de regulación del juego, queda redactada de la siguiente manera:
«Disposición adicional tercera. Apuestas Deportivas del Estado.
Uno. El Ministerio de Educación, Cultura y Deporte asumirá, a través del Consejo Superior de Deportes, las obligaciones derivadas del Real Decreto 419/1991, de 27 de marzo, por el que se regula la distribución de la recaudación y premios de las apuestas deportivas del Estado. Por Resolución del Presidente del Consejo Superior de Deportes se determinarán, en los términos que reglamentariamente se fije, las entidades beneficiarias de esas asignaciones, los porcentajes de asignación financiera y su destino.
Dos. Transitoriamente, y hasta tanto no se determinen reglamentariamente las entidades beneficiarias de las asignaciones y los porcentajes de asignación financiera para cada una de ellas, el importe que se consignará para cada uno de los distintos beneficiarios en los Presupuestos Generales del Estado para 2012, y que podrá ser destinado a financiar tanto operaciones de naturaleza corriente como actuaciones de inversión, será el resultado de aplicar los siguientes porcentajes a la previsión de recaudación por el Impuesto sobre Actividades del Juego en relación con las apuestas mutuas deportivas de fútbol:
– 49,95% para las Diputaciones Provinciales, a través de las respectivas Comunidades Autónomas.
– 45,50% para la Liga Nacional de Fútbol Profesional.
– 4,55% para la Real Federación Española de Fútbol con destino al fútbol no profesional.
Tres. Las cantidades libradas a los distintos beneficiarios tendrán la consideración de entregas a cuenta de la recaudación que finalmente se obtenga en cada ejercicio presupuestario por el Impuesto sobre Actividades del Juego.
Finalizado el correspondiente ejercicio presupuestario, se procederá a realizar la liquidación definitiva de las entregas a cuenta efectuadas, según se indica a continuación:
Si el importe de las entregas a cuenta resultara de cuantía inferior a la recaudación efectiva obtenida en el ejercicio presupuestario por el Impuesto de Actividades del Juego, se procederá a la tramitación de la correspondiente generación de crédito por la diferencia.
En el supuesto de que el importe de las entregas a cuenta sea de cuantía superior a la recaudación efectiva obtenida en el ejercicio presupuestario por el Impuesto de Actividades del Juego, se procederá a descontar la diferencia de las entregas a cuenta a efectuar en el ejercicio.
Cuatro. Con cargo a las dotaciones consignadas en el presupuesto del Consejo Superior de Deportes para 2012 se abonará a la Sociedad Estatal Loterías y Apuestas del Estado (SELAE) el importe de los anticipos a cuenta realizados a los beneficiarios mediante descuentos en los pagos que el citado organismo realice a favor de los mismos, en aplicación de lo dispuesto en la Disposición Final Décima del Real Decreto-Ley 20/2011, de 30 de diciembre, de medidas urgentes en materia presupuestaria, tributaria y financiera para la corrección del déficit público.»
Dos. La disposición adicional sexta de la Ley 13/2011, de 27 de mayo, de regulación del juego, quedará redactada de la siguiente forma:
«Disposición adicional sexta. Régimen de participación en la recaudación de las Apuestas Deportivas e Hípicas.
Reglamentariamente se fijará el porcentaje o su equivalente, aplicable a la recaudación obtenida de las apuestas para determinar la cantidad que será objeto de retorno al Deporte y a las competiciones deportivas organizadas en España, en el caso de las Apuestas Deportivas y de retorno a las sociedades organizadoras de carreras de caballos en España en el caso de las Apuestas Hípicas, todo ello sin perjuicio de lo previsto en la Disposición Adicional tercera. El Real Decreto que desarrolle la presente Ley establecerá asimismo el régimen de participación y distribución que corresponda por las obligaciones de proporcionar los datos y resultados oficiales de las competiciones deportivas y de garantía de la integridad en el desarrollo de las mismas, así como, en el caso de las carreras de caballos, por la propia organización de las carreras y su contribución al mantenimiento de la industria productiva».
Tres. Se añade una nueva disposición adicional (séptima) en la Ley 13/2011, de 27 de mayo, de regulación del juego, que queda redactada de la siguiente forma:
«Disposición Adicional Séptima. Habilitación a los operadores de apuestas hípicas para participar en los fondos comunes de las sociedades organizadoras de carreras de caballos en España.
Reglamentariamente se regularán las condiciones bajo las cuales los titulares de licencia singular de apuestas hípicas podrán celebrar acuerdos con las sociedades organizadoras de carreras de caballos en España, debidamente habilitadas por la correspondiente Comunidad Autónoma, a fin de permitir a los participantes el juego en masa común, correspondiente a cada modalidad de apuesta y totalizado en los respectivos hipódromos.»
Cuatro. La Disposición Transitoria Primera de la Ley 13/2011, de 27 de mayo, de regulación del juego, quedará redactada como sigue:
«Disposición transitoria primera. Ejercicio de competencias administrativas antes del inicio de actividades de la Comisión Nacional del Juego.
Las competencias previstas para la Comisión Nacional del Juego serán ejercidas por la Dirección General de Ordenación del Juego del Ministerio de Hacienda y Administraciones Públicas, incluyendo las relacionadas con la gestión y recaudación de las tasas a las que se refiere el artículo 49 de esta Ley.
El rendimiento de las tasas mencionadas en el párrafo anterior se ingresará en el Tesoro Público con aplicación al Presupuesto de Ingresos del Estado.
El Registro de Prohibidos hasta ahora dependiente del Ministerio del Interior de conformidad con la Orden Ministerial de 9 de enero de 1979, será gestionado por la Dirección General de Ordenación del Juego hasta su integración en el Registro General de Interdicciones de Acceso al Juego y el Registro de Personas Vinculadas a Operadores de Juego.»
Décima séptima. Modificación de la Ley 29/2011, de 22 de septiembre, de Reconocimiento y Protección Integral de las Víctimas del Terrorismo.
Con efectos a partir de la entrada en vigor de esta Ley y vigencia indefinida se modifican los artículos 5, 20, 22, 38 y 65 y se añaden los artículos 3 bis, 22 bis y 22 ter y una disposición transitoria a la Ley 29/2011, de 22 de septiembre, de Reconocimiento y Protección Integral de las Víctimas del Terrorismo.
Uno. Se adiciona un nuevo artículo 3 bis a la Ley 29/2011, con la siguiente redacción:
«Artículo 3 bis. Requisitos para el reconocimiento de las ayudas y prestaciones previstas en la ley.
Serán destinatarios de las ayudas y prestaciones reguladas en la presente ley aquellas personas en las que concurra alguno de los dos siguientes supuestos:
a) Cuando en virtud de sentencia firme, se les hubiere reconocido el derecho a ser indemnizados en concepto de responsabilidad civil por los hechos y daños contemplados en esta ley.
b) Cuando, sin mediar tal sentencia, se hubiesen llevado a cabo las oportunas diligencias judiciales o incoado los procesos penales para el enjuiciamiento de los delitos. En estos casos, la condición de víctima o derechohabiente, la entidad de los daños sufridos, la naturaleza de los actos o hechos causantes y los demás requisitos legalmente exigidos podrán acreditarse ante el órgano competente de la Administración General del Estado por cualquier medio de prueba admisible en derecho.»
Dos. Se modifica la redacción del artículo 5 de la Ley 29/2011, que queda redactado en los siguientes términos:
«Las personas que acrediten, en los términos del artículo 3 bis de la Ley, sufrir situaciones de amenazas o coacciones directas y reiteradas, procedentes de organizaciones terroristas, serán objeto de especial atención, en el marco de sus competencias por parte de las Administraciones Públicas.»
Tres. Se modifica la redacción del apartado 4 del artículo 20 de la Ley 29/2011, que queda redactado en los siguientes términos:
«La cantidad total a abonar por el Estado, en concepto de responsabilidad civil fijada en sentencia, no podrá exceder de las siguientes cuantías:
– Fallecimiento: 500.000 €.
– Gran Invalidez: 750.000 €.
– Incapacidad permanente absoluta: 300.000 €.
– Incapacidad permanente total: 200.000 €.
– Incapacidad permanente parcial: 125.000 €.
– Lesiones no invalidantes: 100.000 €.
– Secuestro: 125.000 €.»
Cuatro. Se modifica la redacción del apartado 1 del artículo 22 de la Ley 29/2011, que queda redactado en los siguientes términos:
«Los españoles víctimas de atentados terroristas cometidos fuera del territorio nacional a los que se refiere el artículo 6.3 tendrán derecho a percibir, exclusivamente una ayuda económica, en los términos que a continuación se establecen:
Si el español tiene su residencia habitual en el país en que se produzca la acción terrorista percibirá el 50% de las cantidades fijadas en las tablas I, II y III del anexo.
Si el español no tiene su residencia habitual en el país en que se produzca la acción terrorista percibirá el 40% de las cantidades fijadas en las tablas I, II y III del anexo».
Cinco. Se adiciona un nuevo artículo 22 bis a la Ley 29/2011, con la siguiente redacción:
«Artículo 22 bis. Resarcimiento por secuestro.
La persona que haya sido objeto de secuestro, como consecuencia de acciones comprendidas dentro del ámbito de aplicación de la ley, exigiéndose alguna condición para su libertad, será indemnizada con la cantidad de 12.000€. En su caso, será indemnizada por los daños personales que el acto de secuestro le haya causado, con el límite de la indemnización por incapacidad permanente parcial y por los días de secuestro según las cuantías resultantes de aplicar la Tabla III del Anexo».
Seis. Se adiciona un nuevo artículo 22 ter a la Ley 29/2011, con la siguiente redacción:
«Artículo 22 ter. Anticipos y pagos a cuenta.
El Ministerio del Interior podrá anticipar hasta 18.030,36 €, a cuenta de la percepción de la ayuda definitiva, en los casos en que por la gravedad de las lesiones sufridas por la acción terrorista, sea razonable presumir una posterior declaración de incapacidad laboral permanente total, absoluta o una gran invalidez de la víctima.
Igualmente, en los casos de lesiones invalidantes o de incapacidad temporal, podrán abonarse trimestralmente los periodos de baja laboral. Estas cantidades a cuenta serán equivalentes a las que resulte de multiplicar el duplo del IPREM vigente en la fecha en que se produjo la lesión por los días de incapacidad.»
Siete. Se modifica la redacción del artículo 38 de la Ley 29/2011, que queda redactado en los siguientes términos:
«Las Administraciones Públicas competentes y, en su caso, las autoridades educativas adoptarán, en los distintos niveles educativos, las medidas necesarias para asegurar la exención de todo tipo de tasas académicas en los centros oficiales de estudios a las víctimas de actos terroristas definidas en el artículo 4, apartado 1, de la presente Ley, así como a los hijos de aquéllos que hayan fallecido en acto terrorista o de aquéllos que han sufrido daños físicos y/o psíquicos a consecuencia de la actividad terrorista.»
Ocho. Se modifica el apartado 1 del artículo 53 de la Ley 29/2011, de 22 de septiembre, de Reconocimiento y Protección Integral de las Víctimas del Terrorismo, que queda redactado en los siguientes términos:
«1. Las víctimas del terrorismo a que se refiere el artículo 4, apartados 1 y 2 de esta Ley podrán solicitar la concesión de las condecoraciones indicadas. También podrán solicitarlas las personas a las que se refiere el artículo 5 y aquellas otras que hayan sido objeto de un atentado terrorista del que no se hayan derivado daños, lesiones o secuelas.
Con independencia de lo anterior, el Ministerio del Interior podrá, de oficio y previa consulta con los destinatarios, iniciar el expediente de reconocimiento cuando tenga conocimiento de los hechos que pueden provocar su reconocimiento.»
Nueve. Se modifica el apartado 1 del artículo 54 de la Ley 29/2011, de 22 de septiembre, de Reconocimiento y Protección Integral de las Víctimas del Terrorismo, que queda redactado en los siguientes términos:
«1. Corresponderá al Ministerio del Interior la tramitación de los procedimientos de concesión de las condecoraciones. Dichos expedientes podrán ser iniciados a instancia de alguna de las personas a que se refiere el artículo 4 de esta Ley, en sus apartados 1 y 2, a las personas que hubiesen sufrido el delito aunque no estuviesen comprendidas dentro de las indicadas en los apartados anteriores, o bien de oficio, previa consulta con los destinatarios, por el propio Ministerio cuando tuviese conocimiento de situaciones que pudieran dar lugar al reconocimiento del derecho.
Cuando la propuesta de condecoración sea la de Gran Cruz, su resolución se producirá mediante Real Decreto aprobado en Consejo de Ministros a propuesta del Ministerio del Interior.
Cuando la propuesta de condecoración lo sea en el grado de Encomienda, la resolución corresponde al Ministro del Interior y será dictada en nombre de S.M. el Rey.»
Diez. Se modifica la redacción del artículo 65 de la Ley 29/2011, que queda redactado en los siguientes términos:
«La Administración General del Estado deberá, en los términos y condiciones que se determinen en las normas de desarrollo, conceder subvenciones a las asociaciones, fundaciones y entidades sin ánimo de lucro cuyo objeto sea la representación y defensa de los intereses de las víctimas del terrorismo. En el establecimiento de este régimen subvencional se priorizará a aquellas entidades que cuenten con mayor número de víctimas a cuyo fin se establecerá un procedimiento para que, con el consentimiento de los interesados, esta condición pueda hacerse pública al órgano competente para conceder las subvenciones, así como la labor asistencial a favor de las víctimas del terrorismo que se realice por parte de las organizaciones.»
Once. Se adiciona una Disposición transitoria a la Ley 29/2011, con la siguiente redacción:
«Las solicitudes presentadas con anterioridad a la entrada en vigor de la ley y que se encuentren en tramitación serán resueltas de conformidad a la normativa aplicable en el momento de presentación de la solicitud.»
Décima octava. Modificación del Real Decreto-ley 20/2011, de 30 de diciembre, de medidas urgentes en materia presupuestaria, tributaria y financiera para la corrección del déficit público.
Con efectos de la entrada en vigor de esta Ley y vigencia indefinida se introducen las siguientes modificaciones en el Real Decreto-ley 20/2011, de 30 de diciembre, de medidas urgentes en materia presupuestaria, tributaria y financiera para la corrección del déficit público.
Uno. La Disposición adicional decimotercera del Real Decreto-ley 20/2011, de 30 de diciembre, de medidas urgentes en materia presupuestaria, tributaria y financiera para la corrección del déficit público, queda redactada como sigue:
«Disposición adicional decimotercera. Prórroga del programa de recualificación profesional de las personas que agoten su protección por desempleo.
Se prorroga la aplicación de lo establecido en el artículo 6 del Real Decreto-ley 10/2011, de 26 de agosto, de medidas urgentes para la promoción del empleo de los jóvenes, el fomento de la estabilidad en el empleo y el mantenimiento del programa de recualificación profesional de las personas que agoten su protección por desempleo que, a su vez, prorrogaba lo previsto en el artículo 2 del Real Decreto-ley 1/2011, de 11 de febrero, de medidas urgentes para promover la transición al empleo estable y la recualificación profesional de las personas desempleadas, de tal forma que podrán beneficiarse de las ayudas reguladas en la citada normativa las personas inscritas en la Oficinas de Empleo como desempleadas por extinción de su relación laboral que, dentro del período comprendido entre el día 16 de febrero de 2012 y el día 15 de agosto de 2012, ambos inclusive, agoten la prestación por desempleo de nivel contributivo y no tengan derecho a cualquiera de los subsidios por desempleo establecidos en la ley, o bien hayan agotado alguno de estos subsidios, incluidas sus prórrogas.
No podrán acogerse a este programa las personas que hubieran percibido la prestación extraordinaria del programa temporal de protección por desempleo e inserción, ni las personas que hubieran sido o pudieran ser beneficiarias del programa de recualificación profesional de las personas que agoten su protección por desempleo en los términos establecidos en el Real Decreto-ley 1/2011, de 11 de febrero, incluida su prórroga, contemplada en el artículo 6 del Real Decreto-ley 10/2011, ni las que hubieran agotado o pudieran tener derecho a la renta activa de inserción, ni las que hubieran agotado la renta agraria o el subsidio por desempleo, ambos en favor de los trabajadores eventuales del Régimen Especial Agrario de la Seguridad Social, hoy, del Sistema Especial para Trabajadores por Cuenta Ajena Agrarios incluidos en el Régimen General de la Seguridad Social».
Dos. La Disposición adicional decimocuarta del Real Decreto-ley 20/2011, de 30 de diciembre, de medidas urgentes en materia presupuestaria, tributaria y financiera para la corrección del déficit público, queda redactada como sigue:
«Se prorroga para el año 2012, el apartado Dos del artículo 14 del Real Decreto-Ley 8/2010, de 20 de mayo, por el que se adoptan medidas extraordinarias para la reducción del déficit público, en la redacción dada por la disposición final decimoquinta de la ley 39/2010, de 22 de diciembre, de Presupuestos Generales del Estado para el año 2011, con las actualizaciones de las referencias temporales que, a continuación, se detallan.
Para la determinación del ahorro neto y de los ingresos corrientes a efectos de calcular el nivel de endeudamiento, en los términos del precepto citado en el párrafo anterior y del artículo 53 del Texto refundido de la ley reguladora de las Haciendas Locales, aprobado por Real Decreto legislativo 2/2004, de 5 de marzo, se tendrán en cuenta la liquidación del presupuesto del ejercicio 2011 y, en su caso, las cifras deducidas de los estados contables consolidados, con sujeción a aquella norma y a la de estabilidad presupuestaria, descontando, en todo caso, en el cálculo del ahorro neto y en el del nivel de endeudamiento, el efecto que, en ambos casos, pueda tener el importe de los ingresos afectados.
A efectos del cálculo del capital vivo se considerarán todas las operaciones vigentes a 31 de diciembre de 2011, incluido el riesgo deducido de avales e incrementado, en su caso, en los saldos de operaciones formalizadas no dispuestos y en el importe de la operación proyectada o proyectadas en 2012.»
Décima novena. Modificación de la Ley 19/1976, de 29 de mayo, sobre creación de la Orden del Mérito del Cuerpo de la Guardia Civil.
Uno. Se modifica la denominación de la Orden del Mérito del Cuerpo de la Guardia Civil, que pasa a denominarse Orden del Mérito de la Guardia Civil.
Dos. Con efectos desde la entrada en vigor de esta Ley y vigencia indefinida, se modifica el artículo segundo de la Ley 19/1976, de 29 de mayo, sobre creación de la Orden del Mérito del Cuerpo de la Guardia Civil, que queda redactado en los siguientes términos:
«Artículo segundo. La Orden del Mérito de la Guardia Civil tendrá cinco categorías:
– Gran Cruz.
– Cruz de Oro.
– Cruz de Plata.
– Cruz con distintivo rojo.
– Cruz con distintivo blanco.
La Cruz de Oro y la Cruz con distintivo rojo serán pensionadas y se concederán para premiar hechos o servicios realizados con riesgo de la propia vida o demostración de valor personal por parte de sus ejecutantes. La Gran Cruz, la Cruz de Plata y la Cruz con distintivo blanco serán sin pensionar y se concederán por otros servicios o hechos extraordinarios que se determinarán en las normas de desarrollo de la presente Ley.»
Tres. Con efectos desde la entrada en vigor de esta Ley y vigencia indefinida, se añade un tercer párrafo al artículo tercero de la Ley 19/1976, de 29 de mayo, sobre creación de la Orden del Mérito del Cuerpo de la Guardia Civil, con la siguiente redacción:
«La Gran Cruz es la máxima categoría dentro de la Orden del Mérito de la Guardia Civil, y se concederá por real decreto del Consejo de Ministros, a propuesta del Ministro del Interior, y oído el Ministro de Defensa cuando se trate miembros de la Guardia Civil.»
Cuatro. Se faculta al Ministro del Interior para aprobar las modificaciones reglamentarias necesarias para el desarrollo y ejecución de lo dispuesto en esta disposición final.
Vigésima. Modificación de la Ley 38/1992, de 28 de diciembre, de Impuestos Especiales.
Con efectos desde el 1 de enero de 2013 y vigencia indefinida, se introducen las siguientes modificaciones en la Ley 38/1992, de 28 de diciembre, de Impuestos Especiales:
Uno. Se modifica el artículo 7, al que se añade un nuevo apartado 13, que queda redactado de la siguiente forma:
«13. Respecto de la aplicación del tipo impositivo autonómico del Impuesto sobre Hidrocarburos al que se refiere el artículo 50 ter de esta Ley, el devengo del impuesto se producirá conforme a las siguientes reglas:
a) Con carácter general, el devengo del impuesto para la aplicación del tipo impositivo autonómico tendrá lugar conforme a las reglas expresadas en los apartados anteriores de este artículo y en el apartado 2 de dicho artículo 50 ter.
b) Cuando los productos se encuentren fuera de régimen suspensivo en el territorio de una Comunidad Autónoma y sean reexpedidos al territorio de otra Comunidad Autónoma se producirá el devengo del impuesto, exclusivamente en relación con dicho tipo impositivo autonómico, con ocasión de la salida de aquellos del establecimiento en que se encuentren con destino al territorio de la otra Comunidad. Para la aplicación de lo previsto en este párrafo se tendrán en cuenta las siguientes reglas:
1.ª El tipo impositivo autonómico aplicable será el establecido por la Comunidad Autónoma de destino.
2.ª Cuando la Comunidad Autónoma de destino no hubiera establecido tipo impositivo autonómico se entenderá que el devengo se produce con aplicación de un tipo impositivo autonómico cero.
3.ª La regularización de las cuotas que se devenguen conforme a lo establecido en esta letra b) respecto de las previamente devengadas se efectuará conforme a lo previsto en el apartado 3 del artículo 50 ter.
No se producirá devengo del tipo impositivo autonómico cuando ni la Comunidad Autónoma de origen ni la Comunidad Autónoma de destino lo hubieran establecido.»
Dos. Se modifica el apartado 2 del artículo 8, al que se añade una nueva letra f), que queda redactada de la siguiente forma:
«f) En los casos previstos en el apartado 13.b) del artículo 7, los titulares de los establecimientos desde los que se produzca la reexpedición de los productos con destino al territorio de una Comunidad Autónoma distinta de aquélla en que se encuentran.»
Tres. Se modifica el artículo 50, que queda redactado de la siguiente forma:
«Artículo 50. Tipos impositivos.
1. El tipo de gravamen aplicable se formará, en su caso, mediante la suma de los tipos estatal y autonómico. Los tipos autonómicos serán los que resulten aplicables conforme a lo establecido en el artículo 50 ter de esta Ley. Los tipos estatales son los que se indican en las tarifas y epígrafes que figuran a continuación. Para los epígrafes 1.1, 1.2.1, 1.2.2, 1.3, 1.4, 1.5, 1.11, 1.13, 1.14 y 1.15, el tipo estatal está formado por la suma de un tipo general y otro especial.
Tarifa 1.ª:
Epígrafe 1.1. Gasolinas con plomo: 433,79 euros por 1.000 litros de tipo general y 24 euros por 1.000 litros de tipo especial.
Epígrafe 1.2.1. Gasolinas sin plomo de 98 I.O. o de octanaje superior: 431,92 euros por 1.000 litros de tipo general y 24 euros por 1.000 litros de tipo especial.
Epígrafe 1.2.2. Las demás gasolinas sin plomo: 400,69 euros por 1.000 litros de tipo general y 24 euros por 1.000 litros de tipo especial.
Epígrafe 1.3. Gasóleos para uso general: 307 euros por 1.000 litros de tipo general y 24 euros por 1.000 litros de tipo especial.
Epígrafe 1.4. Gasóleos utilizables como carburante en los usos previstos en el apartado 2 del artículo 54 y, en general, como combustible: 78,71 euros por 1.000 litros de tipo general y 6 euros por 1.000 litros de tipo especial.
Epígrafe 1.5. Fuelóleos: 14,00 euros por tonelada de tipo general y 1 euro por tonelada de tipo especial.
Epígrafe 1.6. GLP para uso general: 57,47 euros por tonelada.
Epígrafe 1.8. GLP destinados a usos distintos a los de carburante: 0 euros por tonelada.
Epígrafe 1.9. Gas natural para uso general: 1,15 euros por gigajulio.
Epígrafe 1.10. Gas natural destinado a usos distintos a los de carburante, así como el gas natural destinado al uso como carburante en motores estacionarios: 0 euros por gigajulio.
Epígrafe 1.11. Queroseno para uso general: 306 euros por 1.000 litros de tipo general y 24 euros por 1.000 litros de tipo especial.
Epígrafe 1.12. Queroseno destinado a usos distintos de los de carburante: 78,71 euros por 1.000 litros.
Epígrafe 1.13. Bioetanol y biometanol para uso como carburante: 400,69 euros por 1.000 litros de tipo general y 24 euros por 1.000 litros de tipo especial.
Epígrafe 1.14. Biodiesel para uso como carburante: 307 euros por 1.000 litros de tipo general y 24 euros por 1.000 litros de tipo especial.
Epígrafe 1.15. Biodiesel y biometanol para uso como combustible: 78,71 euros por 1.000 litros de tipo general y 6 euros por 1.000 litros de tipo especial.
Tarifa 2.ª:
Epígrafe 2.1. Alquitranes de hulla y demás productos clasificados en el código NC 2706: el tipo establecido para el epígrafe 1.5.
Epígrafe 2.2. Benzoles y demás productos clasificados en los códigos NC 2707.10, 2707.20, 2707.30 y 2707.50: el tipo establecido para el epígrafe 1.1.
Epígrafe 2.3. Aceites de creosota clasificados en el código NC 2707.91.00: el tipo establecido para el epígrafe 1.5.
Epígrafe 2.4. Aceites brutos y demás productos clasificados en el código NC 2707 y no comprendidos en los epígrafes 2.2 y 2.3: el tipo establecido para el epígrafe 1.5.
Epígrafe 2.5. Aceites crudos condensados de gas natural, clasificados en el código NC 2709, para uso general: el tipo establecido para el epígrafe 1.11.
Epígrafe 2.6. Aceites crudos condensados de gas natural, clasificados en el código NC 2709, destinados a usos distintos a los de carburante: el tipo establecido para el epígrafe 1.12.
Epígrafe 2.7. Los demás productos clasificados en el código NC 2709: el tipo establecido para el epígrafe 1.5.
Epígrafe 2.8. Gasolinas especiales y demás productos clasificados, con independencia de su destino, en los códigos NC 2710.11.11, 2710.11.15, 2710.11.21, 2710.11.25, 2710.11.70 y 2710.11.90: el tipo establecido para el epígrafe 1.1.
Epígrafe 2.9. Aceites medios distintos de los querosenos clasificados, con independencia de su destino, en los códigos NC 2710.19.11, 2710.19.15 y 2710.19.29, para uso general: el tipo establecido para el epígrafe 1.11.
Epígrafe 2.10. Aceites medios distintos de los querosenos clasificados, con independencia de su destino, en los códigos NC 2710.19.11, 2710.19.15 y 2710.19.29 y destinados a usos distintos a los de carburante: el tipo establecido para el epígrafe 1.12.
Epígrafe 2.11. Aceites pesados y preparaciones clasificados, con independencia de su destino, en el código NC 2710.19.81, 2710.19.83, 2710.19.85, 2710.19.87, 2710.19.91, 2710.19.93 y 2710.19.99: el tipo establecido para el epígrafe 1.5.
Epígrafe 2.12. Hidrocarburos gaseosos clasificados en el código NC 2711.29.00 y productos clasificados en el código NC 2705, para uso general: el tipo establecido para el epígrafe 1.9.
Epígrafe 2.13. Hidrocarburos gaseosos clasificados en el código NC 2711.29.00 y productos clasificados en el código NC 2705, destinados a usos distintos a los de carburante, así como el biogás destinado al uso como carburante en motores estacionarios: el tipo establecido para el epígrafe 1.10.
Para la aplicación de este epígrafe se considera «biogás» el combustible gaseoso producido a partir de la biomasa y/o a partir de la fracción biodegradable de los residuos y que puede ser purificado hasta alcanzar una calidad similar a la del gas natural, para uso como biocarburante, o el gas producido a partir de madera.
Epígrafe 2.14. Vaselina y demás productos clasificados en el código NC 2712: el tipo establecido para el epígrafe 1.5.
Epígrafe 2.15. Mezclas bituminosas clasificadas en el código NC 2715: el tipo establecido para el epígrafe 1.5.
Epígrafe 2.16. Hidrocarburos de composición química definida, incluidos en el ámbito objetivo del impuesto y clasificados en los códigos NC 2901 y 2902: el tipo establecido para el epígrafe 1.1.
Epígrafe 2.17. Preparaciones clasificadas en el código NC 3403: el tipo establecido para el epígrafe 1.5.
Epígrafe 2.18. Preparaciones antidetonantes y aditivos clasificados en el código NC 3811: el tipo establecido para el epígrafe 1.1.
Epígrafe 2.19. Mezclas de alquilbencenos y mezclas de alquilnaftalenos clasificadas en el código NC 3817: el tipo establecido para el epígrafe 1.5.
2. A los productos comprendidos en los apartados 2 y 3 del artículo 46 se les aplicarán los tipos impositivos correspondientes a aquellos hidrocarburos comprendidos en la tarifa 1ª del impuesto cuya capacidad de utilización resulte equivalente, según se deduzca del expediente de autorización de utilización a que se refiere el apartado 1 del artículo 54 de esta Ley.
3. Sin perjuicio de lo establecido en el apartado 7 del artículo 8, la aplicación de los tipos reducidos fijados para los epígrafes 1.4, 1.12 y 2.10 queda condicionada al cumplimiento de las condiciones que se establezcan reglamentariamente en cuanto a la adición de trazadores y marcadores, así como a la utilización realmente dada a los productos. Tales condiciones podrán comprender el empleo de medios de pago específicos.»
Cuatro. Se introduce un nuevo artículo 50 ter, que queda redactado de la siguiente forma:
«Artículo 50 ter. Tipo impositivo autonómico.
1. Las Comunidades Autónomas pueden establecer un tipo impositivo autonómico del Impuesto sobre Hidrocarburos para gravar suplementariamente los productos a los que resulten de aplicación los tipos impositivos comprendidos en los epígrafes 1.1, 1.2.1, 1.2.2, 1.3, 1.4, 1.5, 1.11, 1.13, 1.14 y 1.15 del apartado 1 del artículo 50 que se consuman en sus respectivos territorios. La aplicación del tipo impositivo autonómico se efectuará de acuerdo con lo establecido en esta Ley y con los límites y condiciones establecidos en la normativa reguladora de la financiación de las Comunidades Autónomas.
2. El tipo impositivo autonómico a aplicar será el que corresponda a la Comunidad Autónoma en cuyo territorio se produzca el consumo final de los productos gravados. A efectos de lo establecido en este artículo, se entiende que los productos se consumen en el territorio de una Comunidad Autónoma cuando sean recibidos en alguno de los siguientes lugares:
a) Establecimientos de venta al público al por menor situados en su territorio. A estos efectos, se consideran establecimientos de venta al público al por menor los establecimientos que cuentan con instalaciones fijas para la venta al público para consumo directo de los productos y que, en su caso, están debidamente autorizadas conforme a la normativa vigente en materia de distribución de productos petrolíferos.
b) Establecimientos de consumo propio situados en su territorio, para ser consumidos en los mismos sin perjuicio de la aplicación, si procede, de lo establecido en el apartado 13.b) del artículo 7. A estos efectos, se consideran establecimientos de consumo propio los lugares o instalaciones en los que los productos se destinan al consumo y que cuentan con los elementos necesarios para su recepción y utilización así como, en su caso, con las autorizaciones administrativas que procedan.
c) Cualquier establecimiento situado en su territorio distinto de una fábrica o depósito fiscal con cualquier propósito, sin perjuicio de la aplicación, si procede, de lo establecido en el apartado 13.b) del artículo 7.
3. Los sujetos pasivos a que se refiere el apartado 2.f) del artículo 8 tendrán derecho a deducir, de las cuotas que se devenguen por aplicación de lo establecido en el apartado 13.b) del artículo 7, aquellas cuotas correspondientes a la aplicación del tipo autonómico que previamente hayan soportado por repercusión o incorporadas en el precio. Cuando el importe de las cuotas deducibles exceda, en cada período impositivo, el de las devengadas, el sujeto pasivo tendrá derecho a la devolución o compensación de la diferencia en las condiciones que reglamentariamente se determinen.
4. Cuando se cometa una irregularidad en el movimiento en régimen suspensivo entre el ámbito territorial comunitario no interno y el ámbito territorial interno, la responsabilidad de la persona que haya garantizado el pago, no comprenderá el pago del importe correspondiente al tipo impositivo autonómico, a menos que haya participado en la irregularidad o el delito.»
Cinco. Se modifican los apartados 4 y 6 del artículo 52 bis, que quedan redactados de la siguiente forma:
«4. La base de la devolución estará constituida por el resultado de multiplicar alguno de los coeficientes correctores a que se refiere el apartado 5 siguiente por el volumen de gasóleo que haya sido adquirido por el interesado y destinado a su utilización como carburante en los vehículos mencionados en el apartado 2 anterior, incluso contenido en mezclas con biocarburantes. La base así determinada se expresará en miles de litros. Para la aplicación del tipo autonómico de la devolución, la base de la devolución estará constituida por el resultado de multiplicar alguno de los coeficientes correctores a que se refiere el apartado 5 siguiente por el volumen de gasóleo que haya sido adquirido por el interesado en el territorio de la Comunidad Autónoma que lo haya establecido y haya sido destinado a su utilización como carburante en los vehículos mencionados en el apartado 2 anterior, incluso contenido en mezclas con biocarburantes. La base así determinada se expresará en miles de litros.»
«6.a) El tipo estatal de la devolución, expresado en euros por 1.000 litros, será el importe positivo resultante de restar la cantidad de 306 euros del tipo general del epígrafe 1.3 vigente en el momento de generarse el derecho a la devolución.
Las Comunidades Autónomas que hayan establecido un tipo impositivo autonómico podrán establecer un tipo autonómico de la devolución para los productos que hayan sido adquiridos en su territorio, que no podrá ser superior a dicho tipo impositivo autonómico.
b) El tipo estatal de la devolución podrá ser modificado por la Ley de Presupuestos Generales del Estado.
c) La cuantía máxima de la devolución a percibir no excederá de la que correspondería a 50.000 litros por vehículo y año, salvo que se trate de taxis, en cuyo caso la cuantía máxima de la devolución no excederá de la que correspondería a 5.000 litros por taxi y año. Por el Ministro de Hacienda y Administraciones Públicas se podrá disponer el fraccionamiento de estos límites para su aplicación en relación con períodos de tiempo inferiores al año.»
Vigésima primera. Modificación de la Ley 21/2003, de 7 de julio, de Seguridad Aérea.
1. Con efectos desde la entrada en vigor de esta Ley y vigencia indefinida, se modifica la Ley 21/2003, de 7 de julio, de Seguridad Aérea en los siguientes términos:
Uno. Se modifica el apartado 4 del artículo 72 Definiciones de la Ley 21/2003, de 7 de julio, de Seguridad Aérea, que quedará redactado como sigue:
«4. Vuelos de entrenamiento: los vuelos realizados para el adiestramiento o calificación de pilotos con objeto de revalidar y conservar las licencias.»
Dos. Se modifican los apartados 3, 4, 5 y 6 del artículo 75 de la Ley 21/2003, de 7 de julio, de Seguridad Aérea, que quedarán redactados como sigue:
«3. Las cuantías unitarias por aeropuerto serán las siguientes:
|
Aeropuerto |
Tarifa unitaria de aterrizaje |
Tarifa unitaria servicios tránsito de aeródromo |
|
Madrid-Barajas |
7,73 € |
3,24 € |
|
Barcelona-El Prat |
6,81 € |
3,22 € |
|
Alicante, Gran Canaria, Málaga-Costa del Sol, Palma de Mallorca y Tenerife Sur |
6,46 € |
3,16 € |
|
Bilbao, Fuerteventura, Girona, Ibiza, Lanzarote, Menorca, Santiago, Sevilla, Tenerife Norte y Valencia |
5,42 € |
2,90 € |
|
A Coruña, Almería, Asturias, FGL Granada-Jaén, Jerez, La Palma, Murcia-San Javier, Reus, Santander, Vigo y Zaragoza |
3,97 € |
2,27 € |
|
Albacete, Algeciras, Badajoz, Burgos, Ceuta, Córdoba, Cuatro Vientos, Hierro, Huesca-Pirineos, La Gomera, León, Logroño, Melilla, Pamplona, Sabadell, Salamanca, San Sebastián, Son Bonet, Torrejón, Valladolid, Vitoria y resto de aeropuertos gestionados por Aena Aeropuertos S.A. |
2,62 € |
1,93 € |
Cuando los servicios de tránsito de aeródromo se presten bajo la modalidad de servicio de información de vuelo de aeródromo (AFIS) las cuantías unitarias de la tarifa de servicio de tránsito de aeródromo se reducirán en un sesenta por ciento.»
«4. No obstante, el importe mínimo a pagar por operación en concepto de aterrizaje y de servicios de transito de aeródromo será el siguiente:
|
Aeropuerto |
Importe mínimo por operación-aterrizaje |
Importe mínimo por operación-servicios tránsito de aeródromo |
|
Madrid-Barajas |
154,62 € |
71,88 € |
|
Barcelona-El Prat |
136,19 € |
71,48 € |
|
Alicante, Gran Canaria, Málaga-Costa del Sol, Palma de Mallorca y Tenerife Sur |
96,92 € |
51,20 € |
|
Bilbao, Fuerteventura, Girona, Ibiza, Lanzarote, Menorca, Santiago, Sevilla, Tenerife Norte y Valencia |
19,54 € |
10,46 € |
|
A Coruña, Almería, Asturias, FGL Granada- Jaén, Jerez, La Palma, Murcia-San Javier, Reus, Santander, Vigo y Zaragoza |
10,82 € |
6,18 € |
|
Albacete, Algeciras, Badajoz, Burgos, Ceuta, Córdoba, Cuatro Vientos, Hierro, Huesca- Pirineos, La Gomera, León, Logroño, Melilla, Pamplona, Sabadell, Salamanca, San Sebastián, Son Bonet, Torrejón, Valladolid, Vitoria y resto de aeropuertos gestionados por Aena Aeropuertos S.A. |
5,86 € |
4,31 € |
Los importes mínimos por operación en concepto de aterrizaje y servicios de tránsito de aeródromo no serán de aplicación a los vuelos de escuela y entrenamiento.»
«5. A los vuelos de escuela y entrenamiento se les aplicará las siguientes cuantías unitarias:
|
Aeropuerto |
Tarifa unitaria de aterrizaje |
Tarifa unitaria de servicios de tránsito de aeródromo |
|
Madrid-Barajas |
5,45 € |
3,59 € |
|
Barcelona-El Prat |
5,25 € |
3,57 € |
|
Alicante, Gran Canaria, Málaga-Costa del Sol, Palma de Mallorca y Tenerife Sur |
4,71 € |
3,51 € |
|
Bilbao, Fuerteventura, Girona, Ibiza, Lanzarote, Menorca, Santiago, Sevilla, Tenerife Norte y Valencia |
4,71 € |
3,22 € |
|
A Coruña, Almería, Asturias, FGL Granada- Jaén, Jerez, La Palma, Murcia-San Javier, Reus, Santander, Vigo y Zaragoza |
4,21 € |
2,53 € |
|
Albacete, Algeciras, Badajoz, Burgos, Ceuta, Córdoba, Cuatro Vientos, Hierro, Huesca- Pirineos, La Gomera, León, Logroño, Melilla, Pamplona, Sabadell, Salamanca, San Sebastián, Son Bonet, Torrejón, Valladolid, Vitoria y resto de aeropuertos gestionados por Aena Aeropuertos S.A. |
3,72 € |
2,14 € |
Para los vuelos de entrenamiento y escuela en maniobras u operaciones de simulación de aterrizaje y despegue sobre pista o campo de vuelo, y a los efectos de la tarifa de aterrizaje anterior, se aplicará la siguiente tabla de equivalencia entre el peso del avión y el número de aterrizajes a contabilizar en periodos de 90 minutos o fracción, independientemente del número de maniobras o pasadas que se realicen:
|
Tramos de peso |
Coeficiente multiplicador por periodos de |
|
|
Porciones de peso en Kg. |
||
|
Desde |
Hasta |
|
|
1 |
4.999 |
2 |
|
5.000 |
40.000 |
6 |
|
40.001 |
100.000 |
5 |
|
100.001 |
250.000 |
4 |
|
250.001 |
300.000 |
3 |
|
300.001 |
|
2 |
Las operaciones reguladas en el caso de vuelos de entrenamiento y de escuela estarán condicionadas en todo caso a la autorización preceptiva del aeropuerto en base a las posibilidades operativas, dando prioridad absoluta a la actividad aeroportuaria normal.»
«6. En operaciones fuera del horario operativo del aeropuerto, en aquellos aeropuertos en que esté autorizado el servicio, se aplicarán las siguientes cuantías unitarias, cualquiera que sea el grupo en que quede englobada dicha instalación:
Tarifa unitaria aterrizaje: 28,67 €/Tm.
Tarifa unitaria servicios de tránsito de aeródromo: las cuantías recogidas en el apartado 4 del presente artículo, correspondientes al importe mínimo por operación en servicios tránsito de aeródromo.»
Tres. Se modifica el artículo 76 de la Ley 21/2003, de 7 de julio, de Seguridad Aérea, que quedará redactado como sigue:
«Artículo 76. Recargo por ruido.
En los aeropuertos de Alicante, Barcelona, Madrid-Barajas, Málaga, Palma de Mallorca, Gran Canaria, Tenerife Sur, Valencia, Bilbao, Ibiza, Sevilla y Tenerife Norte para los aviones de reacción subsónicos civiles, los importes de las cuantías unitarias que resulten de aplicación en función de lo previsto en los apartados 3 y 4 del artículo anterior se incrementarán en los siguientes porcentajes en función de la franja horaria en que se produzca el aterrizaje o el despegue y de la clasificación acústica de cada aeronave:
|
Clasificación acústica |
De 07:00 a 22:59 (hora local) – Porcentaje |
De 23:00 a 06:59 (hora local) – Porcentaje |
|
Categoría 1 |
70 |
140 |
|
Categoría 2 |
20 |
40 |
|
Categoría 3 |
0 |
0 |
|
Categoría 4 |
0 |
0 |
La categoría acústica de cada aeronave se determinará conforme a los siguientes criterios:
a) Categoría 1: aeronaves cuyo margen acumulado sea inferior a 5 EPNdB.
b) Categoría 2: aeronaves cuyo margen acumulado esté comprendido entre 5 EPNdB y 10 EPNdB.
c) Categoría 3: aeronaves cuyo margen acumulado sea superior a 10 EPNdB e inferior a 15 EPNdB.
d) Categoría 4: aeronaves cuyo margen acumulado sea igual o superior a 15 EPNdB.
A estos efectos las compañías aéreas presentarán, antes de la salida del vuelo, copia del certificado oficial de ruido ajustado a lo establecido en el Anexo 16 al Convenio sobre Aviación Civil Internacional, relativo a la protección del medio ambiente, o documento de similares características y validez expedido por el estado de matrícula de la aeronave.
Para aquellas aeronaves cuyos operadores no faciliten certificado de ruido serán consideradas dentro de la misma categoría que una aeronave del mismo fabricante, modelo, tipo y número de motores para el que sí se disponga de certificado a efectos de la clasificación acústica, hasta la acreditación del certificado correspondiente».
Cuatro. Se modifican los apartados 1 y 2 del artículo 78 de la Ley 21/2003, de 7 de julio, de Seguridad Aérea, que quedarán redactados como sigue:
«1. Las cuantías serán las siguientes por cada pasajero:
|
Aeropuerto |
Cuantía Pasajero |
Cuantía de Seguridad Aeroportuaria |
Cuantía PMR |
|
|
EEE |
Internacional |
|||
|
Madrid-Barajas |
14,44 € |
20,44 € |
3,46 € |
0,56 € |
|
Barcelona-El Prat |
13,44 € |
16,44 € |
3,46 € |
0,56 € |
|
Alicante, Gran Canaria, Palma de Mallorca, Málaga-Costa del Sol y Tenerife Sur |
5,99 € |
9,03 € |
3,46 € |
0,56 € |
|
Bilbao, Fuerteventura, Girona, Ibiza, Lanzarote, Menorca, Santiago, Sevilla, Tenerife Norte y Valencia |
5,11 € |
7,67 € |
3,46 € |
0,56 € |
|
A Coruña, Almería, Asturias, FGL Granada-Jaén, Jerez, La Palma, Murcia-San Javier, Reus, Santander, Vigo y Zaragoza |
3,66 € |
5,49 € |
3,46 € |
0,56 € |
|
Albacete, Algeciras, Badajoz, Burgos, Ceuta, Córdoba, Cuatro Vientos, El Hierro, Huesca-Pirineos, La Gomera, León, Logroño, Melilla, Pamplona, Sabadell, Salamanca, San Sebastián, Son Bonet, Torrejón, Valladolid, Vitoria y resto de aeropuertos gestionados por Aena Aeropuertos S.A. |
2,40 € |
3,59 € |
3,46 € |
0,56 € |
La cuantía de seguridad aeroportuaria, cuando se trate de vuelos interinsulares, será de 1,73 euros por pasajero.»
«2. Por los servicios relacionados con la inspección y control de equipajes que presta en los recintos aeroportuarios la Agencia Estatal de Seguridad Aérea, creada por Real Decreto 184/2008, de 8 de febrero, las cuantías correspondientes a la prestación de seguridad aeroportuaria se incrementarán en 0,380000 euros por cada pasajero de salida.
Este incremento de cuantía, denominado factor de la Agencia Estatal de Seguridad Aérea (F), tendrá vigencia indefinida.
La sociedad mercantil estatal «AENA Aeropuertos, S.A.», una vez liquidada la prestación pública por salida de pasajeros, PMRs y seguridad, transferirá directamente a la Agencia Estatal de Seguridad Aérea el importe que resulte de la aplicación de la siguiente fórmula:
|
N.º de pasajeros de salida x F |
El factor F se actualizará acumulativamente de acuerdo con los coeficientes que para la elevación general de tasas fijen las Leyes de Presupuestos Generales del Estado de cada año.»
Cinco. Se modifica el artículo 80 de la Ley 21/2003, de 7 de julio, de Seguridad Aérea, que quedará redactado como sigue:
«Artículo 80. Importe.
El importe se determinará a razón de 0,017471 euros por cada kilogramo de mercancía cargada o descargada en el recinto aeroportuario.»
Seis. Se modifica el artículo 83 de la Ley 21/2003, de 7 de julio, de Seguridad Aérea, que quedará redactado como sigue:
«Artículo 83. Importe.
1. En los aeropuertos de Madrid-Barajas, Barcelona-El Prat, Alicante, Gran Canaria, Málaga-Costa del Sol, Palma de Mallorca, Tenerife Sur, Bilbao, Fuerteventura, Girona, Ibiza, Lanzarote, Menorca, Santiago, Sevilla, Tenerife Norte y Valencia, la cuantía de la contraprestación de estacionamiento, en función del peso y el tiempo de permanencia de la aeronave en posición de estacionamiento, será el resultado de aplicar la siguiente fórmula:
E = e*Tm*Ft
Donde:
E: contraprestación total a pagar por el servicio e: coeficiente unitario.
Tm: peso máximo al despegue de la aeronave, expresado en toneladas.
Ft: tiempo de estancia de la aeronave en posición de estacionamiento expresado en periodos de 15 minutos o fracción.
El importe de los coeficientes unitarios será el siguiente:
|
Aeropuerto |
Por periodos de 15 minutos o fracción |
|
Madrid-Barajas |
0,117760 € |
|
Barcelona-El Prat |
0,112333 € |
|
Alicante, Gran Canaria, Málaga-Costa del Sol, Palma de Mallorca y Tenerife Sur |
0,111309 € |
|
Bilbao, Fuerteventura, Girona, Ibiza, Lanzarote, Menorca, Santiago, Sevilla, Tenerife Norte y Valencia |
0,061850 € |
No obstante lo anterior, el importe máximo de la contraprestación de estacionamiento en los aeropuertos anteriormente citados no podrá ser superior a 1.488 € durante las primeras 24 horas de estancia.
A partir del segundo día de estancia, el importe máximo de la contraprestación de estacionamiento en los aeropuertos anteriormente citados no podrá ser superior a 811 € por cada 24 horas de estacionamiento adicionales.
2. En los aeropuertos de A Coruña, Albacete, Algeciras, Almería, Asturias, Badajoz, Burgos, Ceuta, Córdoba, Cuatro Vientos, Hierro, Huesca-Pirineos, FGL Granada-Jaén, Jerez, La Gomera, La Palma, León, Logroño, Melilla, Murcia-San Javier, Pamplona, Reus, Sabadell, Salamanca, San Sebastián, Santander, Son Bonet, Torrejón, Valladolid, Vigo, Vitoria, Zaragoza, y resto de aeropuertos gestionados por Aena Aeropuertos S.A. las cuantías de la contraprestación de estacionamiento aplicable por día o fracción de tiempo de estacionamiento superior a tres horas, en función del peso máximo al despegue de la aeronave, serán las siguientes:
|
Aeronaves hasta 10 Tm |
Aeronaves de más de 10 Tm |
|
|
Hasta 2 |
De 2 a 10 |
0,827930 |
|
1,434126 |
7,169151 |
|
|
Euros por aeronave/día o fracción. |
Euros por Tm. por día o fracción. |
|
3. Para aplicar los importes anteriores será requisito necesario que, durante el periodo de estacionamiento, la aeronave no esté ocupando posición de pasarela telescópica o de hangar.
A los efectos de aplicación de esta contraprestación se considera tiempo de estacionamiento el tiempo entre calzos.
Entre las cero y las seis, hora local, se interrumpirá el cómputo de tiempo a efectos de aplicación de la contraprestación».
Siete. Se modifica el artículo 85 de la Ley 21/2003, de 7 de julio, de Seguridad Aérea, que quedará redactado como sigue:
«Artículo 85. Importe.
El importe de la contraprestación se determinará aplicando al volumen de combustible o lubricante suministrado, las cuantías unitarias siguientes:
Queroseno: 0,003938 €/ litro.
Gasolina de Aviación: 0,006700 €/ litro.
Lubricantes: 0,006700 €/ litro.»
Ocho. Se modifica el artículo 87 de la Ley 21/2003, de 7 de julio, de Seguridad Aérea, que quedará redactado como sigue:
«Artículo 87. Importe.
El importe de la presente contraprestación, en función del peso y el tiempo de permanencia de la aeronave en posición de pasarela, será el resultado de aplicar la siguiente fórmula:
P = (p1 + p2*Tm)*Ft
Donde:
P: contraprestación total a pagar por el servicio.
p1: cuantía unitaria por tiempo de estancia en pasarela.
p2: cuantía por peso de la aeronave y tiempo de estancia en pasarela.
Tm: peso máximo al despegue de la aeronave, expresado en toneladas, conforme se define en el artículo 2 de la presente Ley.
Ft: tiempo de estancia de la aeronave en pasarela expresado en periodos de 15 minutos o fracción.
Las cuantías unitarias de los elementos p1 y p2 son las siguientes:
|
|
p1 |
p2 |
|
Madrid-Barajas |
30,6278 € |
0,00 € |
|
Barcelona-El Prat |
27,7683 € |
0,00 € |
|
Alicante, Gran Canaria, Málaga-Costa del Sol, Palma de Mallorca y Tenerife Sur |
24,4207 € |
0,00 € |
|
Bilbao, Fuerteventura, Girona, Ibiza, Lanzarote, Menorca, Santiago, Sevilla, Tenerife Norte y Valencia |
23,4814 € |
0,00 € |
|
A Coruña, Almería, Asturias, FGL Granada-Jaén, Jerez, La Palma, Murcia-San Javier, Reus, Santander, Vigo y Zaragoza |
23,4814 € |
0,00 € |
|
Albacete, Algeciras, Badajoz, Burgos, Ceuta, Córdoba, Cuatro Vientos, Hierro, Huesca-Pirineos, La Gomera, León, Logroño, Melilla, Pamplona, Sabadell, Salamanca, San Sebastián, Son Bonet, Torrejón, Valladolid, Vitoria y resto de aeropuertos gestionados por Aena Aeropuertos S.A. |
23,4814 € |
0,00 € |
Para aquellas aeronaves susceptibles de ser conectadas a dos pasarelas simultáneamente que estacionen en posiciones de pasarelas especialmente diseñadas para esta finalidad, las cuantías anteriores se incrementarán en un veinticinco por ciento.
Entre las cero y las seis, hora local, cuando, encontrándose una aeronave ocupando una posición de pasarela, la compañía explotadora solicite una posición de estacionamiento en remoto y no hubiera en ese momento ninguna disponible, o si por razones operativas, no procediera el cambio a juicio de la autoridad aeronáutica, el aeropuerto desconectará de la aeronave el servicio de pasarelas e interrumpirá el cómputo de tiempo a efectos de aplicación de la tarifa. No obstante, la compañía quedará obligada a trasladar la aeronave a un puesto de estacionamiento en remoto, en el momento en que se le indique, por haber quedado libre o haber desaparecido las razones anteriores. En caso de no realizar esta operación y, por ello, no poder ser utilizada la pasarela por otros usuarios que la solicitaran, se le aplicará la cuantía que hubiera correspondido a esas utilizaciones no efectuadas.»
Nueve. Se modifica el artículo 89 de la Ley 21/2003, de 7 de julio, de Seguridad Aérea, que quedará redactado como sigue:
«Artículo 89. Importe.
1. La cuantía de la contraprestación regulada en esta sección será la siguiente, en función de los servicios de asistencia en tierra que lleve a cabo el obligado al pago:
a) Asistencia a la aeronave:
1.1. Servicios de rampa.
1.1.1. Servicios de asistencia de equipajes, grupo de servicios número 3: 58,05 € por cada aeronave cuyo peso máximo al despegue esté comprendido entre 56 y 71 toneladas métricas o fracción.
1.1.2. Servicios de asistencia a las operaciones en pista, grupo de servicios número 5: 18,43 € por cada aeronave cuyo peso máximo al despegue esté comprendido entre 56 y 71 toneladas métricas o fracción.
1.2. Servicios de asistencia de limpieza y servicio de la aeronave, grupo de servicios número 6 excepto la asistencia de limpieza de la nieve, el hielo y la escarcha de la aeronave: 10,12 € por cada aeronave cuyo peso máximo al despegue esté comprendido entre 56 y 71 toneladas métricas o fracción.
1.3. Servicios de asistencia de limpieza de la nieve, el hielo y la escarcha de la aeronave, parte del grupo 6.b): 2,75 € por cada aeronave cuyo peso máximo al despegue esté comprendido entre 56 y 71 toneladas métricas o fracción.
1.4. Servicios de asistencia de mantenimiento en línea, grupo de servicios número 8: 2,75 € por cada aeronave cuyo peso máximo al despegue esté comprendido entre 56 y 71 toneladas métricas o fracción.
Cuando el peso máximo al despegue de las aeronaves no se encuentre comprendido entre 56 y 71 toneladas métricas, a las cuantías anteriores se le aplicarán los siguientes coeficientes en función del intervalo de peso en el que se encuentre incluida la aeronave:
|
Intervalo de peso máximo al despegue (Tm) |
Coeficiente |
|
Aeronaves entre 0 y menos de 16 Tm |
13,16% |
|
Aeronaves entre 16 y menos de 22 Tm o fracción |
17,51% |
|
Aeronaves entre 22 y menos de 38 Tm o fracción |
28,04% |
|
Aeronaves entre 38 y menos de 56 Tm o fracción |
77,88% |
|
Aeronaves entre 56 y menos de 72 Tm o fracción |
100,00% |
|
Aeronaves entre 72 y menos de 86 Tm o fracción |
120,33% |
|
Aeronaves entre 86 y menos de 121 Tm o fracción |
135,30% |
|
Aeronaves entre 121y menos de 164 Tm o fracción |
150,28% |
|
Aeronaves entre 164 y menos de 191 Tm o fracción |
179,37% |
|
Aeronaves entre 191 y menos de 231 Tm o fracción |
202,50% |
|
Aeronaves entre 231 y menos de 300 Tm o fracción |
264,81% |
|
Aeronaves de más de 300 Tm o fracción |
314,64% |
b) Servicios de asistencia al pasajero, grupo de servicios número 2: 0,0404 € por cada pasajero de salida.»
2. Prestación pública por salida de pasajeros en el Aeropuerto de Girona–Costa Brava.
No obstante lo dispuesto en el artículo 73 de la Ley 21/2003, de 7 de julio, de Seguridad Aérea, y con efectos desde la entrada en vigor de esta Ley de Presupuestos Generales del Estado para 2012 y vigencia hasta el 31 de diciembre de 2012, las cuantías correspondientes a la contraprestación por salida de pasajeros en el Aeropuerto de Girona - Costa Brava serán las siguientes: 3,66 € para Pasajero EEE y 5,49 € para Pasajero Internacional.
Vigésima segunda. Modificación del artículo 157 del Real Decreto Legislativo 2/2011, de 5 de septiembre, por el que se aprueba el texto refundido de la Ley de Puertos y de la Marina Mercante.
Con efectos a partir de la entrada en vigor de la presente Ley y vigencia indefinida se propone la modificación del artículo 157 del Real Decreto Legislativo 2/2011, que quedará redactado en los siguientes términos:
«Artículo 157. Cálculo de la rentabilidad anual.
A los efectos previstos en el artículo anterior, la rentabilidad anual de cada Autoridad Portuaria y del conjunto del sistema portuario se calculará tomando como base el cociente de dividir:
a) El resultado del ejercicio después de impuestos, excluyendo del mismo el deterioro y resultado por enajenaciones del inmovilizado y otros resultados que tengan el carácter de extraordinarios, así como los ingresos financieros correspondientes a la incorporación al activo de gastos financieros y el saldo del Fondo de Compensación lnterportuario aportado o recibido, y
b) El activo no corriente neto medio del ejercicio, excluyendo el inmovilizado en curso, el inmovilizado correspondiente a terrenos y bienes naturales sobre los que no se haya desarrollado ningún tipo de actividad durante el ejercicio, los activos por impuestos diferidos y los deudores comerciales no corrientes. La incorporación de una nueva infraestructura portuaria básica (dique de abrigo, esclusa y acceso marítimo) se prorrateará durante siete años desde la fecha del acta de recepción».
Vigésima tercera. Modificación del Real Decreto Legislativo 2/2011, de 5 de septiembre, por el que se aprueba el texto refundido de la Ley de Puertos y de la Marina Mercante.
Con efectos a partir de la entrada en vigor de la presente Ley y vigencia indefinida se modifica la letra b) del apartado 3 del artículo 159 (Fondo de Compensación Interportuario) del Real Decreto Legislativo 2/2011, de 5 de septiembre, por el que se aprueba el Texto Refundido de la Ley de Puertos y de la Marina Mercante, que queda redactado en los siguientes términos:
«3. La cuantía anual de la aportación de cada Autoridad Portuaria al Fondo de Compensación Interportuario se determinará por agregación de los siguientes importes correspondientes al ejercicio anterior:
a) El 80 por ciento de los ingresos devengados por la tasa de ayudas a la navegación correspondiente a las embarcaciones que por sus características les sea de aplicación la tasa del buque.
b) Hasta el 12 por ciento y no menos del 4 por ciento del resultado del ejercicio, excluyendo las amortizaciones del inmovilizado, el resultado por enajenaciones y bajas del activo no corriente, los ingresos por incorporación al activo de gastos financieros, el traspaso a resultados de subvenciones de capital y otros resultados que tengan el carácter de extraordinarios, la cantidad correspondiente al Fondo de Compensación aportada y recibida y los ingresos por la tasa de ayudas a la navegación siempre que el valor resultante sea positivo.
El porcentaje a aplicar correspondiente al párrafo b) será fijado anualmente por el Comité de Distribución del Fondo, a propuesta de Puertos del Estado, en función, entre otras, de las necesidades financieras globales de las Autoridades Portuarias y de Puertos del Estado motivadas por la diferente situación competitiva en que se encuentran las Autoridades Portuarias, sobre la base de no discriminación de tratamiento entre las mismas. Dicho porcentaje se reducirá un 50 por ciento para las Autoridades Portuarias del Archipiélago Canario, Balear y de Ceuta y Melilla.»
Vigésima cuarta. Cuota íntegra de la tasa del buque (T-1).
Con efectos a partir de la entrada en vigor de la presente Ley y vigencia indefinida, se modifica la letra e) del apartado 1 del artículo 197 del Texto Refundido de la Ley de Puertos y de la Marina Mercante, aprobado por el Real Decreto Legislativo 2/2011, de 5 de septiembre, que queda redactado en los siguientes términos:
«e) En razón de la estancia y utilización prolongada de las instalaciones de atraque o fondeo situadas en la Zona 1, bien por desarrollar el buque sus actividades fundamentalmente en el interior de la zona de servicio del puerto, bien por permanecer en el puesto de atraque, se exceptúan del régimen tarifado establecido en las letras a) y d) anteriores a los buques cuando cumplan las citadas condiciones, a los cuales se aplicará los siguientes coeficientes según corresponda:
1.º Buques de tráfico interior de mercancías y pasajeros exclusivamente en la zona de servicio del puerto, o en aguas marítimas interiores tales como rías o bahías: 4,00.
2.º Buques destinados al dragado y al avituallamiento: 4,67.
3.º Buques a flote en construcción, gran reparación, transformación, así como buques en desguace, fuera de un astillero: 1,33.
4.º Buques a flote en construcción, gran reparación, transformación, así como buques en desguace en astillero: 0,50.
5.º Buques pesqueros, cuando estén en paro biológico, o cuando alguna de sus especies objetivo estén en veda, o cuando carezcan de licencia o de permiso temporal de pesca o tengan asignada una cuota anual de pesca, incluso después de haber agotado completamente dicho cupo anual: 0,45.
6.º Buques en depósito judicial: 1,00.
7.º Buques inactivos, incluso pesqueros y artefactos flotantes: 4,67.
8.º Buques destinados a la prestación de los servicios de remolque, amarre, practicaje y a otros servicios portuarios: 2,33.
9.º Otros buques cuya estancia sea superior a un mes, a partir de que finalice dicho periodo: 4,67.
A los efectos de aplicación de lo previsto en esta letra e), se considerará estancia y utilización prolongada la que sea debida a los supuestos anteriores siempre que sea superior a siete días, salvo lo específicamente dispuesto al respecto en el último supuesto.
En los supuestos de buques destinados a dragados y avituallamiento y de buques destinados a los servicios de remolque, amarre, practicaje y a otros servicios portuarios, serán de aplicación los coeficientes de 4,67 y 2,33 respectivamente, desde el primer día de estancia en la Zona 1.
En estos supuestos, el mínimo arqueo bruto del buque (GT) a considerar en el cálculo de la cuota íntegra de la tasa será de 50 GT, y el tiempo de estancia no se medirá en periodos de una hora o fracción, como es la norma general, sino en periodos de 24 horas o fracción.
Además, la cuota íntegra de la tasa en los supuestos previstos en esta letra e) será la que resulte de aplicar a la prevista los coeficientes siguientes, siempre que el puesto de atraque esté otorgado en concesión o autorización:
1.º En atraques otorgados en concesión o autorización, sin espacio o con espacio insuficiente de agua en concesión o autorización: 0,70.
2.º En atraques otorgados en concesión o autorización, cuando el espacio de agua ocupada esté también en concesión o autorización, siempre que la superficie del espacio de agua otorgado en concesión sea al menos la superficie requerida por el buque para su permanencia en el puesto de atraque en condiciones de seguridad: 0,60.
3.º En puertos otorgados en concesión: 0,30.»
Vigésima quinta. Modificación del Real Decreto Ley 13/2009, de 26 de octubre, por el que se crea el Fondo Estatal para el Empleo y la Sostenibilidad Local.
Con efectos desde la entrada en vigor de esta ley y vigencia indefinida, se da nueva redacción al artículo 6 del Real Decreto-ley 13/2009, de 26 de octubre, por el que se crea el Fondo Estatal para el Empleo y la Sostenibilidad Local, que quedará redactado como sigue:
«Artículo 6. Reintegros.
1. La falta de justificación parcial o total de la aplicación de los recursos recibidos con cargo al Fondo implicará la obligación de reintegrar las cantidades no justificadas.
Se entiende por falta de justificación la no remisión al Ministerio de Hacienda y Administraciones Públicas de la documentación justificativa a que se refieren los artículos 16 y 21 o su remisión incompleta o conteniendo inexactitudes.
También se considerarán no justificadas aquellas partidas en las que, bien mediante las comprobaciones que a tal efecto pueda realizar el Ministerio de Hacienda y Administraciones Públicas o mediante los controles que realice la Intervención General de la Administración del Estado, se ponga de manifiesto que los recursos del Fondo no se han aplicado a los fines para los que fueron entregados o que se han incumplido las condiciones establecidas en el Real Decreto-ley.
En los casos de incumplimiento del plazo de ejecución, el reintegro se limitará al porcentaje de inversión no ejecutada en plazo.
En aquellos casos en que la terminación de la inversión financiada con el fondo no tenga lugar dentro del plazo máximo autorizado para la misma y dicho incumplimiento se deba a alguna razón distinta de la mera falta de diligencia de la Entidad local, las dilaciones determinantes de tal incumplimiento no se tendrán en cuenta a efectos de computar el plazo máximo para la finalización del proyecto, siempre que la Entidad Local acredite en la ejecución de la inversión financiada una actitud diligente e inequívocamente tendente a la satisfacción de los compromisos asumidos con motivo de la obtención de la ayuda.
2. La falta de colaboración que imposibilite la comprobación y el control de la efectiva aplicación de los recursos del Fondo, dará lugar al reintegro total de la aportación recibida por la correspondiente Entidad Local.
3. Los expedientes de reintegro serán tramitados por la Dirección General de Coordinación de Competencias con las Comunidades Autónomas y las Entidades Locales, bien a iniciativa propia, cuando la exigencia de reintegro se derive de las comprobaciones realizadas por el Ministerio de Hacienda y Administraciones Públicas, bien a iniciativa de la Intervención General de la Administración del Estado, cuando sea consecuencia de un control realizado por esta última.
Las cantidades a reintegrar tendrán la consideración de ingresos de derecho público, resultando de aplicación para su cobranza lo dispuesto en el Capítulo II del Título I de la Ley 47/2003, de 26 de noviembre, General Presupuestaria.»
Vigésima sexta. Modificación de la Ley 19/1994, de 6 de julio, de modificación del Régimen Económico y Fiscal de Canarias.
Con efectos desde la entrada en vigor de esta Ley y vigencia indefinida, se introducen las siguientes modificaciones en el artículo 50 de la Ley 19/1994, de 6 de julio, de modificación del Régimen Económico y Fiscal de Canarias:
Uno. Se modifica la letra d) del apartado 2, que queda redactada en los siguientes términos:
«d) La cuantía de la tasa de inscripción será de 820 euros.»
Dos. Se modifica la letra d) del apartado 3, que queda redactada en los siguientes términos:
«d) La cuantía de la tasa anual de permanencia será de 1.225 euros.
En el caso previsto en el párrafo segundo de la letra c) anterior, la cuantía de la tasa se prorrateará por trimestres naturales, excluido aquel en el que se produzca la disolución de la entidad o la revocación de la autorización.»
Vigésima séptima. Modificación del texto refundido de la Ley General de la Seguridad Social, aprobado por el Real Decreto Legislativo 1/1994, de 20 de junio.
Con efectos desde la entrada en vigor de esta ley y vigencia indefinida, se modifica el apartado 2 del artículo 73 del Texto Refundido de la Ley General de la Seguridad Social, aprobado por el Real Decreto Legislativo 1/1994, de 20 de junio, que queda redactado como sigue:
«2. El exceso del resultado económico positivo obtenido por la gestión de las contingencias profesionales, una vez dotadas las indicadas reservas, deberá adscribirse a los fines generales de prevención y rehabilitación, entre los que se encuentra el fomento de las actuaciones extraordinarias de las empresas en la prevención de los accidentes de trabajo y las enfermedades profesionales. Dicha adscripción se efectuará mediante su ingreso en la cuenta especial del Fondo de Prevención y Rehabilitación abierta en el Banco de España a disposición del Ministerio de Empleo y Seguridad Social y cuya titularidad corresponde a la Tesorería General de la Seguridad Social.
La Tesorería General de la Seguridad Social podrá materializar los fondos depositados en la cuenta del Fondo de Prevención y Rehabilitación, hasta su uso definitivo, en activos financieros emitidos por personas jurídicas públicas, en las cantidades, plazos y demás condiciones que determine el Ministerio de Empleo y Seguridad Social.
Los rendimientos y gastos que generen los activos financieros en que se haya materializado el Fondo, así como los de la propia cuenta, se abonarán y cargarán respectivamente en ésta, salvo que el Ministerio de Empleo y Seguridad Social disponga otra cosa.
Igualmente, la Tesorería General de la Seguridad Social podrá disponer de los fondos depositados en la cuenta del Fondo de Prevención y Rehabilitación, hasta su uso definitivo, para atender a los fines propios de la Seguridad Social. Entre estos fines están las posibles necesidades transitorias de tesorería. La disposición se realizará en las condiciones que determine el Ministerio de Empleo y Seguridad Social.
El Ministerio de Empleo y Seguridad Social informará anualmente a las comisiones competentes del Congreso de los Diputados y del Senado sobre las operaciones que se acuerden conforme a lo dispuesto en este apartado».
Vigésima octava. Modificación de la ley 16/2003 de 28 de mayo, de cohesión y calidad del Sistema Nacional de Salud.
Con efectos desde la entrada en vigor de esta ley y vigencia indefinida, se da nueva redacción a la letra d) del apartado 2 del artículo 3, de la Ley 16/2003, de 28 de mayo, de cohesión y calidad del Sistema Nacional de Salud, que queda redactada como sigue:
«d) Haber agotado la prestación o el subsidio por desempleo y encontrarse en situación de desempleo, no acreditando la condición de asegurado por cualquier otro título.»
Vigésima novena. Modificación del Real Decreto-ley 8/2011, de 1 de julio, de medidas de apoyo a los deudores hipotecarios, de control del gasto público y cancelación de deudas con empresas y autónomos contraídas por las entidades locales, de fomento de la actividad empresarial e impulso de la rehabilitación y de simplificación administrativa.
Con efectos desde la entrada en vigor de esta Ley y vigencia indefinida, se da nueva redacción al artículo 15 del Real Decreto-ley 8/2011, de 1 de julio, de medidas de apoyo a los deudores hipotecarios, de control del gasto público y cancelación de deudas con empresas y autónomos contraídas por las entidades locales, de fomento de la actividad empresarial e impulso de la rehabilitación y de simplificación administrativa, que quedará redactado de la siguiente manera:
«Artículo 15. Medidas de fomento a la producción de largometrajes.
1. El apartado 2 del artículo 38 del texto refundido de la Ley del Impuesto sobre Sociedades, aprobado por el Real Decreto Legislativo 4/2004, de 5 de marzo, mantendrá su vigencia hasta los períodos impositivos que se hayan iniciado antes de 1 de enero de 2014, y quedará derogado con efectos para los períodos impositivos que se inicien a partir de esa fecha.
2. Las deducciones establecidas en el citado apartado 2 del artículo 38, pendientes de aplicación al comienzo del primer período impositivo que se inicie a partir de 1 de enero de 2014, podrán aplicarse en el plazo y con los requisitos establecidos en el capítulo IV del Título VI de la Ley del Impuesto sobre Sociedades, según redacción vigente a 31 de diciembre de 2013. Dichos requisitos son igualmente aplicables para consolidar las deducciones practicadas en períodos impositivos iniciados antes de aquella fecha.»
Trigésima. Modificación de la Ley 42/1999, de 25 de noviembre, de Régimen del Personal del Cuerpo de la Guardia Civil.
Se modifica el apartado 1 de la disposición adicional sexta de la Ley 42/1999, de 25 de noviembre, de Régimen del Personal del Cuerpo de la Guardia Civil, que queda redactada en los siguientes términos:
«Disposición adicional sexta. Creación del empleo de Teniente General.
1. Se crea el empleo de Teniente General en la Escala Superior de Oficiales del Cuerpo de la Guardia Civil.
Dichos Tenientes Generales pasarán a la situación de reserva al cumplir diez años de permanencia en la categoría de Oficiales Generales. No obstante, el Teniente General Director Adjunto Operativo de la Guardia Civil permanecerá en la situación de servicio activo mientras ostente dicho cargo, pasando, en el momento de su cese, a la situación de reserva o a retiro, según proceda de acuerdo con lo dispuesto en esta ley.»
Trigésima primera. Modificación de la Ley 2/2011, de 4 de marzo, de Economía Sostenible.
Con efectos desde la entrada en vigor de esta Ley y vigencia indefinida, se modifica el artículo 102 de la Ley 2/2011, de 4 de marzo, de Economía Sostenible, que queda redactado como sigue:
«A partir del 1 de enero de 2014, la concesión de cualquier ayuda o subvención a las Administraciones autonómicas o Entidades locales incluida en la Ley de Presupuestos Generales del Estado y destinada al transporte público urbano o metropolitano, se condicionará a que la entidad beneficiaria disponga del correspondiente Plan de Movilidad Sostenible, y a su coherencia con la Estrategia Española de Movilidad Sostenible».
Trigésima segunda. Entrada en vigor.
La presente ley entrará en vigor al día siguiente de su publicación en el «Boletín Oficial del Estado».
Trigésima tercera. Desarrollo reglamentario.
Se faculta al Gobierno para dictar cuantas disposiciones sean necesarias para la ejecución y desarrollo de la presente ley.
Trigésima cuarta. Gestión de créditos presupuestarios en materia de Clases Pasivas.
Se prorroga durante el año 2012 la facultad conferida en la disposición final tercera de la Ley 39/1992, de 29 de diciembre, de Presupuestos Generales del Estado para 1993.
Distribución de los créditos por programas
|
Clasif. por programas |
Explicación |
Cap. 1 a 8 |
Cap. 9 |
Total |
|
111M |
Gobierno del Poder Judicial. |
35.759,18 |
|
35.759,18 |
|
111N |
Dirección y Servicios Generales de Justicia. |
55.306,43 |
|
55.306,43 |
|
111O |
Selección y formación de jueces. |
26.452,82 |
|
26.452,82 |
|
111P |
Documentación y publicaciones judiciales. |
9.140,51 |
|
9.140,51 |
|
111Q |
Formación del Personal de la Administración de Justicia. |
11.451,20 |
|
11.451,20 |
|
111R |
Formación de la Carrera Fiscal. |
6.214,70 |
|
6.214,70 |
|
112A |
Tribunales de Justicia y Ministerio Fiscal. |
1.442.181,66 |
|
1.442.181,66 |
|
113M |
Registros vinculados con la Fe Pública. |
26.126,59 |
|
26.126,59 |
|
121M |
Administración y Servicios Generales de Defensa. |
1.225.492,95 |
|
1.225.492,95 |
|
121N |
Formación del Personal de las Fuerzas Armadas. |
418.960,06 |
|
418.960,06 |
|
121O |
Personal en reserva. |
550.956,31 |
|
550.956,31 |
|
122A |
Modernización de las Fuerzas Armadas. |
268.943,47 |
|
268.943,47 |
|
122B |
Programas especiales de modernización. |
4.953,46 |
|
4.953,46 |
|
122M |
Gastos Operativos de las Fuerzas Armadas. |
2.289.059,21 |
|
2.289.059,21 |
|
122N |
Apoyo Logístico. |
1.510.949,72 |
1,29 |
1.510.951,01 |
|
131M |
Dirección y Servicios Generales de Seguridad y Protección Civil. |
88.256,68 |
|
88.256,68 |
|
131N |
Formación de Fuerzas y Cuerpos de Seguridad del Estado. |
80.808,38 |
|
80.808,38 |
|
131O |
Fuerzas y Cuerpos en reserva. |
697.385,60 |
|
697.385,60 |
|
131P |
Derecho de asilo y apátridas. |
3.322,53 |
|
3.322,53 |
|
132A |
Seguridad ciudadana. |
5.468.548,03 |
72,72 |
5.468.620,75 |
|
132B |
Seguridad vial. |
723.792,12 |
|
723.792,12 |
|
132C |
Actuaciones policiales en materia de droga. |
82.203,20 |
|
82.203,20 |
|
133A |
Centros e Instituciones Penitenciarias. |
1.154.471,86 |
|
1.154.471,86 |
|
133B |
Trabajo, formación y asistencia a reclusos. |
27.431,23 |
|
27.431,23 |
|
134M |
Protección Civil. |
14.759,41 |
|
14.759,41 |
|
135M |
Protección de datos de carácter personal. |
13.929,55 |
|
13.929,55 |
|
141M |
Dirección y Servicios Generales de Asuntos Exteriores. |
79.897,98 |
|
79.897,98 |
|
142A |
Acción del Estado en el exterior. |
761.314,79 |
|
761.314,79 |
|
142B |
Acción diplomática ante la Unión Europea. |
22.773,54 |
|
22.773,54 |
|
143A |
Cooperación para el desarrollo. |
683.695,46 |
|
683.695,46 |
|
144A |
Cooperación, promoción y difusión Cultural en el exterior. |
132.934,25 |
|
132.934,25 |
|
211M |
Pensiones contributivas de la Seguridad Social. |
102.103.288,97 |
|
102.103.288,97 |
|
211N |
Pensiones de Clases Pasivas. |
10.857.648,33 |
|
10.857.648,33 |
|
211O |
Otras pensiones y prestaciones de Clases Pasivas. |
107.547,05 |
|
107.547,05 |
|
212M |
Pensiones no contributivas y prestaciones asistenciales. |
2.022.125,85 |
|
2.022.125,85 |
|
212N |
Pensiones de guerra. |
314.804,62 |
|
314.804,62 |
|
219M |
Gestión de las prestaciones económicas de Seguridad Social. |
412.856,35 |
|
412.856,35 |
|
219N |
Gestión de pensiones de Clases Pasivas. |
7.662,42 |
|
7.662,42 |
|
221M |
Subsidios de incapacidad temporal y otras prestaciones económicas de la Seguridad Social. |
10.263.083,16 |
|
10.263.083,16 |
|
222M |
Prestaciones económicas del Mutualismo Administrativo. |
444.080,42 |
2,00 |
444.082,42 |
|
223M |
Prestaciones de garantía salarial. |
1.275.090,30 |
|
1.275.090,30 |
|
224M |
Prestaciones económicas por cese de actividad. |
31.025,45 |
|
31.025,45 |
|
231A |
Plan Nacional sobre Drogas. |
18.486,08 |
|
18.486,08 |
|
231B |
Acciones en favor de los emigrantes. |
89.701,55 |
|
89.701,55 |
|
231C |
Servicios Sociales de la Seguridad Social a personas con discapacidad. |
74.548,98 |
|
74.548,98 |
|
231D |
Servicios Sociales de la Seguridad Social a personas mayores. |
124.340,75 |
|
124.340,75 |
|
231E |
Otros servicios sociales de la Seguridad Social. |
41.940,47 |
|
41.940,47 |
|
231F |
Otros servicios sociales del Estado. |
181.867,98 |
|
181.867,98 |
|
231G |
Atención a la infancia y a las familias. |
5.355,32 |
|
5.355,32 |
|
231H |
Acciones en favor de los inmigrantes. |
66.849,63 |
|
66.849,63 |
|
231I |
Autonomía personal y Atención a la Dependencia. |
1.407.150,62 |
|
1.407.150,62 |
|
232A |
Promoción y servicios a la juventud. |
28.601,40 |
|
28.601,40 |
|
232B |
Igualdad de oportunidades entre mujeres y hombres. |
24.970,27 |
|
24.970,27 |
|
232C |
Actuaciones para la prevención integral de la violencia de género. |
23.828,94 |
|
23.828,94 |
|
239M |
Gestión de los servicios sociales de la Seguridad Social. |
31.375,08 |
|
31.375,08 |
|
241A |
Fomento de la inserción y estabilidad laboral. |
5.759.558,48 |
|
5.759.558,48 |
|
241N |
Desarrollo de la economía social y de la responsabilidad social de las empresas. |
5.184,80 |
|
5.184,80 |
|
251M |
Prestaciones a los desempleados. |
28.805.052,82 |
|
28.805.052,82 |
|
261N |
Promoción, administración y ayudas para rehabilitación y acceso a vivienda. |
780.501,42 |
300,00 |
780.801,42 |
|
261O |
Ordenación y fomento de la edificación. |
37.968,49 |
|
37.968,49 |
|
261P |
Suelo y Políticas Urbanas. |
1.442,38 |
|
1.442,38 |
|
291A |
Inspección y control de Seguridad y Protección Social. |
127.029,90 |
|
127.029,90 |
|
291M |
Dirección y Servicios Generales de Seguridad Social y Protección Social. |
2.774.085,12 |
30,20 |
2.774.115,32 |
|
311M |
Dirección y Servicios Generales de Sanidad, Servicios Sociales e Igualdad. |
99.055,53 |
|
99.055,53 |
|
311O |
Políticas de Salud y Ordenación Profesional. |
11.171,37 |
|
11.171,37 |
|
312A |
Asistencia hospitalaria en las Fuerzas Armadas. |
148.283,49 |
|
148.283,49 |
|
312B |
Atención primaria de salud. Instituto Nacional de Gestión Sanitaria. |
59.963,99 |
|
59.963,99 |
|
312C |
Atención especializada de salud. Instituto Nacional de Gestión Sanitaria. |
141.627,99 |
|
141.627,99 |
|
312D |
Medicina marítima. |
32.559,81 |
|
32.559,81 |
|
312E |
Asistencia sanitaria del Mutualismo Administrativo. |
2.082.900,62 |
|
2.082.900,62 |
|
312F |
Atención primaria de salud de Mutuas de Accidentes de Trabajo y E.P e I.S.M. |
831.128,97 |
|
831.128,97 |
|
312G |
Atención especializada de salud de Mutuas de Accidentes de Trabajo y E.P e I.S.M. |
365.407,68 |
|
365.407,68 |
|
313A |
Prestaciones y farmacia. |
145.242,22 |
|
145.242,22 |
|
313B |
Salud pública, sanidad exterior y calidad. |
38.422,55 |
|
38.422,55 |
|
313C |
Seguridad alimentaria y nutrición. |
15.922,32 |
|
15.922,32 |
|
313D |
Donación y trasplante de órganos, tejidos y células. |
3.937,99 |
|
3.937,99 |
|
321M |
Dirección y Servicios Generales de la Educación. |
74.851,02 |
|
74.851,02 |
|
321N |
Formación permanente del profesorado de Educación. |
4.216,52 |
|
4.216,52 |
|
322A |
Educación infantil y primaria. |
167.130,42 |
|
167.130,42 |
|
322B |
Educación secundaria, formación profesional y Escuelas Oficiales de Idiomas. |
175.793,97 |
|
175.793,97 |
|
322C |
Enseñanzas universitarias. |
149.663,75 |
|
149.663,75 |
|
322D |
Educación especial. |
13.431,45 |
|
13.431,45 |
|
322E |
Enseñanzas artísticas. |
7.376,11 |
|
7.376,11 |
|
322F |
Educación en el exterior. |
108.584,54 |
|
108.584,54 |
|
322G |
Educación compensatoria. |
169.790,97 |
|
169.790,97 |
|
322H |
Educación permanente y a distancia no universitaria. |
5.751,47 |
|
5.751,47 |
|
322I |
Enseñanzas especiales. |
1.910,69 |
|
1.910,69 |
|
322J |
Nuevas tecnologías aplicadas a la educación. |
45.008,17 |
|
45.008,17 |
|
322K |
Deporte en edad escolar y en la Universidad. |
13.308,55 |
|
13.308,55 |
|
323M |
Becas y ayudas a estudiantes. |
1.270.048,52 |
|
1.270.048,52 |
|
324M |
Servicios complementarios de la enseñanza. |
5.637,04 |
|
5.637,04 |
|
324N |
Apoyo a otras actividades escolares. |
6.961,58 |
|
6.961,58 |
|
331M |
Dirección y Servicios Generales de Cultura. |
44.947,44 |
|
44.947,44 |
|
332A |
Archivos. |
40.543,17 |
|
40.543,17 |
|
332B |
Bibliotecas. |
60.839,93 |
|
60.839,93 |
|
333A |
Museos. |
177.474,94 |
|
177.474,94 |
|
333B |
Exposiciones. |
3.892,62 |
|
3.892,62 |
|
334A |
Promoción y cooperación cultural. |
24.573,37 |
|
24.573,37 |
|
334B |
Promoción del libro y publicaciones culturales. |
11.095,39 |
|
11.095,39 |
|
334C |
Fomento de las industrias culturales. |
29.481,76 |
|
29.481,76 |
|
335A |
Música y danza. |
89.773,50 |
|
89.773,50 |
|
335B |
Teatro. |
45.110,15 |
|
45.110,15 |
|
335C |
Cinematografía. |
71.113,71 |
|
71.113,71 |
|
336A |
Fomento y apoyo de las actividades deportivas. |
177.458,77 |
|
177.458,77 |
|
337A |
Administración del Patrimonio Histórico-Nacional. |
117.789,75 |
100,00 |
117.889,75 |
|
337B |
Conservación y restauración de bienes culturales. |
40.785,77 |
|
40.785,77 |
|
337C |
Protección del Patrimonio Histórico. |
7.582,63 |
|
7.582,63 |
|
412C |
Competitividad y calidad de la producción y los mercados agrarios. |
62.899,24 |
|
62.899,24 |
|
412D |
Competitividad y calidad de la sanidad agraria. |
56.045,45 |
|
56.045,45 |
|
412M |
Regulación de los mercados agrarios. |
6.371.219,23 |
|
6.371.219,23 |
|
413A |
Competitividad industria agroalimentaria y calidad alimentaria. |
30.845,52 |
|
30.845,52 |
|
414A |
Gestión de Recursos Hídricos para el Regadío. |
52.974,67 |
|
52.974,67 |
|
414B |
Desarrollo del medio rural. |
1.519.976,36 |
|
1.519.976,36 |
|
414C |
Programa de Desarrollo Rural Sostenible. |
29.329,39 |
|
29.329,39 |
|
415A |
Protección de los recursos pesqueros y desarrollo sostenible. |
19.672,39 |
|
19.672,39 |
|
415B |
Mejora de estructuras y mercados pesqueros. |
59.010,76 |
|
59.010,76 |
|
416A |
Previsión de riesgos en las producciones agrarias y pesqueras. |
252.659,35 |
|
252.659,35 |
|
421M |
Dirección y Servicios Generales de Industria y Energía. |
70.923,09 |
|
70.923,09 |
|
421N |
Regulación y protección de la propiedad industrial. |
53.995,45 |
|
53.995,45 |
|
421O |
Calidad y seguridad industrial. |
3.890,82 |
|
3.890,82 |
|
422A |
Incentivos regionales a la localización industrial. |
128.187,69 |
|
128.187,69 |
|
422B |
Desarrollo industrial. |
423.554,24 |
|
423.554,24 |
|
422M |
Reconversión y reindustrialización. |
575.147,86 |
|
575.147,86 |
|
423M |
Desarrollo alternativo de las comarcas mineras del carbón. |
41.000,00 |
|
41.000,00 |
|
423N |
Explotación minera. |
523.058,33 |
|
523.058,33 |
|
424M |
Seguridad nuclear y protección radiológica. |
47.287,24 |
|
47.287,24 |
|
425A |
Normativa y desarrollo energético. |
30.015,58 |
|
30.015,58 |
|
431A |
Promoción comercial e internacionalización de la empresa. |
489.923,13 |
|
489.923,13 |
|
431M |
Dirección y Servicios Generales de Comercio y Turismo. |
14.008,68 |
|
14.008,68 |
|
431N |
Ordenación del comercio exterior. |
9.665,98 |
|
9.665,98 |
|
431O |
Ordenación y modernización de las estructuras comerciales. |
17.454,59 |
|
17.454,59 |
|
432A |
Coordinación y promoción del turismo. |
438.197,43 |
|
438.197,43 |
|
433M |
Apoyo a la pequeña y mediana empresa. |
140.717,35 |
|
140.717,35 |
|
441M |
Subvenciones y apoyo al transporte terrestre. |
1.247.910,68 |
|
1.247.910,68 |
|
441N |
Subvenciones y apoyo al transporte marítimo. |
57.863,35 |
|
57.863,35 |
|
441O |
Subvenciones y apoyo al transporte aéreo. |
288.337,00 |
|
288.337,00 |
|
441P |
Subvenciones al transporte extrapeninsular de mercancías. |
22.690,00 |
|
22.690,00 |
|
451M |
Estudios y servicios de asistencia técnica en Obras Públicas y Urbanismo. |
32.005,44 |
|
32.005,44 |
|
451N |
Dirección y Servicios Generales de Fomento. |
1.192.148,09 |
|
1.192.148,09 |
|
451O |
Dirección y Servicios Generales de Agricultura, Alimentación y Medio Ambiente. |
177.524,99 |
|
177.524,99 |
|
452A |
Gestión e infraestructuras del agua. |
940.353,70 |
210.501,00 |
1.150.854,70 |
|
452M |
Normativa y ordenación territorial de los recursos hídricos. |
55.015,05 |
|
55.015,05 |
|
453A |
Infraestructura del transporte ferroviario. |
986.428,07 |
|
986.428,07 |
|
453B |
Creación de infraestructura de carreteras. |
1.782.289,49 |
|
1.782.289,49 |
|
453C |
Conservación y explotación de carreteras. |
926.037,98 |
|
926.037,98 |
|
453M |
Ordenación e inspección del transporte terrestre. |
34.669,07 |
|
34.669,07 |
|
454M |
Seguridad del tráfico marítimo y vigilancia costera. |
170.013,86 |
|
170.013,86 |
|
455M |
Regulación y supervisión de la aviación civil. |
56.017,08 |
|
56.017,08 |
|
456A |
Calidad del agua. |
199.274,96 |
21.295,45 |
220.570,41 |
|
456B |
Protección y mejora del medio ambiente. |
18.831,86 |
|
18.831,86 |
|
456C |
Protección y mejora del medio natural. |
190.461,07 |
|
190.461,07 |
|
456D |
Actuación en la costa. |
104.593,80 |
|
104.593,80 |
|
456M |
Actuaciones para la prevención de la contaminación y el cambio climático. |
52.800,23 |
|
52.800,23 |
|
457M |
Infraestructuras en comarcas mineras del carbón. |
101.568,73 |
|
101.568,73 |
|
462M |
Investigación y estudios sociológicos y constitucionales. |
12.510,93 |
|
12.510,93 |
|
462N |
Investigación y estudios estadísticos y económicos. |
6.505,70 |
|
6.505,70 |
|
463A |
Investigación científica. |
771.756,93 |
4.000,00 |
775.756,93 |
|
463B |
Fomento y coordinación de la investigación científica y técnica. |
1.391.554,56 |
|
1.391.554,56 |
|
464A |
Investigación y estudios de las Fuerzas Armadas. |
174.056,70 |
|
174.056,70 |
|
464B |
Apoyo a la innovación tecnológica en el sector de la defensa. |
582.777,36 |
|
582.777,36 |
|
464C |
Investigación y estudios en materia de seguridad pública. |
850,00 |
|
850,00 |
|
465A |
Investigación sanitaria. |
298.864,39 |
|
298.864,39 |
|
466A |
Investigación y evaluación educativa. |
5.588,84 |
|
5.588,84 |
|
467A |
Astronomía y astrofísica. |
16.587,19 |
450,00 |
17.037,19 |
|
467B |
Investigación, desarrollo y experimentación en transporte e infraestructuras. |
932,90 |
|
932,90 |
|
467C |
Investigación y desarrollo tecnológico-industrial. |
2.063.698,12 |
|
2.063.698,12 |
|
467D |
Investigación y experimentación agraria. |
75.508,04 |
2.000,00 |
77.508,04 |
|
467E |
Investigación oceanográfica y pesquera. |
58.159,73 |
261,61 |
58.421,34 |
|
467F |
Investigación geológico-minera y medioambiental. |
25.971,39 |
|
25.971,39 |
|
467G |
Investigación y desarrollo de la Sociedad de la Información. |
145.904,60 |
|
145.904,60 |
|
467H |
Investigación energética, medioambiental y tecnológica. |
83.899,43 |
|
83.899,43 |
|
467I |
Innovación tecnológica de las telecomunicaciones. |
671.754,55 |
|
671.754,55 |
|
491M |
Ordenación y promoción de las telecomunicaciones y de la Sociedad de la Información. |
70.814,15 |
|
70.814,15 |
|
491N |
Servicio postal universal. |
502,00 |
|
502,00 |
|
492M |
Defensa de la competencia. |
12.761,81 |
|
12.761,81 |
|
492N |
Regulación y vigilancia de la competencia en el Mercado de Tabacos. |
8.905,30 |
|
8.905,30 |
|
492O |
Protección y promoción de los derechos de los consumidores y usuarios. |
19.368,56 |
|
19.368,56 |
|
493M |
Dirección, control y gestión de seguros. |
293.067,58 |
|
293.067,58 |
|
493O |
Regulación contable y de auditorias. |
7.310,14 |
|
7.310,14 |
|
494M |
Administración de las relaciones laborales y condiciones de trabajo. |
42.460,59 |
|
42.460,59 |
|
495A |
Desarrollo y aplicación de la información geográfica española. |
34.897,30 |
|
34.897,30 |
|
495B |
Meteorología. |
87.325,58 |
|
87.325,58 |
|
495C |
Metrología. |
6.778,17 |
|
6.778,17 |
|
496M |
Regulación del juego. |
6.171,83 |
|
6.171,83 |
|
911M |
Jefatura del Estado. |
8.264,28 |
|
8.264,28 |
|
911N |
Actividad legislativa. |
206.611,89 |
15,00 |
206.626,89 |
|
911O |
Control externo del Sector Público. |
62.123,22 |
|
62.123,22 |
|
911P |
Control Constitucional. |
25.531,83 |
|
25.531,83 |
|
911Q |
Apoyo a la gestión administrativa de la Jefatura del Estado. |
6.158,56 |
|
6.158,56 |
|
912M |
Presidencia del Gobierno. |
41.472,62 |
|
41.472,62 |
|
912N |
Alto asesoramiento del Estado. |
10.087,22 |
|
10.087,22 |
|
912O |
Relaciones con las Cortes Generales, Secretariado del Gobierno y apoyo a la Alta Dirección. |
43.056,94 |
|
43.056,94 |
|
912P |
Asesoramiento del Gobierno en materia social, económica y laboral. |
8.843,23 |
|
8.843,23 |
|
912Q |
Asesoramiento para la protección de los intereses nacionales. |
221.200,30 |
|
221.200,30 |
|
921N |
Dirección y organización de la Administración Pública. |
48.598,06 |
|
48.598,06 |
|
921O |
Formación del personal de las Administraciones Públicas. |
76.181,84 |
|
76.181,84 |
|
921P |
Administración periférica del Estado. |
301.579,80 |
|
301.579,80 |
|
921Q |
Cobertura informativa. |
17.751,24 |
|
17.751,24 |
|
921R |
Publicidad de las normas legales. |
33.808,89 |
|
33.808,89 |
|
921S |
Asesoramiento y defensa intereses del Estado. |
32.333,49 |
|
32.333,49 |
|
921T |
Servicios de transportes de Ministerios. |
42.885,24 |
|
42.885,24 |
|
921U |
Publicaciones. |
193,57 |
|
193,57 |
|
921V |
Evaluación de políticas y programas públicos, calidad de los servicios e impacto normativo. |
4.446,36 |
|
4.446,36 |
|
922M |
Organización territorial del Estado y desarrollo de sus sistemas de colaboración. |
3.755,71 |
|
3.755,71 |
|
922N |
Coordinación y relaciones financieras con los Entes Territoriales. |
5.774,90 |
|
5.774,90 |
|
923A |
Gestión del Patrimonio del Estado. |
207.769,49 |
|
207.769,49 |
|
923C |
Elaboración y difusión estadística. |
215.915,89 |
|
215.915,89 |
|
923M |
Dirección y Servicios Generales de Hacienda y Administraciones Públicas. |
1.191.654,64 |
|
1.191.654,64 |
|
923N |
Formación del personal de Economía y Hacienda. |
9.797,25 |
|
9.797,25 |
|
923O |
Gestión de la Deuda y de la Tesorería del Estado. |
28.557,41 |
|
28.557,41 |
|
923P |
Relaciones con los Organismos Financieros Multilaterales. |
352.563,40 |
|
352.563,40 |
|
924M |
Elecciones y Partidos Políticos. |
114.993,78 |
|
114.993,78 |
|
929M |
Imprevistos y funciones no clasificadas. |
1.980.312,66 |
|
1.980.312,66 |
|
929N |
Fondo de contingencia de ejecución presupuestaria. |
2.322.809,00 |
|
2.322.809,00 |
|
931M |
Previsión y política económica. |
3.932.699,55 |
|
3.932.699,55 |
|
931N |
Política presupuestaria. |
59.336,06 |
|
59.336,06 |
|
931O |
Política tributaria. |
6.534,83 |
|
6.534,83 |
|
931P |
Control interno y Contabilidad Pública. |
79.087,37 |
|
79.087,37 |
|
932A |
Aplicación del sistema tributario estatal. |
1.027.008,98 |
|
1.027.008,98 |
|
932M |
Gestión del catastro inmobiliario. |
103.491,09 |
|
103.491,09 |
|
932N |
Resolución de reclamaciones económico-administrativas. |
29.560,47 |
|
29.560,47 |
|
941M |
Transferencias a Comunidades Autónomas por participación en los ingresos del Estado. |
21.806.230,66 |
|
21.806.230,66 |
|
941N |
Transferencias a Comunidades Autónomas por los Fondos de Compensación Interterritorial. |
671.580,00 |
|
671.580,00 |
|
941O |
Otras transferencias a Comunidades Autónomas. |
497.700,00 |
|
497.700,00 |
|
942A |
Cooperación económica local del Estado. |
33.387,00 |
|
33.387,00 |
|
942M |
Transferencias a Entidades Locales por participación en los ingresos del Estado. |
14.683.078,52 |
|
14.683.078,52 |
|
942N |
Otras aportaciones a Entidades Locales. |
223.373,17 |
|
223.373,17 |
|
943M |
Transferencias al Presupuesto General de la Unión Europea. |
11.471.400,00 |
|
11.471.400,00 |
|
943N |
Cooperación al desarrollo a través del Fondo Europeo de Desarrollo. |
299.320,00 |
|
299.320,00 |
|
951M |
Amortización y gastos financieros de la deuda pública en moneda nacional. |
27.989.628,03 |
47.553.322,07 |
75.542.950,10 |
|
951N |
Amortización y gastos financieros de la deuda pública en moneda extranjera. |
858.371,97 |
2.496.821,77 |
3.355.193,74 |
|
|
TOTAL. |
311.776.637,58 |
50.289.173,11 |
362.065.810,69 |
Se considerarán ampliables hasta una suma igual a las obligaciones que se reconozcan, previo el cumplimiento de las formalidades legalmente establecidas o de las que se establezcan, los créditos que, incluidos en el Presupuesto del Estado, en los de los Organismos autónomos y en los de los otros Organismos públicos aprobados por esta Ley, se detallan a continuación:
Primero. Aplicables a todas las Secciones y Programas.
Uno. Los destinados a satisfacer:
a) Las cuotas de la Seguridad Social, de acuerdo con los preceptos en vigor, y la aportación del Estado al régimen de previsión social de los funcionarios públicos, civiles o militares, establecida por los Reales Decretos Legislativos 1/2000, de 9 de junio, 3/2000 y 4/2000, de 23 de junio.
b) Los créditos de transferencias a favor del Estado que figuren en los presupuestos de gastos de los Organismos autónomos, hasta el importe de los remanentes que resulten como consecuencia de la gestión de los mismos.
Segundo. Aplicables a las Secciones y Programas que se indican.
Uno. En la Sección 07, «Clases Pasivas»:
Los créditos relativos a atender obligaciones de pensiones e indemnizaciones.
Dos. En la Sección 12, «Ministerio de Asuntos Exteriores y de Cooperación»:
El crédito 12.000X.03.431 «A la Agencia Española de Cooperación Internacional para el Desarrollo, para los fines sociales que se realicen en el campo de la cooperación internacional (artículo 2 del Real Decreto 825/1988, de 15 de julio). Porcentaje IRPF».
Tres. En la Sección 13, «Ministerio de Justicia»:
El crédito 13.112A.02.830.10 «Anticipos reintegrables a trabajadores con sentencia judicial favorable».
Cuatro. En la Sección 14, «Ministerio de Defensa»:
a) El crédito 14.121M.01.489 para el pago de las indemnizaciones derivadas de la aplicación del Real Decreto-Ley 8/2004, de 5 de noviembre, sobre indemnizaciones a los participantes en operaciones internacionales de paz y seguridad.
b) Los créditos 14.122M.03.128, 14.122M.03.228 y 14.122M.03.668 para gastos originados por participación de las Fuerzas Armadas en operaciones de mantenimiento de la paz.
Cinco. En la Sección 15, «Ministerio de Hacienda y Administraciones Públicas»:
El crédito 15.231G.13.875, destinado al «Fondo de Garantía del Pago de Alimentos».
Seis. En la Sección 16, «Ministerio del Interior»:
a) El crédito 16.131M.01.487, destinado al pago de indemnizaciones en aplicación de los artículos 139 a 144 de la Ley 30/1992, de 26 de noviembre, de Régimen Jurídico de las Administraciones Públicas y del Procedimiento Administrativo Común, y la Ley 52/1984, de 26 de diciembre, de Protección de medios de transporte que se hallen en territorio español realizando viajes de carácter internacional.
b) El crédito 16.131M.01.483, destinado a atender el pago de las indemnizaciones, ayudas y subvenciones derivadas de la aplicación de la Ley 29/2011, de 22 de septiembre, de Reconocimiento y Protección Integral a las Víctimas del Terrorismo.
c) Los créditos 16.134M.01.461, 16.134M.01.471, 16.134M.01.472, 16.134M.01.482, 16.134M.01.761, 16.134M.01.771 y 16.134M.01.782, destinados a la cobertura de necesidades de todo orden motivadas por siniestros, catástrofes u otras de reconocida urgencia.
d) El crédito 16.924M.01.484, destinado al pago de la asignación anual a partidos políticos para sufragar gastos de seguridad.
e) El crédito 16.924M.01.485.01, para atender a la financiación ordinaria a partidos políticos (Ley Orgánica 8/2007).
f) El crédito 16.924M.01.485.02, para subvencionar los gastos electorales de los partidos políticos (Ley Orgánica 5/1985, de 19 de junio, de Régimen Electoral General).
Siete. En la Sección 18, «Ministerio de Educación, Cultura y Deporte»:
Los créditos 18.337B.11.631 y 18.337C.11.621, por la diferencia entre la consignación inicial para inversiones producto del «1 por 100 cultural» (artículo 68, Ley 16/1985 del Patrimonio Histórico Español y artículo 58 del Real Decreto 111/1986, de 10 de enero, de desarrollo parcial de la Ley 16/1985, de 25 de junio, en la redacción dada por el artículo único del Real Decreto 162/2002, de 8 de febrero) y las retenciones de crédito no anuladas a que se refiere el apartado tres del artículo 20 de la Ley 33/1987, de Presupuestos Generales del Estado para 1988.
Ocho. En la Sección 19, «Ministerio de Empleo y Seguridad Social»:
a) El crédito 19.241A.101.487.03, destinado a financiar las bonificaciones en las cotizaciones de la Seguridad Social acogidas a medidas de fomento de empleo por contratación laboral.
b) El crédito 19.251M.101.480.00, destinado a financiar las prestaciones contributivas, incluso obligaciones de ejercicios anteriores.
c) El crédito 19.251M.101.480.01, destinado a financiar el subsidio por desempleo, incluso obligaciones de ejercicios anteriores.
d) El crédito 19.251M.101.487.00, destinado a financiar cuotas de beneficiarios de prestaciones contributivas por desempleo, incluso obligaciones de ejercicios anteriores.
e) El crédito 19.251M.101.487.01, destinado a financiar cuotas de beneficiarios del subsidio por desempleo, incluso obligaciones de ejercicios anteriores.
f) El crédito 19.251M.101.480.02, destinado a financiar el subsidio por desempleo para eventuales del Sistema Especial para trabajadores por cuenta ajena agrarios, incluidos en el Régimen General de la Seguridad Social, incluso obligaciones de ejercicios anteriores.
g) El crédito 19.251M.101.488 destinado a financiar la Renta Activa de Inserción.
h) El crédito 19.251M.101.487.05, destinado a financiar cuotas de beneficiarios del subsidio por desempleo para eventuales del Régimen Especial Agrario de la Seguridad Social, incluso obligaciones de ejercicios anteriores.
i) El crédito 19.231B.07.483.01, pensiones asistenciales por ancianidad para españoles de origen retornados.
Nueve. En la Sección 23, «Ministerio de Agricultura, Alimentación y Medio Ambiente»:
a) El crédito 23.416A.01.440, «Al Consorcio de Compensación de Seguros para la cobertura de pérdidas del Seguro Agrario Combinado».
b) El crédito 23.451O.01.485, «Para fines de interés social regulados por el artículo 2 del Real Decreto 825/1988, de 15 de julio».
Diez. En la Sección 26, «Ministerio de Sanidad, Servicios Sociales e Igualdad»:
a) El crédito 26.313A.09.453.02, «Compensación por asistencia sanitaria a pacientes residentes en España derivados entre Comunidades Autónomas y otras actuaciones con cargo al Fondo de Cohesión Sanitaria».
b) El crédito 26.231F.16.484, «Para los fines de interés social regulados por el artículo 2 del Real Decreto 825/1988, de 15 de julio».
c) El crédito 26.232C.22.480, «Ayudas Sociales, para mujeres (artículo 27 de la L.O.1/2004, de 28 de diciembre).
Once. En la Sección 27, «Ministerio de Economía y Competitividad»:
a) El crédito 27.931M.03.873, «Aportación al Fondo de Reestructuración Ordenada Bancaria (FROB)».
b) El crédito 27.923O.04.351, «Cobertura de riesgos en avales prestados por el Tesoro, incluidos los riesgos de ejercicios anteriores».
c) El crédito 27.923O.04.355, «Compensaciones derivadas de la ejecución de avales frente al Tesoro Público».
d) El crédito 27.493M.07.821.10, «Al Consorcio de Compensación de Seguros. Seguros de Crédito a la Exportación».
e) El crédito 27.431A.09.444, «Para cobertura de las diferencias producidas por operaciones autorizadas al amparo de la Ley 11/1983, de subvención al crédito a la exportación a librar a través del Instituto de Crédito Oficial (ICO)».
Doce. En la Sección 32, «Otras relaciones financieras con Entes Territoriales»:
a) Los créditos 32.942N.02.461.00 y 32.942N.02.461.01, por razón de otros derechos legalmente establecidos o que se establezcan a favor de las Corporaciones Locales, habilitando, si fuera necesario, los conceptos correspondientes.
b) El crédito 32.941O.01.450, «Compensación financiera al País Vasco derivada del Impuesto Especial sobre las labores de tabaco, incluso liquidación definitiva del ejercicio anterior».
c) El crédito 32.941O.01.455, «Financiación del Estado del coste de la jubilación anticipada de la policía autónoma vasca».
Trece. Los créditos de la Sección 34, «Relaciones Financieras con la Unión Europea», ampliables tanto en función de los compromisos que haya adquirido o que pueda adquirir el Estado Español con la Unión Europea o que se deriven de las disposiciones financieras de las mismas, como en función de la recaudación efectiva de las exacciones agrarias, derechos de aduanas por la parte sujeta al arancel exterior comunitario, y cotizaciones del azúcar e isoglucosa.
Catorce. En la Sección 36, «Sistemas de financiación de Entes Territoriales»:
a) El crédito 36.941M.20.452.00, «Fondo de Competitividad», 36.941M.20.452.01, «Fondo de Cooperación» y 36.941M.20.452.02, «Otros conceptos de liquidación del sistema de financiación».
b) El crédito 36.942M.21.468, en la medida que lo exija la liquidación definitiva de la participación de las Corporaciones Locales en los ingresos del Estado correspondiente a ejercicios anteriores y las compensaciones derivadas del nuevo Modelo de Financiación Local.
c) Los créditos que se habiliten para hacer frente a las transferencias a las Comunidades Autónomas por el coste de los servicios asumidos.
Todos los créditos de este presupuesto en función de los compromisos de financiación exclusiva o de confinanciación que puedan contraerse con las Comunidades Europeas.
En el presupuesto de la Seguridad Social, los créditos que sean necesarios en los programas de gastos del Instituto Nacional de Gestión Sanitaria para reflejar las repercusiones que en los mismos tengan las modificaciones de los créditos, que figuran en el estado de transferencias entre Subsectores de los Presupuestos Generales del Estado.
Operaciones de crédito autorizadas a organismos públicos
|
|
Miles de Euros |
|
Ministerio de Fomento |
|
|
Aeropuertos Españoles y Navegación Aérea (AENA) (1) |
213.075,00 |
|
Puertos del Estado y Autoridades Portuarias (2) |
99.747,00 |
|
Ferrocarriles de Vía Estrecha (FEVE) (1) |
79.318,03 |
|
Administrador de Infraestructuras Ferroviarias (ADIF) (3) |
2.440.000,00 |
|
Sociedad de Salvamento y Seguridad Marítima (SASEMAR) (4) |
23.500,00 |
|
Ministerio de Agricultura, Alimentación y Medio Ambiente |
|
|
Confederación Hidrográfica del Guadalquivir |
71.750,00 |
|
Confederación Hidrográfica del Guadiana |
92.000,00 |
|
Confederación Hidrográfica del Júcar |
75.000,00 |
|
Confederación Hidrográfica del Miño-Sil |
8.720,00 |
|
Confederación Hidrográfica del Cantábrico |
27.650,00 |
|
Confederación Hidrográfica del Tajo |
14.000,00 |
|
Mancomunidad de los Canales del Taibilla |
10.140,00 |
|
Ministerio de Economía y Competitividad |
|
|
Instituto de Crédito Oficial (ICO) (5) |
55.000.000,00 |
|
Fondo de financiación para el pago a proveedores |
35.000.000,00 |
(1) Esta cifra se entenderá como incremento neto máximo de las deudas a corto y largo plazo con entidades de crédito, entre el 1 de enero y el 31 de diciembre de 2012.
(2) Importe máximo a contraer con entidades de crédito durante el ejercicio 2012, si bien el importe de la deuda viva con entidades de crédito a 31 de diciembre no podrá exceder de 2.627.619 miles de euros.
(3) Esta cifra se entenderá como incremento neto máximo de las deudas a largo plazo con entidades financieras, proveedores y por emisiones de valores de renta fija entre el 1 de enero y el 31 de diciembre de 2012.
(4) Importe máximo a contraer con entidades de crédito durante el ejercicio 2012, si bien el importe de la deuda viva con entidades de crédito a 31 de diciembre no podrá exceder del existente a 31 de diciembre de 2011.
(5) Este límite no afectará a las operaciones de tesorería que se concierten y amorticen dentro del año, ni a la refinanciación de la deuda contraída a corto y largo plazo.
Módulos económicos de distribución de fondos públicos para sostenimiento de centros concertados
Conforme a lo dispuesto en el artículo 17 de esta Ley, los importes anuales y desglose de los módulos económicos por unidad escolar en los Centros concertados de los distintos niveles y modalidades educativas quedan establecidos con efectos de 1 de enero, y hasta el 31 de diciembre de 2012 de la siguiente forma:
|
|
Euros |
|
EDUCACIÓN INFANTIL Y PRIMARIA |
|
|
Salarios de personal docente, incluidas cargas sociales. |
26.243,73 |
|
Gastos variables. |
3.571,98 |
|
Otros gastos. |
5.768,81 |
|
IMPORTE TOTAL ANUAL. |
35.584,52 |
|
EDUCACIÓN ESPECIAL (*) (niveles obligatorios y gratuitos) |
|
|
I. Educación Básica/Primaria. |
|
|
Salarios de personal docente, incluidas cargas sociales. |
26.243,73 |
|
Gastos variables. |
3.571,98 |
|
Otros gastos. |
6.153,43 |
|
IMPORTE TOTAL ANUAL. |
35.969,14 |
|
Personal Complementario (Logopedas, fisioterapeutas, ayudantes técnicos educativos, psicólogo-pedagogo y trabajador social), según deficiencias: |
|
|
Psíquicos. |
19.018,60 |
|
Autistas o problemas graves de personalidad. |
15.427,02 |
|
Auditivos. |
17.696,07 |
|
Plurideficiente. |
21.963,35 |
|
II. Programas de formación para la transición a la vida adulta. |
|
|
Salarios de personal docente, incluidas cargas sociales. |
52.487,45 |
|
Gastos variables. |
4.686,73 |
|
Otros gastos. |
8.766,37 |
|
IMPORTE TOTAL ANUAL. |
65.940,55 |
|
Personal Complementario (Logopedas, fisioterapeutas, ayudantes técnicos educativos, psicólogo-pedagogo y trabajador social), según deficiencias: |
|
|
Psíquicos. |
30.365,84 |
|
Autistas o problemas graves de personalidad. |
27.160,31 |
|
Auditivos. |
23.527,49 |
|
Plurideficientes. |
33.766,44 |
|
EDUCACIÓN SECUNDARIA OBLIGATORIA. |
|
|
I. Primer y segundo curso (1). |
|
|
Salarios de personal docente, incluidas cargas sociales. |
31.492,46 |
|
Gastos variables. |
4.202,14 |
|
Otros gastos. |
7.499,50 |
|
IMPORTE TOTAL ANUAL. |
43.194,11 |
|
I. Primer y segundo curso (2)... |
|
|
Salarios de personal docente, incluidas cargas sociales. |
36.981,87 |
|
Gastos variables. |
7.100,96 |
|
Otros gastos. |
7.499,50 |
|
IMPORTE TOTAL ANUAL. |
51.582,33 |
|
II. Tercer y cuarto curso. |
|
|
Salarios de personal docente, incluidas cargas sociales. |
41.912,78 |
|
Gastos variables. |
8.047,76 |
|
Otros gastos. |
8.277,53 |
|
IMPORTE TOTAL ANUAL. |
58.238,06 |
|
BACHILLERATO. |
|
|
Salarios de personal docente, incluidas cargas sociales. |
50.541,90 |
|
Gastos variables. |
9.704,64 |
|
Otros gastos. |
9.125,25 |
|
IMPORTE TOTAL ANUAL. |
69.371,79 |
|
CICLOS FORMATIVOS. |
|
|
I. Salarios de personal docente, incluidas cargas sociales. |
|
|
Grupo 1. Ciclos formativos de grado medio de 1.300 a 1.700 horas. |
|
|
Primer curso. |
46.932,61 |
|
Segundo curso. |
0,00 |
|
Grupo 2. Ciclos formativos de grado medio de 2.000 horas. |
|
|
Primer curso. |
46.932,61 |
|
Segundo curso. |
46.932,61 |
|
Grupo 3. Ciclos formativos de grado superior de 1.300 a 1.700 horas. |
|
|
Primer curso. |
43.322,41 |
|
Segundo curso. |
0,00 |
|
Grupo 4. Ciclos formativos de grado superior de 2.000 horas. |
|
|
Primer curso. |
43.322,41 |
|
Segundo curso. |
43.322,41 |
|
II. Gastos variables. |
|
|
Grupo 1. Ciclos formativos de grado medio de 1.300 a 1.700 horas. |
|
|
Primer curso. |
6.337,68 |
|
Segundo curso. |
0,00 |
|
Grupo 2. Ciclos formativos de grado medio de 2.000 horas. |
|
|
Primer curso. |
6.337,68 |
|
Segundo curso. |
6.337,68 |
|
Grupo 3. Ciclos formativos de grado superior de 1.300 a 1.700 horas. |
|
|
Primer curso. |
6.296,66 |
|
Segundo curso. |
0,00 |
|
Grupo 4. Ciclos formativos de grado superior de 2.000 horas. |
|
|
Primer curso. |
6.296,66 |
|
Segundo curso. |
6.296,66 |
|
III. Otros gastos. |
|
|
Grupo 1. Ciclos formativos de: |
|
|
– Conducción de Actividades Físico Deportivas en el Medio Natural. |
|
|
– Animación Turística. |
|
|
– Estética Personal Decorativa. |
|
|
– Química Ambiental. |
|
|
– Higiene Bucodental. |
|
|
Primer curso. |
10.026,10 |
|
Segundo curso. |
2.344,87 |
|
Grupo 2. Ciclos formativos de: |
|
|
– Secretariado. |
|
|
– Buceo a Media Profundidad. |
|
|
– Laboratorio de Imagen. |
|
|
– Comercio. |
|
|
– Gestión Comercial y Marketing. |
|
|
– Servicios al Consumidor. |
|
|
– Elaboración de Productos Lácteos. |
|
|
– Matadero y Carnicería-Charcutería. |
|
|
– Molinería e Industrias Cerealistas. |
|
|
– Laboratorio. |
|
|
– Fabricación de Productos Farmacéuticos y Afines. |
|
|
– Cuidados Auxiliares de Enfermería. |
|
|
– Documentación Sanitaria. |
|
|
– Curtidos. |
|
|
– Procesos de Ennoblecimiento Textil. |
|
|
Primer curso |
12.190,41 |
|
Segundo curso |
2.344,87 |
|
Grupo 3. Ciclos formativos de: |
|
|
– Conservería Vegetal, Cárnica y de Pescado. |
|
|
– Transformación de Madera y Corcho. |
|
|
– Operaciones de Fabricación de Productos Farmacéuticos. |
|
|
– Operaciones de Transformación de Plásticos y Caucho. |
|
|
– Industrias de Proceso de Pasta y Papel. |
|
|
– Plástico y Caucho. |
|
|
– Operaciones de Ennoblecimiento Textil. |
|
|
Primer curso |
14.508,30 |
|
Segundo curso |
2.344,87 |
|
Grupo 4. Ciclos formativos de |
|
|
– Encuadernados y Manipulados de Papel y Cartón. |
|
|
– Impresión en Artes Gráficas. |
|
|
– Fundición. |
|
|
– Tratamientos Superficiales y Térmicos. |
|
|
– Calzado y Marroquinería. |
|
|
– Producción de Hilatura y Tejeduría de Calada. |
|
|
– Producción de Tejidos de Punto. |
|
|
– Procesos de Confección Industrial. |
|
|
– Procesos Textiles de Hilatura y Tejeduría de Calada. |
|
|
– Procesos Textiles de Tejeduría de Punto. |
|
|
– Operaciones de Fabricación de Vidrio y Transformados. |
|
|
– Fabricación y Transformación de Productos de Vidrio. |
|
|
Primer curso |
16.785,68 |
|
Segundo curso |
2.344,87 |
|
Grupo 5. Ciclos formativos de: |
|
|
– Realización y Planes de Obra. |
|
|
– Asesoría de Imagen Personal. |
|
|
– Radioterapia. |
|
|
– Animación Sociocultural. |
|
|
– Integración Social. |
|
|
Primer curso |
10.026,10 |
|
Segundo curso |
3.791,92 |
|
Grupo 6. Ciclos formativos de: |
|
|
– Operaciones de Cultivo Acuícola. |
|
|
Primer curso |
14.508,30 |
|
Segundo curso |
3.791,92 |
|
Grupo 7. Ciclos formativos de: |
|
|
– Aceites de oliva y vinos. |
|
|
– Gestión Administrativa. |
|
|
– Explotaciones Ganaderas. |
|
|
– Jardinería. |
|
|
– Trabajos Forestales y de Conservación de Medio Natural. |
|
|
– Gestión y Organización de Empresas Agropecuarias. |
|
|
– Gestión y Organización de Recursos Naturales y Paisajísticos. |
|
|
– Administración y Finanzas. |
|
|
– Pesca y Transporte Marítimo. |
|
|
– Navegación, Pesca y Transporte Marítimo. |
|
|
– Producción de Audiovisuales, Radio y Espectáculos. |
|
|
– Comercio Internacional. |
|
|
– Gestión del Transporte. |
|
|
– Obras de Albañilería. |
|
|
– Obras de Hormigón. |
|
|
– Operación y Mantenimiento de Maquinaria de Construcción. |
|
|
– Desarrollo y Aplicación de Proyectos de Construcción. |
|
|
– Desarrollo de Proyectos Urbanísticos y Operaciones Topográficas. |
|
|
– Óptica de Anteojería. |
|
|
– Gestión de alojamientos turísticos. |
|
|
– Servicios en restauración. |
|
|
– Caracterización. |
|
|
– Peluquería. |
|
|
– Estética. |
|
|
– Elaboración de Productos Alimenticios. |
|
|
– Panadería, repostería y confitería. |
|
|
– Administración de Sistemas Informáticos. |
|
|
– Administración de Sistemas Informáticos en Red. |
|
|
– Desarrollo de Aplicaciones Informáticas. |
|
|
– Administración de Aplicaciones Multiplataforma. |
|
|
– Desarrollo de Productos de Carpintería y Mueble. |
|
|
– Prevención de riesgos profesionales. |
|
|
– Anatomía Patológica y Citología. |
|
|
– Salud Ambiental. |
|
|
– Laboratorio de análisis y de control de calidad. |
|
|
– Química industrial. |
|
|
– Planta química. |
|
|
– Dietética. |
|
|
– Imagen para el Diagnóstico. |
|
|
– Laboratorio de Diagnóstico Clínico. |
|
|
– Ortoprotésica. |
|
|
– Audiología protésica. |
|
|
– Emergencias Sanitarias. |
|
|
– Farmacia y Parafarmacia. |
|
|
– Interpretación de la Lengua de Signos. |
|
|
– Atención Sociosanitaria. |
|
|
– Educación Infantil. |
|
|
– Desarrollo de Aplicaciones Web. |
|
|
– Dirección de Cocina. |
|
|
– Guía de Información y Asistencia Turísticas. |
|
|
– Agencias de Viajes y Gestión de Eventos. |
|
|
– Dirección de Servicios de Restauración. |
|
|
– Diseño y Producción de Calzado y Complementos. |
|
|
– Proyectos de Edificación. |
|
|
Primer curso |
9.029,74 |
|
Segundo curso |
10.908,01 |
|
Grupo 8. Ciclos formativos de: |
|
|
– Producción Agroecológica. |
|
|
– Producción Agropecuaria. |
|
|
– Explotaciones Agrarias Extensivas. |
|
|
– Explotaciones Agrícolas Intensivas. |
|
|
– Operación, Control y Mantenimiento de Maquinaria e Instalaciones del Buque. |
|
|
– Supervisión y Control de Máquinas e Instalaciones del Buque. |
|
|
– Equipos Electrónicos de Consumo. |
|
|
– Desarrollo de Productos Electrónicos. |
|
|
– Instalaciones Electrotécnicas. |
|
|
– Sistemas de Regulación y Control Automáticos. |
|
|
– Instalaciones de Telecomunicación. |
|
|
– Instalaciones eléctricas y automáticas. |
|
|
– Sistemas microinformático y redes. |
|
|
– Acabados de Construcción. |
|
|
– Cocina y Gastronomía. |
|
|
– Mantenimiento de Aviónica. |
|
|
– Prótesis Dentales. |
|
|
– Confección y Moda. |
|
|
– Patronaje y Moda. |
|
|
Primer curso |
11.121,35 |
|
Segundo curso |
12.694,59 |
|
Grupo 9. Ciclos formativos de: |
|
|
– Animación de Actividades Físicas y Deportivas. |
|
|
– Diseño y Producción Editorial. |
|
|
– Producción en Industrias de Artes Gráficas. |
|
|
– Imagen. |
|
|
– Realización de Audiovisuales y Espectáculos. |
|
|
– Sonido. |
|
|
– Sistemas de Telecomunicación e Informáticos. |
|
|
– Desarrollo de Proyectos Mecánicos. |
|
|
– Producción por Fundición y Pulvimetalurgia. |
|
|
– Programación de la producción en fabricación mecánica. |
|
|
– Diseño en fabricación mecánica. |
|
|
– Fabricación a medida e instalación de Madera y Mueble. |
|
|
– Carpinteria y Mueble. |
|
|
– Producción de Madera y Mueble. |
|
|
– Montaje y Mantenim. de Instalaciones de Frío, Climatización y Produc. de Calor. |
|
|
– Desarrollo de Proyectos de Instalaciones Térmicas y Fluidos. |
|
|
– Mantenimiento de Instalaciones Térmicas y de Fluidos. |
|
|
– Carrocería. |
|
|
– Electromecánica de vehículos. |
|
|
– Automoción. |
|
|
– Mantenimiento Aeromecánico. |
|
|
– Eficiencia Energética y Energía Solar Térmica. |
|
|
Primer curso |
13.080,70 |
|
Segundo curso |
14.512,79 |
|
Grupo 10. Ciclos formativos de: |
|
|
– Producción Acuícola. |
|
|
– Vitivinicultura. |
|
|
– Preimpresión en Artes Gráficas. |
|
|
– Joyería. |
|
|
– Mecanizado. |
|
|
– Soldadura y Calderería. |
|
|
– Construcciones Metálicas. |
|
|
– Industria Alimentaria. |
|
|
– Procesos de Calidad en la Industria Alimentaria. |
|
|
– Instalación y Mantenim. Electromecánico de Maquinaria y Conducción de Líneas. |
|
|
– Mantenimiento Ferroviario. |
|
|
– Mantenimiento de Equipo Industrial. |
|
|
– Fabricación de Productos Cerámicos. |
|
|
– Desarrollo y Fabricación de Productos Cerámicos. |
|
|
Primer curso |
15.130,74 |
|
Segundo curso |
16.224,69 |
|
PROGRAMAS DE CUALIFICACIÓN PROFESIONAL INICIAL. |
|
|
I. Salarios de personal docente, incluidas cargas sociales |
46.932,61 |
|
II. Gastos variables |
6.337,68 |
|
III. Otros Gastos. |
|
|
Grupo 1 |
7.188,37 |
|
(*) Sobre Cualificaciones Nivel 1 de las Familias Profesionales de: |
|
|
– Administración. |
|
|
– Administración y Gestión. |
|
|
– Artesanías. |
|
|
– Comercio y Marketing. |
|
|
– Hostelería y Turismo. |
|
|
– Imagen Personal. |
|
|
– Química. |
|
|
– Sanidad. |
|
|
– Seguridad y Medio Ambiente. |
|
|
– Servicios Socioculturales y a la Comunidad. |
|
|
Grupo 2 |
8.218,46 |
|
* Sobre Cualificaciones Nivel 1 de las Familias Profesionales de: |
|
|
– Actividades Agrarias. |
|
|
– Agraria. |
|
|
– Artes Gráficas. |
|
|
– Comunicación, Imagen y Sonido. |
|
|
– Imagen y Sonido. |
|
|
– Edificación y Obra Civil. |
|
|
– Electricidad y Electrónica. |
|
|
– Energía y Agua. |
|
|
– Fabricación Mecánica. |
|
|
– Industrias Alimentarias. |
|
|
– Industrias Extractivas. |
|
|
– Madera y Mueble. |
|
|
– Madera, Mueble y Corcho. |
|
|
– Mantenimiento de Vehículos Autopropulsados. |
|
|
– Transporte y Mantenimiento de Vehículos. |
|
|
– Mantenimiento y Servicios a la Producción. |
|
|
– Marítimo-Pesquera. |
|
|
– Instalación y Mantenimiento. |
|
|
– Textil, Confección y Piel. |
|
1. A los maestros que imparten 1.º y 2.º curso de Educación Secundaria Obligatoria las Administraciones Educativas abonarán en 2012 la misma cuantía del complemento que para esta finalidad se les abona a los maestros de la enseñanza pública.
2. A los licenciados que impartan 1.º y 2.º curso de Educación Secundaria Obligatoria se les aplicará el módulo indicado.
(*) Las Comunidades Autónomas en pleno ejercicio de competencias educativas, podrán adecuar los módulos de Personal Complementario de Educación Especial, a las exigencias derivadas de la normativa aplicable en cada una de ellas.
Módulos económicos de distribución de fondos públicos para sostenimiento de centros concertados ubicados en las Ciudades Autónomas de Ceuta y Melilla
Conforme a lo dispuesto en el artículo 17 de esta Ley, los importes anuales y desglose de los módulos económicos por unidad escolar en los Centros concertados de los distintos niveles y modalidades educativas ubicados en las ciudades de Ceuta y Melilla, quedan establecidos con efectos de 1 de enero, y hasta el 31 de diciembre de 2012 de la siguiente forma:
|
|
Euros |
|
EDUCACIÓN INFANTIL. |
|
|
Relación profesor/unidad: 1,17:1. |
|
|
Salarios de personal docente, incluidas cargas sociales. |
36.636,24 |
|
Gastos variables. |
3.571,98 |
|
Otros gastos |
6.489,15 |
|
IMPORTE TOTAL ANUAL. |
46.697,37 |
|
EDUCACIÓN PRIMARIA. |
|
|
Relación profesor / unidad: 1,17:1. |
|
|
Salarios de personal docente, incluidas cargas sociales. |
36.636,24 |
|
Gastos variables. |
3.571,98 |
|
Otros gastos |
6.489,15 |
|
IMPORTE TOTAL ANUAL. |
46.697,37 |
|
EDUCACIÓN SECUNDARIA OBLIGATORIA. |
|
|
I. Primer y segundo curso: (1). |
|
|
Relación profesor / unidad: 1,49:1. |
|
|
Salarios de personal docente, incluidas cargas sociales. |
46.656,42 |
|
Gastos variables. |
4.202,14 |
|
Otros gastos |
8.435,92 |
|
IMPORTE TOTAL ANUAL. |
59.294,49 |
|
I. Primer y segundo curso: (2). |
|
|
Relación profesor / unidad: 1,49:1. |
|
|
Salarios de personal docente, incluidas cargas sociales. |
53.899,03 |
|
Gastos variables. |
7.267,38 |
|
Otros gastos |
8.435,92 |
|
IMPORTE TOTAL ANUAL. |
69.602,33 |
|
II. Tercer y cuarto curso. |
|
|
Relación profesor / unidad: 1,65:1. |
|
|
Salarios de personal docente, incluidas cargas sociales. |
59.686,83 |
|
Gastos variables. |
8.047,77 |
|
Otros gastos |
9.311,06 |
|
IMPORTE TOTAL ANUAL |
77.045,65 |
|
PROGRAMAS DE CUALIFICACIÓN PROFESIONAL INICIAL. |
|
|
– Auxiliar de Comercio y Almacén. |
|
|
Relación profesor / unidad: 1,20:1. |
|
|
Salarios de personal docente, incluidas cargas sociales... |
46.932,61 |
|
Gastos variables. |
8.047,77 |
|
Otros gastos |
9.311,06 |
|
IMPORTE TOTAL ANUAL. |
64.291,43 |
La cuantía del componente del módulo de «Otros gastos» para las unidades concertadas en las enseñanzas de Educación Infantil, Educación Primaria y Educación Secundaria Obligatoria y Programas de Cualificación Profesional inicial será incrementada en 1.181,09 euros en los centros ubicados en Ceuta y Melilla, en razón del mayor coste originado por el plus de residencia del Personal de Administración y Servicios.
Al personal docente de los Centros concertados ubicados en Ceuta y Melilla, se le abonará la cantidad correspondiente al plus de residencia establecido en el correspondiente Convenio Colectivo, si bien la Administración Educativa no asumirá incrementos superiores al porcentaje de incremento global fijado en la presente Ley de Presupuestos Generales del Estado.
(1) A los maestros que imparten 1.º y 2.º curso de Educación Secundaria Obligatoria, se les abonará en el año 2012 la misma cuantía que se establezca para los maestros de los mismos cursos en los centros públicos.
(2) A los licenciados que impartan 1.º y 2.º curso de Educación Secundaria Obligatoria se les aplicará este módulo.
Costes de personal de la Universidad Nacional de Educación a Distancia (UNED)
Conforme a lo dispuesto en el artículo 18 de esta Ley, el coste del personal docente (funcionario y contratado) y del personal de administración y servicios (funcionario y laboral fijo) tiene el siguiente detalle, en miles de euros, sin incluir trienios ni Seguridad Social.
|
Personal Docente (funcionario y contratado) Miles de euros |
Personal no Docente (funcionario y laboral fijo) Miles de euros |
|
55.144,70 |
26.909,36 |
Remanentes de crédito incorporables en el ejercicio 2012
Podrán incorporarse a los créditos del ejercicio, los remanentes que se recogen a continuación:
a) El del crédito 17.453B.38.755 para financiar obras y expropiaciones del Convenio con la Comunidad Autónoma de Canarias así como los que correspondan al superproyecto del Anexo de Inversiones 1996.17.038.9500 «Convenio con la Comunidad Autónoma de Canarias», siempre que sea inferior al que se produzca en el crédito 17.38.453B. Capítulo 6.
b) El del crédito 19.291M.01.620 para adquisiciones y acondicionamiento de inmuebles afectos al Patrimonio Sindical Acumulado.
c) Los de los créditos 20.423M.101.771, 20.457M.101.751, 20.457M.101.761 y 20.457M.101.781 para reactivación económica de las comarcas mineras del carbón.
d) El del crédito 23.452A.05.611 que corresponda a la anualidad establecida en el Convenio de colaboración suscrito entre el Ministerio de Agricultura, Alimentación y Medio Ambiente y la Comunidad Autónoma de Canarias para actuaciones de infraestructuras hidráulicas y de calidad de las aguas, siempre que sea inferior al remanente que se produzca en el crédito 23. 452A. 05. Capítulo 6.
e) El del crédito 23.456A.05.601 que corresponda a la anualidad establecida en el Convenio de colaboración suscrito entre el Ministerio de Agricultura, Alimentación y Medio Ambiente y la Comunidad Autónoma de Canarias para actuaciones de infraestructuras hidráulicas y de calidad de las aguas, siempre que sea inferior al remanente que se produzca en el crédito 23. 456A.05. Capítulo 6.
f) El del crédito 23.456D.06.601 que corresponda a la anualidad establecida en el Convenio de colaboración suscrito entre el Ministerio de Agricultura, Alimentación y Medio Ambiente y la Comunidad Autónoma de Canarias para actuaciones en las costas, siempre que sea inferior al remanente que se produzca en el crédito 23. 456D. 06. Capítulo 6.
g) En la Sección 33, los procedentes de los Fondos de Compensación Interterritorial, en los términos establecidos en la Ley 22/2001, de 27 de diciembre.
h) Los de la Sección 36, procedentes de las transferencias realizadas como consecuencia de los Reales Decretos de traspasos de servicios.
Bienes del patrimonio histórico español
De conformidad con lo establecido en la disposición adicional quincuagésima de esta Ley, se especifican a continuación los bienes del Patrimonio Histórico a los que la misma es aplicable.
Grupo I: Bienes singulares declarados patrimonio de la humanidad.
Todos los bienes declarados de interés cultural integrados en la siguiente relación:
Andalucía:
Mezquita de Córdoba (noviembre 1984).
Alhambra y Generalife. Granada (noviembre 1984).
Catedral, Alcázar y Archivo de Indias de Sevilla (diciembre 1987).
Parque Nacional de Doñana (1994).
Bienes incluidos en el Arte Rupestre del Arco Mediterráneo de la Península Ibérica (diciembre 1998):
Los Molinos I (Vélez Blanco, Almería).
Los Molinos II (Vélez Blanco, Almería).
Gabar (Vélez Blanco, Almería).
Abrigo Central de Tello (Vélez Blanco, Almería).
Abrigo de Manuel Vallejo (Quesada, Jaén).
Aragón:
Arquitectura Mudéjar de Aragón (noviembre 1986 y diciembre de 2001):
Torre e Iglesia de San Pedro (Teruel).
Torres y artesonado, Catedral (Teruel).
Torre de San Salvador (Teruel).
Torre de San Martín (Teruel).
Palacio de la Aljafería (Zaragoza).
Seo de San Salvador (Zaragoza).
Iglesia de San Pablo (Zaragoza).
Iglesia de Santa María (Tobed).
Iglesia de Santa Tecla (Cervera de la Cañada).
Colegiata de Santa María (Calatayud).
Bienes incluidos en el Arte Rupestre del Arco Mediterráneo de la Península Ibérica (diciembre 1998):
Cueva de la Fuente del Trucho (Asque, Colunga, Huesca).
Abrigo del plano del pulido (Caspe, Zaragoza).
Cueva del Chopo (Obón, Teruel).
Abrigo de Santa Ana I (Castillonroy, Huesca).
Abrigos del Conjunto de las tajadas de Bezas (Bezas, Teruel).
Bienes incluidos en el Camino de Santiago (diciembre de 1993):
Iglesia y torre de Aruej.
Granja de San Martín.
Pardina de Solano.
Asturias:
Prerrománico Asturiano (diciembre 1985 y ampliación de 2000):
Santa María del Naranco.
San Miguel de Lillo.
Santa Cristina de Lena.
San Salvador de Valdediós.
Cámara Santa Catedral de Oviedo.
San Julián de los Prados.
Canarias:
Parque Nacional de Garajonay. Gomera (diciembre 1986).
Parque Nacional del Teide. Tenerife (junio 2007).
Cantabria:
Cueva de Altamira. Santillana del Mar (diciembre 1985).
Ampliación: La Cueva de Altamira y el Arte Rupestre de la Cornisa Cantábrica (junio 2008).
Castilla y León:
Catedral de Burgos (noviembre 1984).
Iglesias extramuros de Ávila (diciembre 1985):
San Pedro.
San Vicente.
San Segundo.
San Andrés.
Las Médulas, León (diciembre 1997).
El Yacimiento Arqueológico de la Sierra de Atapuerca (diciembre 2000).
Bienes incluidos en el Camino de Santiago (diciembre 1993):
Iglesia de San Juan de Ortega.
Monasterio de San Zoilo, Carrión de los Condes, Palencia.
Iglesia Colegiata de San Isidoro, León.
Yacimientos de Arte Rupestre Prehistórico del Valle del Côa y Siega Verde (2010).
Castilla-La Mancha:
Bienes incluidos en el Arte Rupestre del Arco Mediterráneo de la Península Ibérica (diciembre 1998):
Conjunto de arte rupestre de Alpera, en el término municipal de Alpera (Albacete).
Conjunto de arte rupestre de Minateda, en el término municipal de Hellín (Albacete).
Conjunto de arte rupestre «Torcal de las Bojadillas», en el término municipal de Nerpio (Albacete).
Abrigo de Solana de las Covachas, en el término municipal de Nerpio (Albacete).
Conjunto de arte rupestre de Villar del Humo, en el término municipal de Villar del Humo (Cuenca).
Cataluña:
Parque Güell, Palacio Güell, Casa Milá en Barcelona (noviembre 1984).
Monasterio de Poblet. Vimbodí. Tarragona (diciembre 1991).
Palau de la Música Catalana (diciembre 1997).
Hospital de San Pau de Barcelona (diciembre 1997).
El Conjunto arqueológico de Tarraco (diciembre 2000).
Las Iglesias Románicas del Vall de Boí (diciembre 2000).
Bienes incluidos en el Arte Rupestre del Arco Mediterráneo de la Península Ibérica: (diciembre 1998):
La Roca dels Moros (El Cogul, Les Garrigues).
Conjunt Abrics d'Ermites de la Serra de la Pietat (Ulldecona, El Montsia).
Cova dels Vilasos o dels Vilars (Os de Balaguer, La Noguera).
Cabra Feixet (El Perelló, El Baix Ebre).
La Vall de la Coma (L´Albí, Les Garrigues).
Fachada de la Natividad y la Cripta de la Sagrada Familia, Casa Vicens, Casa Batlló y Cripta de la Colonia Güell (julio 2005).
Extremadura:
Monasterio de Guadalupe. Cáceres (diciembre 1993).
Conjunto Arqueológico de Mérida. Badajoz (diciembre 1993).
Galicia:
La Muralla Romana de Lugo (diciembre 2000).
Bienes incluidos en el Camino de Santiago (diciembre 1993):
Conjunto etnográfico de pallozas en O'Cebrero, Lugo.
Monasterio de Samos, Lugo.
Núcleo rural, iglesia y puente medieval de Leboreiro, Melide, La Coruña.
Torre de Hércules (2009).
Madrid:
Monasterio de El Escorial. San Lorenzo de El Escorial. Madrid (noviembre 1984).
Paisaje Cultural de Aranjuez (diciembre 2001).
Murcia:
El Anfiteatro romano de Cartagena.
El yacimiento arqueológico de San Esteban.
Navarra:
Bienes incluidos en el Camino de Santiago (diciembre 1993):
San Pedro de la Rúa, Estella.
Santa María la Real, Sangüesa.
Santa María, Viana.
La Rioja:
Monasterios de Suso y Yuso, San Millán de la Cogolla. La Rioja (diciembre 1997).
Bienes incluidos en el Camino de Santiago (diciembre 1993):
Iglesia de Santiago, Logroño.
Iglesia Imperial de Santa María de Palacio, Logroño.
Iglesia de la Asunción de Nuestra Señora, Navarrete.
País Vasco:
Puente Vizcaya (julio 2006).
Valencia:
La Lonja de Valencia, Valencia (diciembre 1996).
El Palmeral de Elche (diciembre 2000).
Bienes incluidos en el Arte Rupestre del Arco Mediterráneo de la Península Ibérica (diciembre 1998):
Cova Remigia (Ares del Maestra, Castellón).
Galería Alta de la Masía (Morella, Castellón).
Las Cuevas de la Araña (Bicorp, Valencia).
La Sarga (Alcoi, Alicante).
Grupo II. Edificios eclesiásticos incluidos en el Plan Nacional de Catedrales.
Andalucía:
– Almería. Catedral de Nuestra Señora de la Encarnación.
– Cádiz. Catedral de Santa Cruz.
– Cádiz. Nuestro Señor San Salvador. Jerez de la Frontera. Catedral.
– Córdoba. Catedral de la Asunción de Nuestra Señora. Mezquita.
– Granada. Catedral de la Anunciación.
– Huelva. Nuestra Señora de la Merced. Catedral.
– Guadix, Granada. Catedral de la Encarnación de la Asunción.
– Jaén. Catedral de la Asunción de la Virgen.
– Málaga. Catedral de la Encarnación.
– Sevilla. Catedral de Santa María.
– Concatedral de Baza.
– Cádiz Vieja. Ex-Catedral.
– Baeza, Jaén. La Natividad de Nuestra Señora. Ex-Catedral.
Aragón:
– Huesca. Catedral de la Transfiguración del Señor.
– Teruel. El Salvador. Albarracín. Catedral.
– Barbastro, Huesca. Catedral de Santa María.
– Jaca, Huesca. Catedral de San Pedro Apóstol.
– Teruel. Catedral de Santa María de Mediavilla.
– Zaragoza. Salvador. Catedral.
– Zaragoza. Catedral Basílica de Nuestra Señora del Pilar.
– Monzón. Huesca. Santa María del Romeral. Concatedral.
– Huesca. Ex-Catedral de Roda de Isábena.
Asturias:
– Oviedo. Catedral de San Salvador.
Baleares:
– Mallorca. Catedral de Santa María de Palma.
– Menorca. Catedral de Ciudadela.
– Ibiza. Catedral de Santa María de Ibiza.
Castilla y León:
– Ávila. Catedral del Salvador.
– Burgos. Catedral de Santa María.
– León. Catedral de Santa María.
– Astorga, León. Catedral de Santa María.
– Palencia. Catedral de San Antolín.
– Salamanca. Catedral nueva de la Asunción de la Virgen.
– Ciudad Rodrigo, Salamanca. Catedral de Santa María.
– Segovia. Catedral de Santa María.
– Burgo de Osma, Soria. Catedral de la Asunción.
– Valladolid. Catedral de Nuestra Señora de la Asunción.
– Zamora. Catedral de la Transfiguración.
– Soria. Concatedral de San Pedro.
– Salamanca. Catedral vieja de Santa María.
Castilla-La Mancha:
– Albacete. Catedral de San Juan Bautista.
– Ciudad Real. Catedral de Santa María del Prado.
– Cuenca. Catedral de Santa María y San Julián.
– Sigüenza, Guadalajara. Catedral de Nuestra Señora.
– Toledo. Catedral de Santa María.
– Guadalajara. Concatedral.
Canarias:
– Las Palmas de Gran Canaria. Catedral Basílica de Canarias. Iglesia de Santa Ana.
– La Laguna. Catedral de La Laguna, Iglesia de Nuestra Señora de los Remedios.
Cataluña:
– Barcelona. Catedral de Santa Creu i Santa Eulàlia.
– Vic. Catedral de Sant Pere.
– Girona. Catedral de Santa María.
– Lleida. Catedral de Santa María de la Seu Nova.
– La Seu d'Urgell. Catedral de Santa María.
– Solsona. Catedral de Santa María.
– Tarragona. Catedral de Santa María.
– Tortosa. Catedral de Santa María.
– Lleida. Catedral de Santa Maria de la Seu Vella.
– Sagrada Familia, Barcelona.
Cantabria:
– Santander. Catedral de la Asunción de la Virgen.
Extremadura:
– Badajoz. Catedral de San Juan Bautista.
– Coria, Cáceres. Catedral de la Asunción de Nuestra Señora.
– Plasencia, Cáceres. Catedral de Santa María.
– Cáceres. Concatedral de Santa María.
– Mérida. Concatedral de Santa María.
Galicia:
– Santiago de Compostela, Coruña. Catedral Basílica Metropolitana.
– Lugo. Catedral de Santa María.
– Mondoñedo, Lugo. Catedral de Nuestra Señora de los Remedios.
– Orense. Catedral de San Martín.
– Tuy, Pontevedra. Catedral de la Asunción.
– Concatedral de Vigo.
– Concatedral de Ferrol.
– San Martiño de Foz, Lugo.
Madrid:
– Madrid. La Almudena. Catedral.
– Alcalá de Henares. La Magistral. Catedral.
– Getafe. Santa María Magdalena. Catedral.
– San Isidro, Madrid. Ex-Catedral.
Murcia:
– Cartagena. Iglesia Antigua de Santa María Catedral.
– Murcia. Concatedral de Santa María.
Navarra:
– Pamplona. Catedral de la Asunción de Nuestra Señora.
– Tudela. Virgen María. Catedral.
País Vasco:
– Bilbao. Catedral de Santiago Apóstol.
– Vitoria. Catedral vieja de Santa María.
– San Sebastián. Buen Pastor. Catedral.
La Rioja:
– Calahorra. Catedral de la Asunción de Nuestra Señora.
– Santo Domingo de la Calzada. Catedral del Salvador.
– Logroño. Concatedral de Santa María de la Redonda.
Valencia:
– Orihuela, Alicante. Catedral del Salvador y Santa María.
– Valencia. Catedral de San Pedro y Santa María.
– Castellón. Segorbe. Catedral.
– Alicante. Concatedral de San Nicolás.
– Castellón. Santa María. Concatedral.
Ceuta:
– La Asunción. Catedral.
Grupo III. Otros bienes culturales.
Andalucía: Conjunto Arqueológico de Madinat Al-Zahra.
Aragón: Palacio de Villahermosa e Iglesias en Pedrola, Zaragoza.
Asturias: Monasterio de San Salvador de Cornellana. Salas.
Baleares: La Lonja de Palma.
Canarias: Convento de Santa Clara, San Cristóbal de La Laguna (Tenerife).
Cantabria: Universidad Pontificia de Comillas.
Castilla-La Mancha: Yacimiento de la Villa romana de Noheda. Villar de Domingo García (Cuenca).
Castilla y León: Cartuja de Miraflores, Burgos.
Cataluña: Murallas de Tarragona.
Extremadura: Monasterio de Guadalupe (Cáceres).
Galicia: Monasterio de Sobrado Dos Monxes (A Coruña).
Madrid: La Ermita Virgen del Puerto.
Murcia: Anfiteatro romano de Cartagena y Yacimiento arqueológico de San Esteban.
Navarra: Ciudadela y Murallas de Pamplona.
País Vasco: Basílica de San Prudencio. Barrio de Armentia. Vitoria-Gasteiz.
La Rioja: Muralla de Briones.
Valencia: Monasterio de Santa María de la Valldigna. Simat de Valldigna. Valencia.
Ceuta: Fortines neomedievales y Puerta Califal del siglo XI.
Melilla: Fuerte de Victoria Chica y Fuerte del Rosario.













































Entidad Públicas Empresariales y otros organismos públicos
Administrador de Infraestructuras Ferroviarias (ADIF).
Aeropuertos Españoles y Navegación Aérea (AENA).
Centro para el Desarrollo Tecnológico e Industrial (CDTI).
Consorcio de Compensación de Seguros (CCS).
Consorcio para la Construcción del Auditorio de Música de Málaga.
Consorcio Valencia 2007.
Consorcio Zona Franca Cádiz.
Consorcio Zona Franca Gran Canaria.
Consorcio Zona Franca de Vigo.
Ente Público RTVE en liquidación.
Entidad Pública Empresarial Red.es (RED.ES).
Fábrica Nacional de Moneda y Timbre-Real Casa de la Moneda (FNMT-RCM).
Ferrocarriles de Vía Estrecha (FEVE).
Fondo de Financiación para el pago a proveedores.
Fondo de Reestructuración Ordenada Bancaria (FROB).
Gerencia del Sector de la Construcción Naval.
Instituto de Crédito Oficial (ICO).
Instituto Español de Comercio Exterior (ICEX).
Instituto para la Diversificación y Ahorro de la Energía (IDAE).
Puertos del Estado y Autoridades Portuarias.
RENFE-Operadora.
SEPES Entidad Pública Empresarial de Suelo (EPE SUELO).
Sociedad de Salvamento y Seguridad Marítima (SASEMAR).
Sociedad Estatal de Participaciones Industriales (SEPI).
Entidades públicas empresariales y sociedades mercantiles estatales
Anexo a que se refiere la Disposición Adicional Cuadragésima primera de la Ley. Contratación de inversiones por parte de las entidades públicas empresariales y sociedades mercantiles estatales.
Administrador de Infraestructuras Ferroviarias (ADIF).
Aguas de la Cuenca del Ebro, S.A. (acuaEbro).
Aguas de las Cuencas Mediterráneas, S.A. (acuaMed).
Autoridad Portuaria de A Coruña.
Autoridad Portuaria de Gijón.
Ferrocarriles de Vía Estrecha (FEVE).
Sociedad de Infraestructuras y Equipamientos Penitenciarios, S.A. (SIEPSA).
Sociedad Estatal de Infraestructuras Agrarias, S.A. (SEIASA).
Sociedad Estatal de Infraestructuras de Transporte Terrestre, S.A. (SEITTSA).
Instalaciones científicas a las que se refiere la disposición adicional quincuagésima de esta Ley.
• Plataforma Solar de Almería.
• Centro astronómico de Calar Alto.
• Radio Telescopio del Instituto de Radioastronomía Milimétrica en el pico Veleta.
• Reserva Biológica de Doñana.
• Observatorio del Teide.
• Observatorio del Roque de los Muchachos.
• Centro astronómico de Yebes.
• Centro de Computación y Comunicaciones de Cataluña (CESCA).
• Laboratorio de Resonancia Magnética Nuclear del Parque Científico de Barcelona.
• Sala Blanca del Centro Nacional de Microelectrónica.
• Barcelona Supercomputing Center-Centro Nacional de Supercomputación (BSC-CNS).
• Canal de Investigación y Experimentación Marítima (CIEM).
• Dispositivo de Fusión Termonuclear TJ-II del CIEMAT.
• Instalación de alta seguridad biológica del CISA (INIA).
• Instalaciones singulares de ingeniería civil en el CEDEX.
• Red IRIS.
• Central de Tecnología del Instituto de Sistemas Opto-electrónicos de la Universidad Politécnica de Madrid.
• Canal de Experiencias Hidrodinámicas de El Pardo (CEHIPAR).
• Buque de investigación Oceanográfica Cornide de Saavedra.
• Buque de Investigación Oceanográfica Hespérides.
• Bases antárticas españolas Juan Carlos I y Gabriel de Castilla.
• Laboratorio Subterráneo de Canfranc.
• Gran Telescopio CANARIAS.
• Laboratorio de Luz Sincrotrón Alba.
• Buque de Investigación Oceanográfica Sarmiento de Gamboa.
• Centro Nacional de Investigación sobre la Evolución Humana (CENIEH).
• Centro Nacional de Aceleradores.
• Centro de Microscopía de la Universidad Complutense de Madrid y Unidad de Microscopía del Centro Nacional de Biotecnología (CNB-CSIC).
• Centro Nacional de Energías Renovables (CENER).
• Nodo de la Red Española de Supercomputación en la Universidad de Valencia.
• Nodo de la Red Española de Supercomputación en la Universidad de Málaga.
• Nodo de la Red Española de Supercomputación en la Universidad de Cantabria.
• Nodo de la Red Española de Supercomputación en la Universidad Politécnica de Madrid.
• Nodo de la Red Española de Supercomputación en el Instituto de Astrofísica de Canarias.
• Nodo de la Red Española de Supercomputación en el Instituto de Biocomputación y Física de Sistemas Complejos (BIFI) de la Universidad de Zaragoza.
• Centro de Supercomputación de Galicia (CESGA).
• Plataforma Oceánica de Canarias (PLOCAN).
• Sistema de Observación Costero de las Illes Balears (SOCIB).
• Centro Nacional de Experimentación de Tecnologías del Hidrógeno y Pilas de Combustible (CNETHPC).
• Centro de Láseres Pulsados Ultracortos Ultraintensos (CLPU).
• Consorcio ESS-Bilbao.
• Gran Tanque de Ingeniería Marítima de Cantabria.
• Imagen Biomédica de Madrid.
• Instituto de Investigación sobre Cambio Climático de Zaragoza (I2C2).
• Instalación imagen molecular – CIC-BIOMAGUNE.
• Plataformas Aéreas del INTA.
Entidades del sector público administrativo
Consorcio Centro Sefarad-Israel.
Consorcio Casa Árabe y su Instituto Internacional de Estudios Árabes y del Mundo Musulmán.
Consorcio Casa del Mediterráneo.
Consorcio de Actividades Logísticas, Empresariales, Tecnológicas, Ambientales y de Servicios de la Bahía de Cádiz, Consorcio Aletas.
Consorcio Ciudad de Cuenca.
Consorcio de la Ciudad de Santiago de Compostela.
Consorcio Ciudad de Toledo.
Consorcio de la Zona Especial Canaria (CZEC).
Comisión Nacional del Sector Postal.
Comisión Nacional de la Energía (CNE).
Comisión del Mercado de Telecomunicaciones (CMT).
Consorcio Instituto de Investigación sobre Cambio Climático.
Consorcio para el Equipamiento y Explotación del Laboratorio Subterráneo de Canfranc.
Consorcio para la Creación, Construcción, Equipamiento y Explotación del Barcelona Supercomputing Center – Centro Nacional de Supercomputación.
Consorcio de Apoyo a la Investigación Biomédica en Red (CAIBER).
Consorcio CIBER para el Área Temática de Salud Mental.
Consorcio CIBER para el Área Temática de Bioingeniería, Biomateriales y Nanomedicina.
Consorcio CIBER para el Área Temática de Diabetes y Enfermedades Matabólicas.
Consorcio CIBER para el Área Temática de Enfermedades Hepáticas y Digestivas.
Consorcio CIBER para el Área Temática de Enfermedades Neurodegenerativas.
Consorcio CIBER para el Área Temática de Enfermedades Respiratorias.
Consorcio CIBER para el Área Temática de Enfermedades Raras.
Consorcio CIBER para el Área Temática de Epidemiología y Salud Pública.
Consorcio CIBER para el Área Temática de Fisiopatología de la Obesidad y Nutrición.
Comisión Nacional del Mercado de Valores (CNMV).
Fondos sin personalidad jurídica
Fondo para la Promoción del Desarrollo.
Fondo de Cooperación para Agua y Saneamiento.
Fondo de Garantía de Alimentos.
Fondo Estatal de Inversión Local.
Fondo Estatal para el Empleo y la Sostenibilidad Local.
Fondo Financiero para la Modernización de la Infraestructura Turística (FOMIT).
Fondo de Apoyo a la diversificación del Sector Pesquero y Acuícola.
Fondo de carbono para una Economía Sostenible.
Fondo de Apoyo para la Promoción y Desarrollo de Infraestructuras y Servicios del Sistema de Autonomía y Atención a la Dependencia (FAAD).
Fondo para Adquisición de Activos Financieros.
Fondo de Apoyo a la República Helénica.
Fondo para inversiones en el exterior (FIEX).
Fondo para inversiones en el exterior de la Pequeña y Mediana Empresa (FONPYME).
Fondo de Ayuda al Comercio Interior (FACI).
Fondo para la Internacionalización de la Empresa.
Fundación AENA.
Fundación Agencia Nacional de Evaluación de la Calidad y Acreditación (ANECA).
Fundación Almadén-Francisco Javier Villegas.
Fundación Biodiversidad.
Fundación Canaria Puertos de las Palmas.
Fundación Centro de Estudios Económicos y Comerciales (CECO).
Fundación Centro de Investigación de Enfermedades Neurológicas (CIEN).
Fundación Centro Nacional de Investigaciones Cardiovasculares Carlos III (CNIC).
Fundación Centro Nacional de Investigaciones Oncológicas Carlos III (CNIO).
Fundación Centro Nacional de Referencia de Aplicación de las Tecnologías de la Información y la Comunicación Basadas en Fuentes Abiertas (CENATIC).
Fundación Centro Nacional del Vidrio.
Fundación Centro Tecnológico Agroalimentario de Lugo (CETAL).
Fundación Ciudad de la Energía (CIUDEN).
Fundación Colección Thyssen-Bornemisza.
Fundación Colegios Mayores MAEC-AECID.
Fundación de los Ferrocarriles Españoles.
Fundación del Teatro Real.
Fundación EFE.
Fundación ENRESA.
Fundación Escuela de Organización Industrial.
Fundación Española para la Ciencia y la Tecnología.
Fundación Española para la Cooperación Internacional, Salud y Política Social (CSAI).
Fundación Española para la Innovación de la Artesanía.
Fundación General de la UNED.
Fundación General Universidad Internacional Menéndez Pelayo.
Fundación Iberoamericana para el Fomento de la Cultura y Ciencias del Mar.
Fundación ICO.
Fundación Instituto de Cultura Gitana.
Fundación Instituto Iberoamericano de Mercado de Valores.
Fundación Internacional y para Iberoamérica de Administración y Políticas Públicas.
Fundación Laboral de Minusválidos Santa Bárbara.
Fundación Laboral SEPI.
Fundación Museo Lázaro Galdiano.
Fundación Observatorio Ambiental del Puerto de Granadilla.
Fundación Observatorio Español de Acuicultura.
Fundación Observatorio de Prospectiva Tecnológica Industrial (OPTI).
Fundación para el Desarrollo de la Formación en las Zonas Mineras del Carbón.
Fundación para el Desarrollo de la Investigación en Genómica y Proteónica.
Fundación para la Prevención de Riesgos Laborales.
Fundación para la Proyección Internacional de las Universidades Españolas (UNIVERSIDAD.ES).
Fundación Pluralismo y Convivencia.
Fundación Residencia de Estudiantes.
Fundación SEPI.
Fundación Servicio Interconfederal de Mediación y Arbitraje (SIMA).
Fundación Transporte y Formación.
Fundación Tripartita para la Formación en el Empleo.
Fundación Víctimas del Terrorismo.
[1] Nueva redacción dada al apartado seis del artículo 17 por la disposición final décima.Uno del Real Decreto-ley 20/2012, de 13 de julio, de medidas para garantizar la estabilidad presupuestaria y de fomento de la competitividad (BOE del 14), en vigor desde 15 de julio de 2012.
[2] Nueva redacción dada al artículo 18 por la disposición final novena del Real Decreto-ley 20/2012, de 13 de julio, de medidas para garantizar la estabilidad presupuestaria y de fomento de la competitividad (BOE del 14), en vigor desde 15 de julio de 2012
[3] Artículo 51 bis añadido por la disposición final décima.Uno de la Ley 9/2012, de 14 de noviembre, de reestructuración y resolución de entidades de crédito (BOE del 15), en vigor desde 15 de noviembre de 2012.
[4] Nueva redacción dada al apartado Uno del artículo 52 por la disposición final décima.Dos de la Ley 9/2012, de 14 de noviembre, de reestructuración y resolución de entidades de crédito (BOE del 15), en vigor desde 15 de noviembre de 2012.
[5] Nueva redacción dada a la letra b) del apartado Dos del artículo 52 por la disposición final décima.Tres de la Ley 9/2012, de 14 de noviembre, de reestructuración y resolución de entidades de crédito (BOE del 15), en vigor desde 15 de noviembre de 2012.
[6] Nueva redacción dada a la letra c) del apartado Dos del artículo 52 por la disposición final primera.Uno del Real Decreto-ley 21/2012, de 13 de julio, de medidas de liquidez de las Administraciones públicas y en el ámbito financiero (BOE del 14), en vigor desde 15 de julio de 2012.
[7] Letra e) del apartado Dos del artículo 52 añadida por la disposición final décima.Cuatro de la Ley 9/2012, de 14 de noviembre, de reestructuración y resolución de entidades de crédito (BOE del 15), en vigor desde 15 de noviembre de 2012.
[8] Nueva redacción dada al apartado Cuatro del artículo 52 por la disposición final décima.Cinco de la Ley 9/2012, de 14 de noviembre, de reestructuración y resolución de entidades de crédito (BOE del 15), en vigor desde 15 de noviembre de 2012.
[9] Artículo 52 bis añadido por la disposición final primera.Dos del Real Decreto-ley 21/2012, de 13 de julio, de medidas de liquidez de las Administraciones públicas y en el ámbito financiero (BOE del 14), en vigor desde 15 de julio de 2012.
[10] Nueva redacción dada a la disposición adicional trigésima sexta por la disposición final tercera del Real Decreto-ley 14/2013, de 29 de noviembre, de medidas urgentes para la adaptación del derecho español a la normativa de la Unión Europea en materia de supervisión y solvencia de entidades financieras (BOE del 30), en vigor desde 1 de diciembre de 2013.
[11] Nueva redacción al apartado Nueve de la disposición adicional trigésima sexta por la disposición final primera.Uno del Real Decreto-ley 12/2014, de 12 de septiembre, por el que se conceden suplementos de crédito y créditos extraordinarios en el presupuesto de los Ministerios de Asuntos Exteriores y de Cooperación, de Educación, Cultura y Deporte, de Fomento y de Agricultura, Alimentación y Medio Ambiente (BOE del 13), en vigor desde 13 de septiembre de 2014.
[12] Apartado Diez de la disposición adicional trigésima sexta añadido por la disposición final primera.Dos del Real Decreto-ley 12/2014, de 12 de septiembre, por el que se conceden suplementos de crédito y créditos extraordinarios en el presupuesto de los Ministerios de Asuntos Exteriores y de Cooperación, de Educación, Cultura y Deporte, de Fomento y de Agricultura, Alimentación y Medio Ambiente (BOE del 13), en vigor desde 13 de septiembre de 2014.
[13] Nueva redacción dada al apartado Dos de la disposición quincuagésima séptima por la disposición final décima octava de la Ley 36/2014, de 26 de diciembre, de Presupuestos Generales del Estado para el año 2015 (BOE del 30), en vigor desde 1 de enero de 2015.
[14] Nueva redacción dada a la disposición adicional quincuagésima octava por la disposición final segunda de la Ley 13/2014, de 14 de julio, de transformación del Fondo para la Financiación de los Pagos a Proveedores (BOE del 15), en vigor desde 16 de julio de 2014.
[15] Nueva redacción dada a la disposición adicional septuagésima, con efectos desde 5 de julio de 2018 y vigencia indefinida, por la disposición final vigésima séptima de la Ley 6/2018, de 3 de julio, de Presupuestos Generales del Estado para el año 2018 (BOE del 4).
[16] Disposición adicional septuagésima primera derogada por la disposición derogatoria cuarta de la Ley 6/2018, de 3 de julio, de Presupuestos Generales del Estado para el año 2018 (BOE del 4), en vigor desde 5 de julio de 2018.
[17] Disposición adicional septuagésima segunda derogada por la disposición derogatoria cuarta de la Ley 17/2012, de 27 de diciembre, de Presupuestos Generales del Estado para el año 2013 (BOE del 28), en vigor desde 1 de enero de 2013.
[18] Disposición adicional octogésima primera derogada por la disposición derogatoria tercera de la Ley 17/2012, de 27 de diciembre, de Presupuestos Generales del Estado para el año 2013 (BOE del 28), en vigor desde 1 de enero de 2013 .
[19] Disposición transitoria octava derogada por la disposición derogatoria cuarta de la Ley 17/2012, de 27 de diciembre, de Presupuestos Generales del Estado para el año 2013 (BOE del 28), en vigor desde 1 de enero de 2013.